空气污染引起的焦虑症住院患者的短期归因风险和经济负担:一项多城市时间分层病例交叉研究

IF 5.3 2区 环境科学与生态学 Q1 ENVIRONMENTAL SCIENCES
Peng Fu, Wanyanhan Jiang, Xinyi Tan, Yang Shu, Lian Yang
{"title":"空气污染引起的焦虑症住院患者的短期归因风险和经济负担:一项多城市时间分层病例交叉研究","authors":"Peng Fu, Wanyanhan Jiang, Xinyi Tan, Yang Shu, Lian Yang","doi":"10.1186/s12940-025-01157-8","DOIUrl":null,"url":null,"abstract":"<p><strong>Background: </strong>Anxiety disorders are a leading cause of severe quality of life impairment and are among the most common mental disorders globally. However, few studies have investigated the association between exposure to high levels of air pollution and an increased risk of developing anxiety disorders. This study aimed to investigate the relationship between air pollutants and hospitalisation for anxiety disorders and the associated economic burden of these hospitalisations in Sichuan, China.</p><p><strong>Methods: </strong>We collected 7,282 records of anxiety disorder hospitalisation from medical institutions across nine cities between January 1, 2017, and December 31, 2018. Concurrent meteorological and air pollution data, including temperature, humidity, PM<sub>2.5</sub>, PM<sub>10</sub>, SO<sub>2</sub>, and CO, were obtained from 183 monitoring stations in Sichuan Province. After controlling for long-term trends, day of the week, and meteorological factors, we employed a time-stratified case-crossover design based on conditional logistic regression to assess the association between concentrations of the four pollutants (PM<sub>2.5</sub>, PM<sub>10</sub>, SO<sub>2</sub>, and CO) and hospital admissions for anxiety disorders, with stratified analysis by age, sex, and season. The cost of hospitalisation was evaluated using the cost-of-illness method.</p><p><strong>Results: </strong>The finding indicated a positive correlation between short-term exposure to air pollutants and hospitalization rates of anxiety disorders. The effect of each 10 µg/m<sup>3</sup> increase in airborne particulate matter (PM) and SO<sub>2</sub> on hospital admissions for people with anxiety disorders peaked with a lag of 5 days, and each 1 mg/m<sup>3</sup> increase in CO had the greatest effect on the 0-7 day moving average lag, with OR values of PM<sub>2.5</sub>:1.002 (95% CI: 1.001,1.004), PM<sub>10</sub>:1.001 (95% CI: 1.000,1.002), SO<sub>2</sub>:1.034 (95% CI: 1.020,1.047), and CO: 1.614 (95% CI: 1.247, 2.089). Air pollution increases the chances of anxiety disorders during the cold season. Furthermore, the elderly are particularly susceptible to these pollutants, which may contribute to an increased hospitalization rates of anxiety disorders (P < 0.05). The total economic cost of hospitalisation for anxiety disorders due to particulate matter pollution was ¥ 966,319 during the study period.</p><p><strong>Conclusion: </strong>Short-term exposure to PM<sub>2.5</sub>, PM<sub>10</sub>, SO<sub>2,</sub> and CO may increase the risk of hospital admissions for anxiety disorders and impose significant financial burdens.</p>","PeriodicalId":11686,"journal":{"name":"Environmental Health","volume":"24 1","pages":"4"},"PeriodicalIF":5.3000,"publicationDate":"2025-02-22","publicationTypes":"Journal Article","fieldsOfStudy":null,"isOpenAccess":false,"openAccessPdf":"https://www.ncbi.nlm.nih.gov/pmc/articles/PMC11846161/pdf/","citationCount":"0","resultStr":"{\"title\":\"Short-term attributable risk and economic burden of hospital admissions for anxiety disorders due to air pollution: a multicity time-stratified case-crossover study.\",\"authors\":\"Peng Fu, Wanyanhan Jiang, Xinyi Tan, Yang Shu, Lian Yang\",\"doi\":\"10.1186/s12940-025-01157-8\",\"DOIUrl\":null,\"url\":null,\"abstract\":\"<p><strong>Background: </strong>Anxiety disorders are a leading cause of severe quality of life impairment and are among the most common mental disorders globally. However, few studies have investigated the association between exposure to high levels of air pollution and an increased risk of developing anxiety disorders. This study aimed to investigate the relationship between air pollutants and hospitalisation for anxiety disorders and the associated economic burden of these hospitalisations in Sichuan, China.</p><p><strong>Methods: </strong>We collected 7,282 records of anxiety disorder hospitalisation from medical institutions across nine cities between January 1, 2017, and December 31, 2018. Concurrent meteorological and air pollution data, including temperature, humidity, PM<sub>2.5</sub>, PM<sub>10</sub>, SO<sub>2</sub>, and CO, were obtained from 183 monitoring stations in Sichuan Province. After controlling for long-term trends, day of the week, and meteorological factors, we employed a time-stratified case-crossover design based on conditional logistic regression to assess the association between concentrations of the four pollutants (PM<sub>2.5</sub>, PM<sub>10</sub>, SO<sub>2</sub>, and CO) and hospital admissions for anxiety disorders, with stratified analysis by age, sex, and season. The cost of hospitalisation was evaluated using the cost-of-illness method.</p><p><strong>Results: </strong>The finding indicated a positive correlation between short-term exposure to air pollutants and hospitalization rates of anxiety disorders. The effect of each 10 µg/m<sup>3</sup> increase in airborne particulate matter (PM) and SO<sub>2</sub> on hospital admissions for people with anxiety disorders peaked with a lag of 5 days, and each 1 mg/m<sup>3</sup> increase in CO had the greatest effect on the 0-7 day moving average lag, with OR values of PM<sub>2.5</sub>:1.002 (95% CI: 1.001,1.004), PM<sub>10</sub>:1.001 (95% CI: 1.000,1.002), SO<sub>2</sub>:1.034 (95% CI: 1.020,1.047), and CO: 1.614 (95% CI: 1.247, 2.089). Air pollution increases the chances of anxiety disorders during the cold season. Furthermore, the elderly are particularly susceptible to these pollutants, which may contribute to an increased hospitalization rates of anxiety disorders (P < 0.05). The total economic cost of hospitalisation for anxiety disorders due to particulate matter pollution was ¥ 966,319 during the study period.</p><p><strong>Conclusion: </strong>Short-term exposure to PM<sub>2.5</sub>, PM<sub>10</sub>, SO<sub>2,</sub> and CO may increase the risk of hospital admissions for anxiety disorders and impose significant financial burdens.</p>\",\"PeriodicalId\":11686,\"journal\":{\"name\":\"Environmental Health\",\"volume\":\"24 1\",\"pages\":\"4\"},\"PeriodicalIF\":5.3000,\"publicationDate\":\"2025-02-22\",\"publicationTypes\":\"Journal Article\",\"fieldsOfStudy\":null,\"isOpenAccess\":false,\"openAccessPdf\":\"https://www.ncbi.nlm.nih.gov/pmc/articles/PMC11846161/pdf/\",\"citationCount\":\"0\",\"resultStr\":null,\"platform\":\"Semanticscholar\",\"paperid\":null,\"PeriodicalName\":\"Environmental Health\",\"FirstCategoryId\":\"93\",\"ListUrlMain\":\"https://doi.org/10.1186/s12940-025-01157-8\",\"RegionNum\":2,\"RegionCategory\":\"环境科学与生态学\",\"ArticlePicture\":[],\"TitleCN\":null,\"AbstractTextCN\":null,\"PMCID\":null,\"EPubDate\":\"\",\"PubModel\":\"\",\"JCR\":\"Q1\",\"JCRName\":\"ENVIRONMENTAL SCIENCES\",\"Score\":null,\"Total\":0}","platform":"Semanticscholar","paperid":null,"PeriodicalName":"Environmental Health","FirstCategoryId":"93","ListUrlMain":"https://doi.org/10.1186/s12940-025-01157-8","RegionNum":2,"RegionCategory":"环境科学与生态学","ArticlePicture":[],"TitleCN":null,"AbstractTextCN":null,"PMCID":null,"EPubDate":"","PubModel":"","JCR":"Q1","JCRName":"ENVIRONMENTAL SCIENCES","Score":null,"Total":0}
引用次数: 0

