改进最大自主等距收缩的估计:探索反馈操作的效用。

IF 2.4 3区 心理学 Q2 PSYCHOLOGY, CLINICAL
J. Logan Gibson, Manish Vaidya
{"title":"改进最大自主等距收缩的估计:探索反馈操作的效用。","authors":"J. Logan Gibson,&nbsp;Manish Vaidya","doi":"10.1007/s10484-025-09698-x","DOIUrl":null,"url":null,"abstract":"<div><p>Pelvic floor dysfunction (PFD), often resulting from weakened pelvic floor muscles (PFM), significantly impacts quality of life and increases health risks, particularly among the elderly. Strengthening PFMs through exercise is effective, yet invasive treatment protocols deter adherence. Non-invasive surface electromyography (sEMG) provides a promising alternative for assessing PFM strength. This study evaluates a reinforcement-based strategy (R-MVIC) against standard verbal encouragement (SVE) for estimating the maximal voluntary isometric contraction strength (MVIC) of PFMs. Using a single-case reversal design (ABAB), we compared peak amplitudes across experimental and control conditions. All experimental sessions occurred in a small examination room at a major University. Using an (AB)<sup>k</sup> single-case research design power analysis to determine our N, we recruited ten participants who performed isolated PFM contractions. The R-MVIC condition involved pre-training, task-specific instructions, criterion-based feedback, and an extinction burst manipulation. To determine the strength of muscle contraction, we used sEMG, placed over the transverse abdominis/internal oblique (TrA/IO) site, to measure muscle activity in microvolts (mV). Results indicated R-MVIC produced significantly higher peak amplitudes compared to SVE, with a mean difference of 746 mV, representing a 52% increase. The R-MVIC condition consistently evoked stronger contractions, demonstrating the efficacy of feedback and extinction bursts in enhancing MVIC estimates. These findings suggest that R-MVIC is a valuable strategy for improving estimates of PFM strength. Overall, the results suggest that sEMG-based biofeedback provides a non-invasive technology for improving treatment protocols.</p></div>","PeriodicalId":47506,"journal":{"name":"Applied Psychophysiology and Biofeedback","volume":"50 3","pages":"481 - 490"},"PeriodicalIF":2.4000,"publicationDate":"2025-02-24","publicationTypes":"Journal Article","fieldsOfStudy":null,"isOpenAccess":false,"openAccessPdf":"","citationCount":"0","resultStr":"{\"title\":\"Improving Estimates of Maximum Voluntary Isometric Contractions: Exploring the Utility of Feedback Manipulations\",\"authors\":\"J. Logan Gibson,&nbsp;Manish Vaidya\",\"doi\":\"10.1007/s10484-025-09698-x\",\"DOIUrl\":null,\"url\":null,\"abstract\":\"<div><p>Pelvic floor dysfunction (PFD), often resulting from weakened pelvic floor muscles (PFM), significantly impacts quality of life and increases health risks, particularly among the elderly. Strengthening PFMs through exercise is effective, yet invasive treatment protocols deter adherence. Non-invasive surface electromyography (sEMG) provides a promising alternative for assessing PFM strength. This study evaluates a reinforcement-based strategy (R-MVIC) against standard verbal encouragement (SVE) for estimating the maximal voluntary isometric contraction strength (MVIC) of PFMs. Using a single-case reversal design (ABAB), we compared peak amplitudes across experimental and control conditions. All experimental sessions occurred in a small examination room at a major University. Using an (AB)<sup>k</sup> single-case research design power analysis to determine our N, we recruited ten participants who performed isolated PFM contractions. The R-MVIC condition involved pre-training, task-specific instructions, criterion-based feedback, and an extinction burst manipulation. To determine the strength of muscle contraction, we used sEMG, placed over the transverse abdominis/internal oblique (TrA/IO) site, to measure muscle activity in microvolts (mV). Results indicated R-MVIC produced significantly higher peak amplitudes compared to SVE, with a mean difference of 746 mV, representing a 52% increase. The R-MVIC condition consistently evoked stronger contractions, demonstrating the efficacy of feedback and extinction bursts in enhancing MVIC estimates. These findings suggest that R-MVIC is a valuable strategy for improving estimates of PFM strength. Overall, the results suggest that sEMG-based biofeedback provides a non-invasive technology for improving treatment protocols.</p></div>\",\"PeriodicalId\":47506,\"journal\":{\"name\":\"Applied Psychophysiology and Biofeedback\",\"volume\":\"50 3\",\"pages\":\"481 - 490\"},\"PeriodicalIF\":2.4000,\"publicationDate\":\"2025-02-24\",\"publicationTypes\":\"Journal Article\",\"fieldsOfStudy\":null,\"isOpenAccess\":false,\"openAccessPdf\":\"\",\"citationCount\":\"0\",\"resultStr\":null,\"platform\":\"Semanticscholar\",\"paperid\":null,\"PeriodicalName\":\"Applied Psychophysiology and Biofeedback\",\"FirstCategoryId\":\"102\",\"ListUrlMain\":\"https://link.springer.com/article/10.1007/s10484-025-09698-x\",\"RegionNum\":3,\"RegionCategory\":\"心理学\",\"ArticlePicture\":[],\"TitleCN\":null,\"AbstractTextCN\":null,\"PMCID\":null,\"EPubDate\":\"\",\"PubModel\":\"\",\"JCR\":\"Q2\",\"JCRName\":\"PSYCHOLOGY, CLINICAL\",\"Score\":null,\"Total\":0}","platform":"Semanticscholar","paperid":null,"PeriodicalName":"Applied Psychophysiology and Biofeedback","FirstCategoryId":"102","ListUrlMain":"https://link.springer.com/article/10.1007/s10484-025-09698-x","RegionNum":3,"RegionCategory":"心理学","ArticlePicture":[],"TitleCN":null,"AbstractTextCN":null,"PMCID":null,"EPubDate":"","PubModel":"","JCR":"Q2","JCRName":"PSYCHOLOGY, CLINICAL","Score":null,"Total":0}
引用次数: 0

