大麻素作为her2 -酪氨酸激酶抑制剂:一种靶向her2阳性卵巢癌的新策略。

IF 4.3 3区 化学 Q2 CHEMISTRY, MULTIDISCIPLINARY
ACS Omega Pub Date : 2025-02-08 eCollection Date: 2025-02-18 DOI:10.1021/acsomega.4c11108
Thomanai Lamtha, Nathjanan Jongkon, Tossaporn Lertvanithphol, Mati Horprathum, Supaphorn Seetaha, Kiattawee Choowongkomon
{"title":"大麻素作为her2 -酪氨酸激酶抑制剂:一种靶向her2阳性卵巢癌的新策略。","authors":"Thomanai Lamtha, Nathjanan Jongkon, Tossaporn Lertvanithphol, Mati Horprathum, Supaphorn Seetaha, Kiattawee Choowongkomon","doi":"10.1021/acsomega.4c11108","DOIUrl":null,"url":null,"abstract":"<p><p>Human epidermal growth factor receptor 2 (HER2) is a transmembrane receptor within the ErbB family that plays a pivotal role in the progression of various aggressive cancers. HER2-positive tumors often develop resistance to standard therapies, necessitating the exploration of innovative treatment options. Cannabinoids, bioactive compounds from <i>Cannabis sativa</i> such as cannabidiol (CBD), cannabigerol (CBG), and cannabinol (CBN), have gained attention for their potential anticancer properties. This study evaluates the efficacy of CBD, CBG, and CBN in targeting HER2-positive ovarian cancer through kinase inhibition assays, surface plasmon resonance (SPR), molecular docking, and cell viability assessments. SPR analysis revealed that cannabinoids bind strongly to HER2-tyrosine kinase (HER2-TK), with CBD showing the highest affinity (<i>K</i> <sub>D</sub> = 6.16 μM), significantly better than afatinib (<i>K</i> <sub>D</sub> = 26.30 μM), and CBG demonstrating moderate affinity (<i>K</i> <sub>D</sub> = 17.07 μM). In kinase inhibition assays, CBG was the most potent inhibitor (IC<sub>50</sub> = 24.7 nM), followed by CBD (IC<sub>50</sub> = 38 nM), suggesting their ability to disrupt HER2-mediated signaling pathways. Molecular docking studies highlighted critical interactions between cannabinoids and essential HER2 residues (Leu796, Thr862, Asp863). In cell viability assays, CBD and CBG effectively inhibited the growth of HER2-positive SKOV3 cells (IC<sub>50</sub> = 13.8 μM and 16.6 μM, respectively), comparable to traditional tyrosine kinase inhibitors. These findings underscore the therapeutic potential of cannabinoids, particularly CBD and CBG, as alternative or adjunct therapies for HER2-positive cancers, with the promise of mitigating resistance and adverse effects associated with existing treatments.</p>","PeriodicalId":22,"journal":{"name":"ACS Omega","volume":"10 6","pages":"6191-6200"},"PeriodicalIF":4.3000,"publicationDate":"2025-02-08","publicationTypes":"Journal Article","fieldsOfStudy":null,"isOpenAccess":false,"openAccessPdf":"https://www.ncbi.nlm.nih.gov/pmc/articles/PMC11840771/pdf/","citationCount":"0","resultStr":"{\"title\":\"Cannabinoids as Promising Inhibitors of HER2-Tyrosine Kinase: A Novel Strategy for Targeting HER2-Positive Ovarian Cancer.\",\"authors\":\"Thomanai Lamtha, Nathjanan Jongkon, Tossaporn Lertvanithphol, Mati Horprathum, Supaphorn Seetaha, Kiattawee Choowongkomon\",\"doi\":\"10.1021/acsomega.4c11108\",\"DOIUrl\":null,\"url\":null,\"abstract\":\"<p><p>Human epidermal growth factor receptor 2 (HER2) is a transmembrane receptor within the ErbB family that plays a pivotal role in the progression of various aggressive cancers. HER2-positive tumors often develop resistance to standard therapies, necessitating the exploration of innovative treatment options. Cannabinoids, bioactive compounds from <i>Cannabis sativa</i> such as cannabidiol (CBD), cannabigerol (CBG), and cannabinol (CBN), have gained attention for their potential anticancer properties. This study evaluates the efficacy of CBD, CBG, and CBN in targeting HER2-positive ovarian cancer through kinase inhibition assays, surface plasmon resonance (SPR), molecular docking, and cell viability assessments. SPR analysis revealed that cannabinoids bind strongly to HER2-tyrosine kinase (HER2-TK), with CBD showing the highest affinity (<i>K</i> <sub>D</sub> = 6.16 μM), significantly better than afatinib (<i>K</i> <sub>D</sub> = 26.30 μM), and CBG demonstrating moderate affinity (<i>K</i> <sub>D</sub> = 17.07 μM). In kinase inhibition assays, CBG was the most potent inhibitor (IC<sub>50</sub> = 24.7 nM), followed by CBD (IC<sub>50</sub> = 38 nM), suggesting their ability to disrupt HER2-mediated signaling pathways. Molecular docking studies highlighted critical interactions between cannabinoids and essential HER2 residues (Leu796, Thr862, Asp863). In cell viability assays, CBD and CBG effectively inhibited the growth of HER2-positive SKOV3 cells (IC<sub>50</sub> = 13.8 μM and 16.6 μM, respectively), comparable to traditional tyrosine kinase inhibitors. These findings underscore the therapeutic potential of cannabinoids, particularly CBD and CBG, as alternative or adjunct therapies for HER2-positive cancers, with the promise of mitigating resistance and adverse effects associated with existing treatments.</p>\",\"PeriodicalId\":22,\"journal\":{\"name\":\"ACS Omega\",\"volume\":\"10 6\",\"pages\":\"6191-6200\"},\"PeriodicalIF\":4.3000,\"publicationDate\":\"2025-02-08\",\"publicationTypes\":\"Journal Article\",\"fieldsOfStudy\":null,\"isOpenAccess\":false,\"openAccessPdf\":\"https://www.ncbi.nlm.nih.gov/pmc/articles/PMC11840771/pdf/\",\"citationCount\":\"0\",\"resultStr\":null,\"platform\":\"Semanticscholar\",\"paperid\":null,\"PeriodicalName\":\"ACS Omega\",\"FirstCategoryId\":\"92\",\"ListUrlMain\":\"https://doi.org/10.1021/acsomega.4c11108\",\"RegionNum\":3,\"RegionCategory\":\"化学\",\"ArticlePicture\":[],\"TitleCN\":null,\"AbstractTextCN\":null,\"PMCID\":null,\"EPubDate\":\"2025/2/18 0:00:00\",\"PubModel\":\"eCollection\",\"JCR\":\"Q2\",\"JCRName\":\"CHEMISTRY, MULTIDISCIPLINARY\",\"Score\":null,\"Total\":0}","platform":"Semanticscholar","paperid":null,"PeriodicalName":"ACS Omega","FirstCategoryId":"92","ListUrlMain":"https://doi.org/10.1021/acsomega.4c11108","RegionNum":3,"RegionCategory":"化学","ArticlePicture":[],"TitleCN":null,"AbstractTextCN":null,"PMCID":null,"EPubDate":"2025/2/18 0:00:00","PubModel":"eCollection","JCR":"Q2","JCRName":"CHEMISTRY, MULTIDISCIPLINARY","Score":null,"Total":0}
引用次数: 0

