早期半襁褓和袋鼠式护理对足月婴儿母亲睡眠质量和产后抑郁的影响:一项随机对照试验。

IF 1.6 3区 医学 Q2 NURSING
Burcu Küçükkaya, Tülay Cihangir Öztürk, Gonca Erginler, Mehtap Temiz, Özge Erçel
{"title":"早期半襁褓和袋鼠式护理对足月婴儿母亲睡眠质量和产后抑郁的影响:一项随机对照试验。","authors":"Burcu Küçükkaya, Tülay Cihangir Öztürk, Gonca Erginler, Mehtap Temiz, Özge Erçel","doi":"10.1111/nhs.70066","DOIUrl":null,"url":null,"abstract":"<p><p>This study aimed to investigate the effects of half-swaddling and kangaroo care practices early initiated in mothers of term babies on maternal sleep quality and postpartum depression. This study was prospective, four-arm randomized controlled trial. This study was conducted in 136 mothers and term baby hospitalized in Trakya University Hospital between April 2023 and August 2024. Participants were randomly divided into four groups using computer program with 34 mothers in each group: control (A), half-swaddling (B), kangaroo care (C), half-swaddling, and kangaroo care (D). Starting, 1st, 2nd, 3rd, and 6th months, the data of all four groups were collected with the Questionnaire Form, Edinburgh Postpartum Depression Scale (EPDS), and Pittsburgh Sleep Quality Index (PSQI). Bonferroni and multiple linear regression (MLR) were used for advanced statistics. C and D groups had more positive effects on depression, while B and D groups had more positive effects on maternal sleep quality (p < 0.001). The combination of half-swaddling and kangaroo care practices early initiated in term babies has a significant effect on reducing the risk of postpartum depression, and half-swaddling practice has an important effect on improving maternal sleep quality. Trial Registration: ClinicalTrials.gov: NCT06348316.</p>","PeriodicalId":49730,"journal":{"name":"Nursing & Health Sciences","volume":"27 1","pages":"e70066"},"PeriodicalIF":1.6000,"publicationDate":"2025-03-01","publicationTypes":"Journal Article","fieldsOfStudy":null,"isOpenAccess":false,"openAccessPdf":"https://www.ncbi.nlm.nih.gov/pmc/articles/PMC11847622/pdf/","citationCount":"0","resultStr":"{\"title\":\"The Effect of Early-Initiated Half-Swaddling and Kangaroo Care Practices on Maternal Sleep Quality and Postpartum Depression in Term Infants: A Randomized Controlled Trial.\",\"authors\":\"Burcu Küçükkaya, Tülay Cihangir Öztürk, Gonca Erginler, Mehtap Temiz, Özge Erçel\",\"doi\":\"10.1111/nhs.70066\",\"DOIUrl\":null,\"url\":null,\"abstract\":\"<p><p>This study aimed to investigate the effects of half-swaddling and kangaroo care practices early initiated in mothers of term babies on maternal sleep quality and postpartum depression. This study was prospective, four-arm randomized controlled trial. This study was conducted in 136 mothers and term baby hospitalized in Trakya University Hospital between April 2023 and August 2024. Participants were randomly divided into four groups using computer program with 34 mothers in each group: control (A), half-swaddling (B), kangaroo care (C), half-swaddling, and kangaroo care (D). Starting, 1st, 2nd, 3rd, and 6th months, the data of all four groups were collected with the Questionnaire Form, Edinburgh Postpartum Depression Scale (EPDS), and Pittsburgh Sleep Quality Index (PSQI). Bonferroni and multiple linear regression (MLR) were used for advanced statistics. C and D groups had more positive effects on depression, while B and D groups had more positive effects on maternal sleep quality (p < 0.001). The combination of half-swaddling and kangaroo care practices early initiated in term babies has a significant effect on reducing the risk of postpartum depression, and half-swaddling practice has an important effect on improving maternal sleep quality. Trial Registration: ClinicalTrials.gov: NCT06348316.</p>\",\"PeriodicalId\":49730,\"journal\":{\"name\":\"Nursing & Health Sciences\",\"volume\":\"27 1\",\"pages\":\"e70066\"},\"PeriodicalIF\":1.6000,\"publicationDate\":\"2025-03-01\",\"publicationTypes\":\"Journal Article\",\"fieldsOfStudy\":null,\"isOpenAccess\":false,\"openAccessPdf\":\"https://www.ncbi.nlm.nih.gov/pmc/articles/PMC11847622/pdf/\",\"citationCount\":\"0\",\"resultStr\":null,\"platform\":\"Semanticscholar\",\"paperid\":null,\"PeriodicalName\":\"Nursing & Health Sciences\",\"FirstCategoryId\":\"3\",\"ListUrlMain\":\"https://doi.org/10.1111/nhs.70066\",\"RegionNum\":3,\"RegionCategory\":\"医学\",\"ArticlePicture\":[],\"TitleCN\":null,\"AbstractTextCN\":null,\"PMCID\":null,\"EPubDate\":\"\",\"PubModel\":\"\",\"JCR\":\"Q2\",\"JCRName\":\"NURSING\",\"Score\":null,\"Total\":0}","platform":"Semanticscholar","paperid":null,"PeriodicalName":"Nursing & Health Sciences","FirstCategoryId":"3","ListUrlMain":"https://doi.org/10.1111/nhs.70066","RegionNum":3,"RegionCategory":"医学","ArticlePicture":[],"TitleCN":null,"AbstractTextCN":null,"PMCID":null,"EPubDate":"","PubModel":"","JCR":"Q2","JCRName":"NURSING","Score":null,"Total":0}
引用次数: 0

