探索赖纳-里夫林流体的滞点流动,源自拉伸圆柱体以传递能量和物质。

IF 3.9 2区 综合性期刊 Q1 MULTIDISCIPLINARY SCIENCES
Muhammad Imran, Muhammad Zeemam, Muhammad Abdul Basit, Razia Sultan, Aiedh Mrisi Alharthi, Basma Souayeh, Mohammed R Ali, Flah Aymen
{"title":"探索赖纳-里夫林流体的滞点流动,源自拉伸圆柱体以传递能量和物质。","authors":"Muhammad Imran, Muhammad Zeemam, Muhammad Abdul Basit, Razia Sultan, Aiedh Mrisi Alharthi, Basma Souayeh, Mohammed R Ali, Flah Aymen","doi":"10.1038/s41598-025-90298-4","DOIUrl":null,"url":null,"abstract":"<p><p>This research focuses on non-Newtonian stagnation-bioconvective point flow near a stretched cylinder along the Reiner-Rivlin model. The study incorporates thermal and mass transfers, considering thermodynamic diffusion, bioconvection, and viscous heating. Entropy production analysis is included to assess the inherent uncertainty in transport processes. The computational framework is developed under prescribed wall temperature and concentration conditions, which are essential for achieving self-similar solutions. Numerical findings are collected using MATLAB's \"bvp4c\" technique. The numerical outcomes are validated by comparing them with solutions for specific parameter values. The impact of curvature on boundary layer behavior is investigated for a range of governing parameters. For Reiner-Rivlin fluids, the skin friction coefficient is calculated to determine the force exerted by the straining cylinder. Additionally, a rise in the Reiner-Rivlin fluid factor causes a reduction in the surface cooling rate. Mainly the flow patterns observed by considering the quantity of parameters as [Formula: see text], [Formula: see text], [Formula: see text], [Formula: see text], [Formula: see text], [Formula: see text], [Formula: see text], [Formula: see text] on all profiles.</p>","PeriodicalId":21811,"journal":{"name":"Scientific Reports","volume":"15 1","pages":"6515"},"PeriodicalIF":3.9000,"publicationDate":"2025-02-22","publicationTypes":"Journal Article","fieldsOfStudy":null,"isOpenAccess":false,"openAccessPdf":"https://www.ncbi.nlm.nih.gov/pmc/articles/PMC11846857/pdf/","citationCount":"0","resultStr":"{\"title\":\"Exploration of stagnation-point flow of Reiner-Rivlin fluid originating from the stretched cylinder for the transmission of the energy and matter.\",\"authors\":\"Muhammad Imran, Muhammad Zeemam, Muhammad Abdul Basit, Razia Sultan, Aiedh Mrisi Alharthi, Basma Souayeh, Mohammed R Ali, Flah Aymen\",\"doi\":\"10.1038/s41598-025-90298-4\",\"DOIUrl\":null,\"url\":null,\"abstract\":\"<p><p>This research focuses on non-Newtonian stagnation-bioconvective point flow near a stretched cylinder along the Reiner-Rivlin model. The study incorporates thermal and mass transfers, considering thermodynamic diffusion, bioconvection, and viscous heating. Entropy production analysis is included to assess the inherent uncertainty in transport processes. The computational framework is developed under prescribed wall temperature and concentration conditions, which are essential for achieving self-similar solutions. Numerical findings are collected using MATLAB's \\\"bvp4c\\\" technique. The numerical outcomes are validated by comparing them with solutions for specific parameter values. The impact of curvature on boundary layer behavior is investigated for a range of governing parameters. For Reiner-Rivlin fluids, the skin friction coefficient is calculated to determine the force exerted by the straining cylinder. Additionally, a rise in the Reiner-Rivlin fluid factor causes a reduction in the surface cooling rate. Mainly the flow patterns observed by considering the quantity of parameters as [Formula: see text], [Formula: see text], [Formula: see text], [Formula: see text], [Formula: see text], [Formula: see text], [Formula: see text], [Formula: see text] on all profiles.</p>\",\"PeriodicalId\":21811,\"journal\":{\"name\":\"Scientific Reports\",\"volume\":\"15 1\",\"pages\":\"6515\"},\"PeriodicalIF\":3.9000,\"publicationDate\":\"2025-02-22\",\"publicationTypes\":\"Journal Article\",\"fieldsOfStudy\":null,\"isOpenAccess\":false,\"openAccessPdf\":\"https://www.ncbi.nlm.nih.gov/pmc/articles/PMC11846857/pdf/\",\"citationCount\":\"0\",\"resultStr\":null,\"platform\":\"Semanticscholar\",\"paperid\":null,\"PeriodicalName\":\"Scientific Reports\",\"FirstCategoryId\":\"103\",\"ListUrlMain\":\"https://doi.org/10.1038/s41598-025-90298-4\",\"RegionNum\":2,\"RegionCategory\":\"综合性期刊\",\"ArticlePicture\":[],\"TitleCN\":null,\"AbstractTextCN\":null,\"PMCID\":null,\"EPubDate\":\"\",\"PubModel\":\"\",\"JCR\":\"Q1\",\"JCRName\":\"MULTIDISCIPLINARY SCIENCES\",\"Score\":null,\"Total\":0}","platform":"Semanticscholar","paperid":null,"PeriodicalName":"Scientific Reports","FirstCategoryId":"103","ListUrlMain":"https://doi.org/10.1038/s41598-025-90298-4","RegionNum":2,"RegionCategory":"综合性期刊","ArticlePicture":[],"TitleCN":null,"AbstractTextCN":null,"PMCID":null,"EPubDate":"","PubModel":"","JCR":"Q1","JCRName":"MULTIDISCIPLINARY SCIENCES","Score":null,"Total":0}
引用次数: 0