摘要

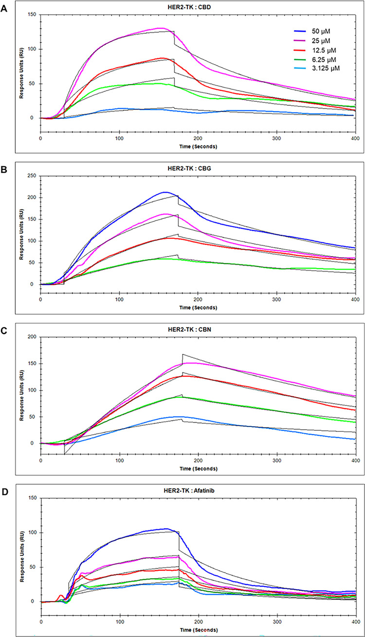
人表皮生长因子受体2 (HER2)是ErbB家族中的一种跨膜受体,在各种侵袭性癌症的进展中起关键作用。her2阳性肿瘤通常对标准治疗产生耐药性,因此需要探索创新的治疗方案。大麻素是大麻中的生物活性化合物,如大麻二酚(CBD)、大麻二酚(CBG)和大麻酚(CBN),因其潜在的抗癌特性而受到关注。本研究通过激酶抑制试验、表面等离子体共振(SPR)、分子对接和细胞活力评估来评估CBD、CBG和CBN靶向her2阳性卵巢癌的疗效。SPR分析显示,大麻素与her2 -酪氨酸激酶(HER2-TK)结合较强,其中CBD与HER2-TK的亲合力最高(K D = 6.16 μM),显著优于阿法替尼(K D = 26.30 μM), CBG与HER2-TK的亲合力中等(K D = 17.07 μM)。在激酶抑制试验中,CBG是最有效的抑制剂(IC50 = 24.7 nM),其次是CBD (IC50 = 38 nM),表明它们能够破坏her2介导的信号通路。分子对接研究强调了大麻素与HER2必需残基之间的关键相互作用(Leu796, Thr862, Asp863)。在细胞活力测试中,CBD和CBG有效抑制her2阳性SKOV3细胞的生长(IC50分别为13.8 μM和16.6 μM),与传统酪氨酸激酶抑制剂相当。这些发现强调了大麻素,特别是CBD和CBG,作为her2阳性癌症的替代或辅助疗法的治疗潜力,有望减轻与现有治疗相关的耐药性和不良反应。
本文章由计算机程序翻译,如有差异,请以英文原文为准。