摘要

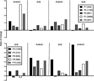
盆底功能障碍(PFD)通常由盆底肌肉减弱(PFM)引起,严重影响生活质量并增加健康风险,特别是在老年人中。通过锻炼加强PFMs是有效的,但侵入性治疗方案阻碍了依从性。无创表面肌电图(sEMG)为评估PFM强度提供了一种有希望的替代方法。本研究评估了一种基于强化的策略(R-MVIC)与标准口头鼓励(SVE)相比较,以估计PFMs的最大自主等距收缩强度(MVIC)。使用单例反转设计(ABAB),我们比较了实验和控制条件下的峰值幅度。所有的实验都在一所主要大学的一个小考场进行。使用(AB)k单例研究设计功率分析来确定我们的N,我们招募了10名单独进行PFM收缩的参与者。R-MVIC条件包括预训练、任务特定指令、基于标准的反馈和消光爆发操作。为了确定肌肉收缩的强度,我们使用肌电图,放置在腹横/内斜(TrA/IO)部位,以微伏(mV)测量肌肉活动。结果表明,与SVE相比,R-MVIC产生的峰值幅度明显更高,平均差值为746 mV,增加了52%。R-MVIC条件持续引起更强的收缩,证明了反馈和消光爆发在增强MVIC估计方面的有效性。这些发现表明,R-MVIC是改善PFM强度估计的有价值的策略。总之,结果表明,基于肌电图的生物反馈为改进治疗方案提供了一种非侵入性技术。
本文章由计算机程序翻译,如有差异,请以英文原文为准。

Improving Estimates of Maximum Voluntary Isometric Contractions: Exploring the Utility of Feedback Manipulations

Improving Estimates of Maximum Voluntary Isometric Contractions: Exploring the Utility of Feedback Manipulations

Pelvic floor dysfunction (PFD), often resulting from weakened pelvic floor muscles (PFM), significantly impacts quality of life and increases health risks, particularly among the elderly. Strengthening PFMs through exercise is effective, yet invasive treatment protocols deter adherence. Non-invasive surface electromyography (sEMG) provides a promising alternative for assessing PFM strength. This study evaluates a reinforcement-based strategy (R-MVIC) against standard verbal encouragement (SVE) for estimating the maximal voluntary isometric contraction strength (MVIC) of PFMs. Using a single-case reversal design (ABAB), we compared peak amplitudes across experimental and control conditions. All experimental sessions occurred in a small examination room at a major University. Using an (AB)k single-case research design power analysis to determine our N, we recruited ten participants who performed isolated PFM contractions. The R-MVIC condition involved pre-training, task-specific instructions, criterion-based feedback, and an extinction burst manipulation. To determine the strength of muscle contraction, we used sEMG, placed over the transverse abdominis/internal oblique (TrA/IO) site, to measure muscle activity in microvolts (mV). Results indicated R-MVIC produced significantly higher peak amplitudes compared to SVE, with a mean difference of 746 mV, representing a 52% increase. The R-MVIC condition consistently evoked stronger contractions, demonstrating the efficacy of feedback and extinction bursts in enhancing MVIC estimates. These findings suggest that R-MVIC is a valuable strategy for improving estimates of PFM strength. Overall, the results suggest that sEMG-based biofeedback provides a non-invasive technology for improving treatment protocols.

求助全文
通过发布文献求助,成功后即可免费获取论文全文。 去求助
来源期刊
CiteScore
5.30
自引率
13.30%
发文量
36
期刊介绍: Applied Psychophysiology and Biofeedback is an international, interdisciplinary journal devoted to study of the interrelationship of physiological systems, cognition, social and environmental parameters, and health. Priority is given to original research, basic and applied, which contributes to the theory, practice, and evaluation of applied psychophysiology and biofeedback. Submissions are also welcomed for consideration in several additional sections that appear in the journal. They consist of conceptual and theoretical articles; evaluative reviews; the Clinical Forum, which includes separate categories for innovative case studies, clinical replication series, extended treatment protocols, and clinical notes and observations; the Discussion Forum, which includes a series of papers centered around a topic of importance to the field; Innovations in Instrumentation; Letters to the Editor, commenting on issues raised in articles previously published in the journal; and select book reviews. Applied Psychophysiology and Biofeedback is the official publication of the Association for Applied Psychophysiology and Biofeedback.
×
引用
GB/T 7714-2015
复制
MLA
复制
APA
复制
导出至
BibTeX EndNote RefMan NoteFirst NoteExpress
×
提示
您的信息不完整,为了账户安全,请先补充。
现在去补充
×
提示
您因"违规操作"
具体请查看互助需知
我知道了
×
提示
确定
请完成安全验证×
copy
已复制链接
快去分享给好友吧!
我知道了
右上角分享
点击右上角分享
0
联系我们:info@booksci.cn Book学术提供免费学术资源搜索服务,方便国内外学者检索中英文文献。致力于提供最便捷和优质的服务体验。 Copyright © 2023 布克学术 All rights reserved.
京ICP备2023020795号-1
ghs 京公网安备 11010802042870号
Book学术文献互助
Book学术文献互助群
群 号:604180095
Book学术官方微信