男性糖尿病性勃起功能障碍患者血清微量元素浓度:一项病例对照研究。

IF 2.4 4区 医学 Q3 PUBLIC, ENVIRONMENTAL & OCCUPATIONAL HEALTH
Zhe Yu, Zhenliang Pan, Rongbo Cai, Yuanzhi Xie, Xiaolan Huang, Jinxiang Wu, Jianyu Zhang
{"title":"男性糖尿病性勃起功能障碍患者血清微量元素浓度:一项病例对照研究。","authors":"Zhe Yu, Zhenliang Pan, Rongbo Cai, Yuanzhi Xie, Xiaolan Huang, Jinxiang Wu, Jianyu Zhang","doi":"10.1177/15579883241307526","DOIUrl":null,"url":null,"abstract":"<p><p>Identifying novel risk factors for erectile dysfunction (ED) is crucial for developing targeted intervention. This study aimed to investigate the potential impacts of serum trace elements (TEs) concentration on the risk of diabetic ED. A retrospective case-control study was conducted involving 51 patients with diabetic ED and 51 control subjects. Serum levels of copper (Cu), zinc (Zn), magnesium (Mg), iron (Fe), and calcium (Ca) were measured using inductively coupled plasma-mass spectrometry (ICP-MS). While most selected TEs showed no significant differences, Cu levels were notably higher in patients with diabetic ED. In addition, the Cu/Zn ratio (CZr) was significantly elevated in the diabetic ED group compared to controls (1.3 vs. 1.2 mg/L, <i>p</i> < .001), reflecting its potential relevance to oxidative stress. Receiver operating characteristic curve analysis revealed that CZr exhibited better diagnostic performance for ED than the single parameter. These findings suggest disruptions in Cu homeostasis and a high probability of elevated CZr in diabetic ED. Further studies are warranted to validate our findings and elucidate the underlying mechanisms.</p>","PeriodicalId":7429,"journal":{"name":"American Journal of Men's Health","volume":"19 1","pages":"15579883241307526"},"PeriodicalIF":2.4000,"publicationDate":"2025-01-01","publicationTypes":"Journal Article","fieldsOfStudy":null,"isOpenAccess":false,"openAccessPdf":"https://www.ncbi.nlm.nih.gov/pmc/articles/PMC11863248/pdf/","citationCount":"0","resultStr":"{\"title\":\"Concentration of Selected Serum Trace Elements in Male Patients With Diabetic Erectile Dysfunction: A Case-Control Study.\",\"authors\":\"Zhe Yu, Zhenliang Pan, Rongbo Cai, Yuanzhi Xie, Xiaolan Huang, Jinxiang Wu, Jianyu Zhang\",\"doi\":\"10.1177/15579883241307526\",\"DOIUrl\":null,\"url\":null,\"abstract\":\"<p><p>Identifying novel risk factors for erectile dysfunction (ED) is crucial for developing targeted intervention. This study aimed to investigate the potential impacts of serum trace elements (TEs) concentration on the risk of diabetic ED. A retrospective case-control study was conducted involving 51 patients with diabetic ED and 51 control subjects. Serum levels of copper (Cu), zinc (Zn), magnesium (Mg), iron (Fe), and calcium (Ca) were measured using inductively coupled plasma-mass spectrometry (ICP-MS). While most selected TEs showed no significant differences, Cu levels were notably higher in patients with diabetic ED. In addition, the Cu/Zn ratio (CZr) was significantly elevated in the diabetic ED group compared to controls (1.3 vs. 1.2 mg/L, <i>p</i> < .001), reflecting its potential relevance to oxidative stress. Receiver operating characteristic curve analysis revealed that CZr exhibited better diagnostic performance for ED than the single parameter. These findings suggest disruptions in Cu homeostasis and a high probability of elevated CZr in diabetic ED. Further studies are warranted to validate our findings and elucidate the underlying mechanisms.</p>\",\"PeriodicalId\":7429,\"journal\":{\"name\":\"American Journal of Men's Health\",\"volume\":\"19 1\",\"pages\":\"15579883241307526\"},\"PeriodicalIF\":2.4000,\"publicationDate\":\"2025-01-01\",\"publicationTypes\":\"Journal Article\",\"fieldsOfStudy\":null,\"isOpenAccess\":false,\"openAccessPdf\":\"https://www.ncbi.nlm.nih.gov/pmc/articles/PMC11863248/pdf/\",\"citationCount\":\"0\",\"resultStr\":null,\"platform\":\"Semanticscholar\",\"paperid\":null,\"PeriodicalName\":\"American Journal of Men's Health\",\"FirstCategoryId\":\"3\",\"ListUrlMain\":\"https://doi.org/10.1177/15579883241307526\",\"RegionNum\":4,\"RegionCategory\":\"医学\",\"ArticlePicture\":[],\"TitleCN\":null,\"AbstractTextCN\":null,\"PMCID\":null,\"EPubDate\":\"\",\"PubModel\":\"\",\"JCR\":\"Q3\",\"JCRName\":\"PUBLIC, ENVIRONMENTAL & OCCUPATIONAL HEALTH\",\"Score\":null,\"Total\":0}","platform":"Semanticscholar","paperid":null,"PeriodicalName":"American Journal of Men's Health","FirstCategoryId":"3","ListUrlMain":"https://doi.org/10.1177/15579883241307526","RegionNum":4,"RegionCategory":"医学","ArticlePicture":[],"TitleCN":null,"AbstractTextCN":null,"PMCID":null,"EPubDate":"","PubModel":"","JCR":"Q3","JCRName":"PUBLIC, ENVIRONMENTAL & OCCUPATIONAL HEALTH","Score":null,"Total":0}
引用次数: 0