摘要

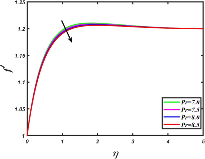
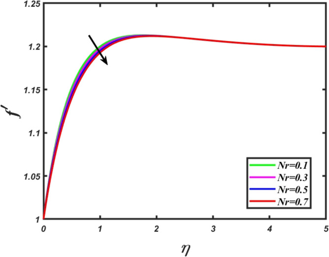
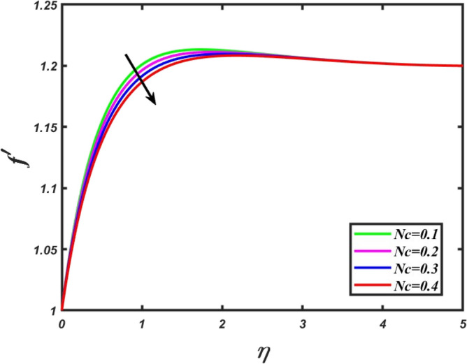
本研究聚焦于沿Reiner-Rivlin模型的拉伸圆柱体附近的非牛顿停滞-生物对流点流动。该研究结合了传热和传质,考虑了热力学扩散、生物对流和粘性加热。利用熵产分析来评估运输过程的内在不确定性。计算框架是在规定的壁温和浓度条件下建立的,这是实现自相似解所必需的。利用MATLAB的“bvp4c”技术收集数值结果。通过与特定参数值的解进行比较,验证了数值结果。在一定范围的控制参数下,研究了曲率对边界层行为的影响。对于Reiner-Rivlin流体,计算表面摩擦系数以确定由拉伸圆柱体施加的力。此外,Reiner-Rivlin流体系数的升高会导致表面冷却速率的降低。主要是考虑参数的数量,观察到的流动模式为[公式:见文],[公式:见文],[公式:见文],[公式:见文],[公式:见文],[公式:见文],[公式:见文],[公式:见文],[公式:见文],[公式:见文]。
本文章由计算机程序翻译,如有差异,请以英文原文为准。

Exploration of stagnation-point flow of Reiner-Rivlin fluid originating from the stretched cylinder for the transmission of the energy and matter.

