谁说的?听觉能力对不同说话人在噪声环境下接续话语的影响。

IF 3 2区 医学 Q1 AUDIOLOGY & SPEECH-LANGUAGE PATHOLOGY
Alexina Whitley, Timothy Beechey, Lauren V Hadley
{"title":"谁说的?听觉能力对不同说话人在噪声环境下接续话语的影响。","authors":"Alexina Whitley, Timothy Beechey, Lauren V Hadley","doi":"10.1177/23312165251320794","DOIUrl":null,"url":null,"abstract":"<p><p>Many of our conversations occur in nonideal situations, from the hum of a car to the babble of a cocktail party. Additionally, in conversation, listeners are often required to switch their attention between multiple talkers, which places demands on both auditory and cognitive processes. Speech understanding in such situations appears to be particularly demanding for older adults with hearing impairment. This study examined the effects of age and hearing ability on performance in an online speech recall task. Two target sentences, spoken by the same talker or different talkers, were presented one after the other, analogous to a conversational turn switch. The first target sentence was presented in quiet, and the second target sentence was presented alongside either a noise masker (steady-state speech-shaped noise) or a speech masker (another nontarget sentence). Relative to when the target talker remained the same between sentences, listeners were less accurate at recalling information in the second target sentence when the target talker changed, particularly when the target talker for sentence one became the masker for sentence two. Listeners with poorer speech-in-noise reception thresholds were less accurate in both noise- and speech-masked trials and made more masker confusions in speech-masked trials. Furthermore, an interaction revealed that listeners with poorer speech reception thresholds had particular difficulty when the target talker remained the same. Our study replicates previous research regarding the costs of switching nonspatial attention, extending these findings to older adults with a range of hearing abilities.</p>","PeriodicalId":48678,"journal":{"name":"Trends in Hearing","volume":"29 ","pages":"23312165251320794"},"PeriodicalIF":3.0000,"publicationDate":"2025-01-01","publicationTypes":"Journal Article","fieldsOfStudy":null,"isOpenAccess":false,"openAccessPdf":"https://www.ncbi.nlm.nih.gov/pmc/articles/PMC11851761/pdf/","citationCount":"0","resultStr":"{\"title\":\"Who Said That? The Effect of Hearing Ability on Following Sequential Utterances From Varying Talkers in Noise.\",\"authors\":\"Alexina Whitley, Timothy Beechey, Lauren V Hadley\",\"doi\":\"10.1177/23312165251320794\",\"DOIUrl\":null,\"url\":null,\"abstract\":\"<p><p>Many of our conversations occur in nonideal situations, from the hum of a car to the babble of a cocktail party. Additionally, in conversation, listeners are often required to switch their attention between multiple talkers, which places demands on both auditory and cognitive processes. Speech understanding in such situations appears to be particularly demanding for older adults with hearing impairment. This study examined the effects of age and hearing ability on performance in an online speech recall task. Two target sentences, spoken by the same talker or different talkers, were presented one after the other, analogous to a conversational turn switch. The first target sentence was presented in quiet, and the second target sentence was presented alongside either a noise masker (steady-state speech-shaped noise) or a speech masker (another nontarget sentence). Relative to when the target talker remained the same between sentences, listeners were less accurate at recalling information in the second target sentence when the target talker changed, particularly when the target talker for sentence one became the masker for sentence two. Listeners with poorer speech-in-noise reception thresholds were less accurate in both noise- and speech-masked trials and made more masker confusions in speech-masked trials. Furthermore, an interaction revealed that listeners with poorer speech reception thresholds had particular difficulty when the target talker remained the same. Our study replicates previous research regarding the costs of switching nonspatial attention, extending these findings to older adults with a range of hearing abilities.</p>\",\"PeriodicalId\":48678,\"journal\":{\"name\":\"Trends in Hearing\",\"volume\":\"29 \",\"pages\":\"23312165251320794\"},\"PeriodicalIF\":3.0000,\"publicationDate\":\"2025-01-01\",\"publicationTypes\":\"Journal Article\",\"fieldsOfStudy\":null,\"isOpenAccess\":false,\"openAccessPdf\":\"https://www.ncbi.nlm.nih.gov/pmc/articles/PMC11851761/pdf/\",\"citationCount\":\"0\",\"resultStr\":null,\"platform\":\"Semanticscholar\",\"paperid\":null,\"PeriodicalName\":\"Trends in Hearing\",\"FirstCategoryId\":\"3\",\"ListUrlMain\":\"https://doi.org/10.1177/23312165251320794\",\"RegionNum\":2,\"RegionCategory\":\"医学\",\"ArticlePicture\":[],\"TitleCN\":null,\"AbstractTextCN\":null,\"PMCID\":null,\"EPubDate\":\"\",\"PubModel\":\"\",\"JCR\":\"Q1\",\"JCRName\":\"AUDIOLOGY & SPEECH-LANGUAGE PATHOLOGY\",\"Score\":null,\"Total\":0}","platform":"Semanticscholar","paperid":null,"PeriodicalName":"Trends in Hearing","FirstCategoryId":"3","ListUrlMain":"https://doi.org/10.1177/23312165251320794","RegionNum":2,"RegionCategory":"医学","ArticlePicture":[],"TitleCN":null,"AbstractTextCN":null,"PMCID":null,"EPubDate":"","PubModel":"","JCR":"Q1","JCRName":"AUDIOLOGY & SPEECH-LANGUAGE PATHOLOGY","Score":null,"Total":0}
引用次数: 0