Cannabinoids as Promising Inhibitors of HER2-Tyrosine Kinase: A Novel Strategy for Targeting HER2-Positive Ovarian Cancer.

Cannabinoids as Promising Inhibitors of HER2-Tyrosine Kinase: A Novel Strategy for Targeting HER2-Positive Ovarian Cancer.

Cannabinoids as Promising Inhibitors of HER2-Tyrosine Kinase: A Novel Strategy for Targeting HER2-Positive Ovarian Cancer.

Cannabinoids as Promising Inhibitors of HER2-Tyrosine Kinase: A Novel Strategy for Targeting HER2-Positive Ovarian Cancer.

Human epidermal growth factor receptor 2 (HER2) is a transmembrane receptor within the ErbB family that plays a pivotal role in the progression of various aggressive cancers. HER2-positive tumors often develop resistance to standard therapies, necessitating the exploration of innovative treatment options. Cannabinoids, bioactive compounds from Cannabis sativa such as cannabidiol (CBD), cannabigerol (CBG), and cannabinol (CBN), have gained attention for their potential anticancer properties. This study evaluates the efficacy of CBD, CBG, and CBN in targeting HER2-positive ovarian cancer through kinase inhibition assays, surface plasmon resonance (SPR), molecular docking, and cell viability assessments. SPR analysis revealed that cannabinoids bind strongly to HER2-tyrosine kinase (HER2-TK), with CBD showing the highest affinity (K D = 6.16 μM), significantly better than afatinib (K D = 26.30 μM), and CBG demonstrating moderate affinity (K D = 17.07 μM). In kinase inhibition assays, CBG was the most potent inhibitor (IC50 = 24.7 nM), followed by CBD (IC50 = 38 nM), suggesting their ability to disrupt HER2-mediated signaling pathways. Molecular docking studies highlighted critical interactions between cannabinoids and essential HER2 residues (Leu796, Thr862, Asp863). In cell viability assays, CBD and CBG effectively inhibited the growth of HER2-positive SKOV3 cells (IC50 = 13.8 μM and 16.6 μM, respectively), comparable to traditional tyrosine kinase inhibitors. These findings underscore the therapeutic potential of cannabinoids, particularly CBD and CBG, as alternative or adjunct therapies for HER2-positive cancers, with the promise of mitigating resistance and adverse effects associated with existing treatments.

求助全文
通过发布文献求助,成功后即可免费获取论文全文。 去求助
来源期刊
ACS Omega
ACS Omega Chemical Engineering-General Chemical Engineering
CiteScore
6.60
自引率
4.90%
发文量
3945
审稿时长
2.4 months
期刊介绍: ACS Omega is an open-access global publication for scientific articles that describe new findings in chemistry and interfacing areas of science, without any perceived evaluation of immediate impact.
×
引用
GB/T 7714-2015
复制
MLA
复制
APA
复制
导出至
BibTeX EndNote RefMan NoteFirst NoteExpress
×
提示
您的信息不完整,为了账户安全,请先补充。
现在去补充
×
提示
您因"违规操作"
具体请查看互助需知
我知道了
×
提示
确定
请完成安全验证×
copy
已复制链接
快去分享给好友吧!
我知道了
右上角分享
点击右上角分享
0
联系我们:info@booksci.cn Book学术提供免费学术资源搜索服务,方便国内外学者检索中英文文献。致力于提供最便捷和优质的服务体验。 Copyright © 2023 布克学术 All rights reserved.
京ICP备2023020795号-1
ghs 京公网安备 11010802042870号
Book学术文献互助
Book学术文献互助群
群 号:604180095
Book学术官方微信