Exploration of stagnation-point flow of Reiner-Rivlin fluid originating from the stretched cylinder for the transmission of the energy and matter.

Exploration of stagnation-point flow of Reiner-Rivlin fluid originating from the stretched cylinder for the transmission of the energy and matter.

Exploration of stagnation-point flow of Reiner-Rivlin fluid originating from the stretched cylinder for the transmission of the energy and matter.

This research focuses on non-Newtonian stagnation-bioconvective point flow near a stretched cylinder along the Reiner-Rivlin model. The study incorporates thermal and mass transfers, considering thermodynamic diffusion, bioconvection, and viscous heating. Entropy production analysis is included to assess the inherent uncertainty in transport processes. The computational framework is developed under prescribed wall temperature and concentration conditions, which are essential for achieving self-similar solutions. Numerical findings are collected using MATLAB's "bvp4c" technique. The numerical outcomes are validated by comparing them with solutions for specific parameter values. The impact of curvature on boundary layer behavior is investigated for a range of governing parameters. For Reiner-Rivlin fluids, the skin friction coefficient is calculated to determine the force exerted by the straining cylinder. Additionally, a rise in the Reiner-Rivlin fluid factor causes a reduction in the surface cooling rate. Mainly the flow patterns observed by considering the quantity of parameters as [Formula: see text], [Formula: see text], [Formula: see text], [Formula: see text], [Formula: see text], [Formula: see text], [Formula: see text], [Formula: see text] on all profiles.

求助全文
通过发布文献求助,成功后即可免费获取论文全文。 去求助
来源期刊
Scientific Reports
Scientific Reports Natural Science Disciplines-
CiteScore
7.50
自引率
4.30%
发文量
19567
审稿时长
3.9 months
期刊介绍: We publish original research from all areas of the natural sciences, psychology, medicine and engineering. You can learn more about what we publish by browsing our specific scientific subject areas below or explore Scientific Reports by browsing all articles and collections. Scientific Reports has a 2-year impact factor: 4.380 (2021), and is the 6th most-cited journal in the world, with more than 540,000 citations in 2020 (Clarivate Analytics, 2021). •Engineering Engineering covers all aspects of engineering, technology, and applied science. It plays a crucial role in the development of technologies to address some of the world''s biggest challenges, helping to save lives and improve the way we live. •Physical sciences Physical sciences are those academic disciplines that aim to uncover the underlying laws of nature — often written in the language of mathematics. It is a collective term for areas of study including astronomy, chemistry, materials science and physics. •Earth and environmental sciences Earth and environmental sciences cover all aspects of Earth and planetary science and broadly encompass solid Earth processes, surface and atmospheric dynamics, Earth system history, climate and climate change, marine and freshwater systems, and ecology. It also considers the interactions between humans and these systems. •Biological sciences Biological sciences encompass all the divisions of natural sciences examining various aspects of vital processes. The concept includes anatomy, physiology, cell biology, biochemistry and biophysics, and covers all organisms from microorganisms, animals to plants. •Health sciences The health sciences study health, disease and healthcare. This field of study aims to develop knowledge, interventions and technology for use in healthcare to improve the treatment of patients.
×
引用
GB/T 7714-2015
复制
MLA
复制
APA
复制
导出至
BibTeX EndNote RefMan NoteFirst NoteExpress
×
提示
您的信息不完整,为了账户安全,请先补充。
现在去补充
×
提示
您因"违规操作"
具体请查看互助需知
我知道了
×
提示
确定
请完成安全验证×
copy
已复制链接
快去分享给好友吧!
我知道了
右上角分享
点击右上角分享
0
联系我们:info@booksci.cn Book学术提供免费学术资源搜索服务,方便国内外学者检索中英文文献。致力于提供最便捷和优质的服务体验。 Copyright © 2023 布克学术 All rights reserved.
京ICP备2023020795号-1
ghs 京公网安备 11010802042870号
Book学术文献互助
Book学术文献互助群
群 号:604180095
Book学术官方微信