摘要

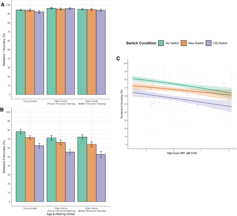
我们的许多谈话都发生在不理想的情况下,从汽车的嗡嗡声到鸡尾酒会上的嘈杂声。此外,在谈话中,听众经常需要在多个说话者之间切换注意力,这对听觉和认知过程都提出了要求。在这种情况下,言语理解似乎对听力受损的老年人要求特别高。本研究考察了年龄和听力能力对在线语音回忆任务表现的影响。两个目标句子,由同一个说话者或不同的说话者说,一个接一个地出现,类似于对话的开关。第一个目标句子是安静地呈现的,第二个目标句子是与噪声掩蔽器(稳态语音形状的噪声)或语音掩蔽器(另一个非目标句子)一起呈现的。相对于目标谈话者在句子之间保持不变时,当目标谈话者改变时,听众回忆第二个目标句子中的信息的准确性较低,尤其是当第一句的目标谈话者成为第二句的掩饰者时。噪音中语音接收阈值较低的听者在噪音和语音屏蔽试验中都不太准确,并且在语音屏蔽试验中产生更多的掩蔽混淆。此外,一项互动显示,当目标说话者保持不变时,言语接收阈值较低的听者会有特别的困难。我们的研究重复了先前关于转换非空间注意力成本的研究,并将这些发现扩展到具有一系列听力能力的老年人。
本文章由计算机程序翻译,如有差异,请以英文原文为准。

Who Said That? The Effect of Hearing Ability on Following Sequential Utterances From Varying Talkers in Noise.

Who Said That? The Effect of Hearing Ability on Following Sequential Utterances From Varying Talkers in Noise.

Who Said That? The Effect of Hearing Ability on Following Sequential Utterances From Varying Talkers in Noise.

Who Said That? The Effect of Hearing Ability on Following Sequential Utterances From Varying Talkers in Noise.

Many of our conversations occur in nonideal situations, from the hum of a car to the babble of a cocktail party. Additionally, in conversation, listeners are often required to switch their attention between multiple talkers, which places demands on both auditory and cognitive processes. Speech understanding in such situations appears to be particularly demanding for older adults with hearing impairment. This study examined the effects of age and hearing ability on performance in an online speech recall task. Two target sentences, spoken by the same talker or different talkers, were presented one after the other, analogous to a conversational turn switch. The first target sentence was presented in quiet, and the second target sentence was presented alongside either a noise masker (steady-state speech-shaped noise) or a speech masker (another nontarget sentence). Relative to when the target talker remained the same between sentences, listeners were less accurate at recalling information in the second target sentence when the target talker changed, particularly when the target talker for sentence one became the masker for sentence two. Listeners with poorer speech-in-noise reception thresholds were less accurate in both noise- and speech-masked trials and made more masker confusions in speech-masked trials. Furthermore, an interaction revealed that listeners with poorer speech reception thresholds had particular difficulty when the target talker remained the same. Our study replicates previous research regarding the costs of switching nonspatial attention, extending these findings to older adults with a range of hearing abilities.

求助全文
通过发布文献求助,成功后即可免费获取论文全文。 去求助
来源期刊
Trends in Hearing
Trends in Hearing AUDIOLOGY & SPEECH-LANGUAGE PATHOLOGYOTORH-OTORHINOLARYNGOLOGY
CiteScore
4.50
自引率
11.10%
发文量
44
审稿时长
12 weeks
期刊介绍: Trends in Hearing is an open access journal completely dedicated to publishing original research and reviews focusing on human hearing, hearing loss, hearing aids, auditory implants, and aural rehabilitation. Under its former name, Trends in Amplification, the journal established itself as a forum for concise explorations of all areas of translational hearing research by leaders in the field. Trends in Hearing has now expanded its focus to include original research articles, with the goal of becoming the premier venue for research related to human hearing and hearing loss.
×
引用
GB/T 7714-2015
复制
MLA
复制
APA
复制
导出至
BibTeX EndNote RefMan NoteFirst NoteExpress
×
提示
您的信息不完整,为了账户安全,请先补充。
现在去补充
×
提示
您因"违规操作"
具体请查看互助需知
我知道了
×
提示
确定
请完成安全验证×
copy
已复制链接
快去分享给好友吧!
我知道了
右上角分享
点击右上角分享
0
联系我们:info@booksci.cn Book学术提供免费学术资源搜索服务,方便国内外学者检索中英文文献。致力于提供最便捷和优质的服务体验。 Copyright © 2023 布克学术 All rights reserved.
京ICP备2023020795号-1
ghs 京公网安备 11010802042870号
Book学术文献互助
Book学术文献互助群
群 号:604180095
Book学术官方微信