摘要

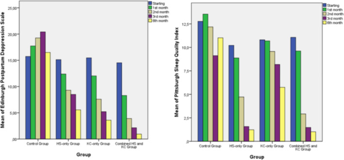
本研究旨在探讨半襁褓和袋鼠式护理对足月婴儿母亲睡眠质量和产后抑郁的影响。本研究为前瞻性、四组随机对照试验。这项研究是在2023年4月至2024年8月期间在Trakya大学医院住院的136名母亲和足月婴儿中进行的。采用计算机程序将参与者随机分为四组,每组34名母亲:对照组(A)、半襁褓组(B)、袋鼠式护理组(C)、半襁褓组和袋鼠式护理组(D)。从第1、2、3、6个月开始,使用问卷调查表、爱丁堡产后抑郁量表(EPDS)和匹兹堡睡眠质量指数(PSQI)收集四组数据。高级统计采用Bonferroni和多元线性回归(MLR)。C组和D组对抑郁有更积极的影响,而B组和D组对产妇睡眠质量有更积极的影响(p
本文章由计算机程序翻译,如有差异,请以英文原文为准。

The Effect of Early-Initiated Half-Swaddling and Kangaroo Care Practices on Maternal Sleep Quality and Postpartum Depression in Term Infants: A Randomized Controlled Trial.

The Effect of Early-Initiated Half-Swaddling and Kangaroo Care Practices on Maternal Sleep Quality and Postpartum Depression in Term Infants: A Randomized Controlled Trial.

The Effect of Early-Initiated Half-Swaddling and Kangaroo Care Practices on Maternal Sleep Quality and Postpartum Depression in Term Infants: A Randomized Controlled Trial.

This study aimed to investigate the effects of half-swaddling and kangaroo care practices early initiated in mothers of term babies on maternal sleep quality and postpartum depression. This study was prospective, four-arm randomized controlled trial. This study was conducted in 136 mothers and term baby hospitalized in Trakya University Hospital between April 2023 and August 2024. Participants were randomly divided into four groups using computer program with 34 mothers in each group: control (A), half-swaddling (B), kangaroo care (C), half-swaddling, and kangaroo care (D). Starting, 1st, 2nd, 3rd, and 6th months, the data of all four groups were collected with the Questionnaire Form, Edinburgh Postpartum Depression Scale (EPDS), and Pittsburgh Sleep Quality Index (PSQI). Bonferroni and multiple linear regression (MLR) were used for advanced statistics. C and D groups had more positive effects on depression, while B and D groups had more positive effects on maternal sleep quality (p < 0.001). The combination of half-swaddling and kangaroo care practices early initiated in term babies has a significant effect on reducing the risk of postpartum depression, and half-swaddling practice has an important effect on improving maternal sleep quality. Trial Registration: ClinicalTrials.gov: NCT06348316.

求助全文
通过发布文献求助,成功后即可免费获取论文全文。 去求助
来源期刊
CiteScore
4.80
自引率
3.70%
发文量
91
审稿时长
6-12 weeks
期刊介绍: NHS has a multidisciplinary focus and broad scope and a particular focus on the translation of research into clinical practice, inter-disciplinary and multidisciplinary work, primary health care, health promotion, health education, management of communicable and non-communicable diseases, implementation of technological innovations and inclusive multicultural approaches to health services and care.
×
引用
GB/T 7714-2015
复制
MLA
复制
APA
复制
导出至
BibTeX EndNote RefMan NoteFirst NoteExpress
×
提示
您的信息不完整,为了账户安全,请先补充。
现在去补充
×
提示
您因"违规操作"
具体请查看互助需知
我知道了
×
提示
确定
请完成安全验证×
copy
已复制链接
快去分享给好友吧!
我知道了
右上角分享
点击右上角分享
0
联系我们:info@booksci.cn Book学术提供免费学术资源搜索服务,方便国内外学者检索中英文文献。致力于提供最便捷和优质的服务体验。 Copyright © 2023 布克学术 All rights reserved.
京ICP备2023020795号-1
ghs 京公网安备 11010802042870号
Book学术文献互助
Book学术文献互助群
群 号:604180095
Book学术官方微信