摘要

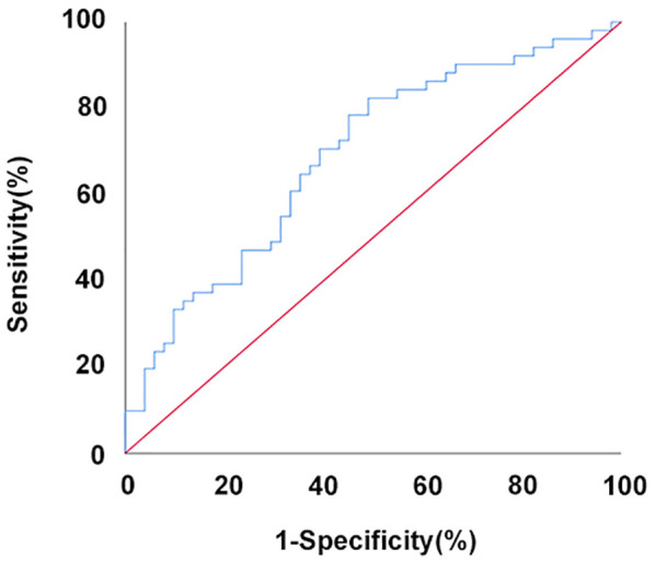
识别勃起功能障碍(ED)的新危险因素对于制定有针对性的干预措施至关重要。本研究旨在探讨血清微量元素(TEs)浓度对糖尿病性ED风险的潜在影响。采用回顾性病例对照研究,纳入51例糖尿病性ED患者和51例对照组。采用电感耦合等离子体质谱(ICP-MS)测定血清铜(Cu)、锌(Zn)、镁(Mg)、铁(Fe)和钙(Ca)水平。虽然大多数选择的te没有显着差异,但糖尿病ED患者的Cu水平明显较高。此外,糖尿病ED组的Cu/Zn比率(CZr)与对照组相比显著升高(1.3 vs. 1.2 mg/L, p < .001),反映了其与氧化应激的潜在相关性。受试者工作特征曲线分析显示,CZr对ED的诊断效果优于单一参数。这些发现表明,糖尿病性ED中铜稳态的破坏和CZr升高的可能性很大。需要进一步的研究来验证我们的发现并阐明潜在的机制。
本文章由计算机程序翻译,如有差异,请以英文原文为准。

Concentration of Selected Serum Trace Elements in Male Patients With Diabetic Erectile Dysfunction: A Case-Control Study.

Concentration of Selected Serum Trace Elements in Male Patients With Diabetic Erectile Dysfunction: A Case-Control Study.

Concentration of Selected Serum Trace Elements in Male Patients With Diabetic Erectile Dysfunction: A Case-Control Study.

Concentration of Selected Serum Trace Elements in Male Patients With Diabetic Erectile Dysfunction: A Case-Control Study.

Identifying novel risk factors for erectile dysfunction (ED) is crucial for developing targeted intervention. This study aimed to investigate the potential impacts of serum trace elements (TEs) concentration on the risk of diabetic ED. A retrospective case-control study was conducted involving 51 patients with diabetic ED and 51 control subjects. Serum levels of copper (Cu), zinc (Zn), magnesium (Mg), iron (Fe), and calcium (Ca) were measured using inductively coupled plasma-mass spectrometry (ICP-MS). While most selected TEs showed no significant differences, Cu levels were notably higher in patients with diabetic ED. In addition, the Cu/Zn ratio (CZr) was significantly elevated in the diabetic ED group compared to controls (1.3 vs. 1.2 mg/L, p < .001), reflecting its potential relevance to oxidative stress. Receiver operating characteristic curve analysis revealed that CZr exhibited better diagnostic performance for ED than the single parameter. These findings suggest disruptions in Cu homeostasis and a high probability of elevated CZr in diabetic ED. Further studies are warranted to validate our findings and elucidate the underlying mechanisms.

求助全文
通过发布文献求助,成功后即可免费获取论文全文。 去求助
来源期刊
American Journal of Men's Health
American Journal of Men's Health PUBLIC, ENVIRONMENTAL & OCCUPATIONAL HEALTH-
CiteScore
3.70
自引率
4.30%
发文量
107
审稿时长
15 weeks
期刊介绍: American Journal of Men"s Health will be a core resource for cutting-edge information regarding men"s health and illness. The Journal will publish papers from all health, behavioral and social disciplines, including but not limited to medicine, nursing, allied health, public health, health psychology/behavioral medicine, and medical sociology and anthropology.
×
引用
GB/T 7714-2015
复制
MLA
复制
APA
复制
导出至
BibTeX EndNote RefMan NoteFirst NoteExpress
×
提示
您的信息不完整,为了账户安全,请先补充。
现在去补充
×
提示
您因"违规操作"
具体请查看互助需知
我知道了
×
提示
确定
请完成安全验证×
copy
已复制链接
快去分享给好友吧!
我知道了
右上角分享
点击右上角分享
0
联系我们:info@booksci.cn Book学术提供免费学术资源搜索服务,方便国内外学者检索中英文文献。致力于提供最便捷和优质的服务体验。 Copyright © 2023 布克学术 All rights reserved.
京ICP备2023020795号-1
ghs 京公网安备 11010802042870号
Book学术文献互助
Book学术文献互助群
群 号:604180095
Book学术官方微信