摘要

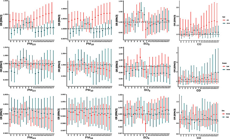
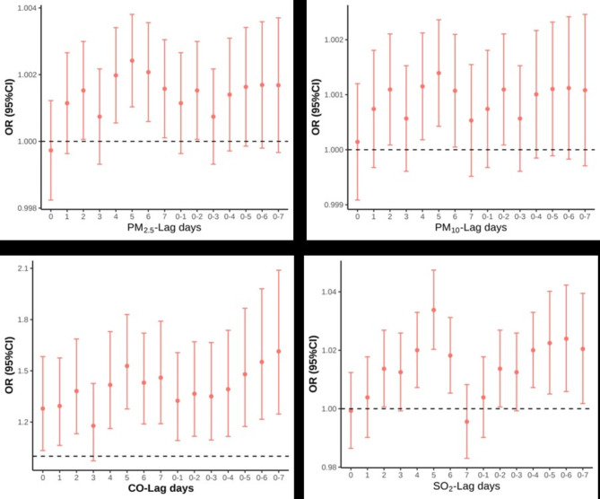
背景:焦虑症是严重生活质量损害的主要原因,也是全球最常见的精神障碍之一。然而,很少有研究调查暴露于高水平空气污染与患焦虑症风险增加之间的关系。本研究旨在调查中国四川省空气污染物与焦虑障碍住院之间的关系以及相关的住院经济负担。方法:收集2017年1月1日至2018年12月31日期间9个城市医疗机构的7282例焦虑症住院记录。利用四川省183个监测站的气温、湿度、PM2.5、PM10、SO2和CO等气象和大气污染数据进行数据同步分析。在控制了长期趋势、一周中的天数和气象因素后,我们采用基于条件逻辑回归的时间分层病例交叉设计来评估四种污染物(PM2.5、PM10、SO2和CO)浓度与焦虑症住院率之间的关系,并按年龄、性别和季节进行分层分析。住院费用采用疾病费用法进行评估。结果:短期空气污染物暴露与焦虑症住院率呈正相关。空气中颗粒物(PM)和二氧化硫每增加10微克/立方米对焦虑症患者住院的影响在滞后5天达到顶峰,CO每增加1毫克/立方米对0-7天移动平均滞后的影响最大,OR值分别为PM2.5:1.002 (95% CI: 1.001,1.004)、PM10:1.001 (95% CI: 1.000,1.002)、二氧化硫:1.034 (95% CI: 1.020,1.047)和CO: 1.614 (95% CI: 1.247, 2.089)。在寒冷的季节,空气污染会增加患焦虑症的几率。此外,老年人特别容易受到这些污染物的影响,这可能会增加焦虑症住院率(P结论:短期暴露于PM2.5, PM10, SO2和CO可能会增加因焦虑症住院的风险,并造成重大的经济负担。
本文章由计算机程序翻译,如有差异,请以英文原文为准。

Short-term attributable risk and economic burden of hospital admissions for anxiety disorders due to air pollution: a multicity time-stratified case-crossover study.

Short-term attributable risk and economic burden of hospital admissions for anxiety disorders due to air pollution: a multicity time-stratified case-crossover study.

Short-term attributable risk and economic burden of hospital admissions for anxiety disorders due to air pollution: a multicity time-stratified case-crossover study.

Short-term attributable risk and economic burden of hospital admissions for anxiety disorders due to air pollution: a multicity time-stratified case-crossover study.

Background: Anxiety disorders are a leading cause of severe quality of life impairment and are among the most common mental disorders globally. However, few studies have investigated the association between exposure to high levels of air pollution and an increased risk of developing anxiety disorders. This study aimed to investigate the relationship between air pollutants and hospitalisation for anxiety disorders and the associated economic burden of these hospitalisations in Sichuan, China.

Methods: We collected 7,282 records of anxiety disorder hospitalisation from medical institutions across nine cities between January 1, 2017, and December 31, 2018. Concurrent meteorological and air pollution data, including temperature, humidity, PM2.5, PM10, SO2, and CO, were obtained from 183 monitoring stations in Sichuan Province. After controlling for long-term trends, day of the week, and meteorological factors, we employed a time-stratified case-crossover design based on conditional logistic regression to assess the association between concentrations of the four pollutants (PM2.5, PM10, SO2, and CO) and hospital admissions for anxiety disorders, with stratified analysis by age, sex, and season. The cost of hospitalisation was evaluated using the cost-of-illness method.

Results: The finding indicated a positive correlation between short-term exposure to air pollutants and hospitalization rates of anxiety disorders. The effect of each 10 µg/m3 increase in airborne particulate matter (PM) and SO2 on hospital admissions for people with anxiety disorders peaked with a lag of 5 days, and each 1 mg/m3 increase in CO had the greatest effect on the 0-7 day moving average lag, with OR values of PM2.5:1.002 (95% CI: 1.001,1.004), PM10:1.001 (95% CI: 1.000,1.002), SO2:1.034 (95% CI: 1.020,1.047), and CO: 1.614 (95% CI: 1.247, 2.089). Air pollution increases the chances of anxiety disorders during the cold season. Furthermore, the elderly are particularly susceptible to these pollutants, which may contribute to an increased hospitalization rates of anxiety disorders (P < 0.05). The total economic cost of hospitalisation for anxiety disorders due to particulate matter pollution was ¥ 966,319 during the study period.

Conclusion: Short-term exposure to PM2.5, PM10, SO2, and CO may increase the risk of hospital admissions for anxiety disorders and impose significant financial burdens.

求助全文
通过发布文献求助,成功后即可免费获取论文全文。 去求助
来源期刊
Environmental Health
Environmental Health 环境科学-公共卫生、环境卫生与职业卫生
CiteScore
10.10
自引率
1.70%
发文量
115
审稿时长
3.0 months
期刊介绍: Environmental Health publishes manuscripts on all aspects of environmental and occupational medicine and related studies in toxicology and epidemiology. Environmental Health is aimed at scientists and practitioners in all areas of environmental science where human health and well-being are involved, either directly or indirectly. Environmental Health is a public health journal serving the public health community and scientists working on matters of public health interest and importance pertaining to the environment.
×
引用
GB/T 7714-2015
复制
MLA
复制
APA
复制
导出至
BibTeX EndNote RefMan NoteFirst NoteExpress
×
提示
您的信息不完整,为了账户安全,请先补充。
现在去补充
×
提示
您因"违规操作"
具体请查看互助需知
我知道了
×
提示
确定
请完成安全验证×
copy
已复制链接
快去分享给好友吧!
我知道了
右上角分享
点击右上角分享
0
联系我们:info@booksci.cn Book学术提供免费学术资源搜索服务,方便国内外学者检索中英文文献。致力于提供最便捷和优质的服务体验。 Copyright © 2023 布克学术 All rights reserved.
京ICP备2023020795号-1
ghs 京公网安备 11010802042870号
Book学术文献互助
Book学术文献互助群
群 号:604180095
Book学术官方微信