用于给药的果胶包被脂质体的微流体制备。

IF 5.5 3区 医学 Q1 MEDICINE, RESEARCH & EXPERIMENTAL
Drug Delivery and Translational Research Pub Date : 2025-09-01 Epub Date: 2025-02-22 DOI:10.1007/s13346-025-01812-0
Anitta Lutta, Qian Liu, Gabriel Kristian Pedersen, Mingdong Dong, Holger Grohganz, Line Hagner Nielsen, Signe Tandrup Schmidt
{"title":"用于给药的果胶包被脂质体的微流体制备。","authors":"Anitta Lutta, Qian Liu, Gabriel Kristian Pedersen, Mingdong Dong, Holger Grohganz, Line Hagner Nielsen, Signe Tandrup Schmidt","doi":"10.1007/s13346-025-01812-0","DOIUrl":null,"url":null,"abstract":"<p><p>Polymer coating of nanoparticulate drug delivery systems may enhance the efficacy of oral delivery. Cationic liposomes were coated with pectin biopolymers using microfluidics, with systematic variation of process parameters to optimize pectin-coated liposome fabrication. A pectin/liposome weight ratio of 0.7 and a microfluidic flow rate ratio of 2:1 pectin:liposome were found to be optimal. The resulting formulations displayed particle sizes at least threefold the size of uncoated liposomes, while the surface charge shifted to a highly negative value, indicating full pectin coating of the particles. Further microscopic characterization of the pectin-coated liposomes revealed that the pectins formed a polymeric network within which the liposomes were dispersed or attached. Stability studies revealed that pectin-coated liposomes remained stable during storage, with no displacement of the coating. We determined that microfluidics is a robust method for preparing pectin-coated liposomes, despite the structural differences between the pectins, geometry of the microchip used, and pectin/liposome concentration. Ultimately, the use of microfluidics in formulation development could be highly beneficial, as the process parameters can be easily modified and the process is easily scalable and inexpensive. Additionally, pectins can offer protective properties to the liposomes particularly during oral drug delivery.</p>","PeriodicalId":11357,"journal":{"name":"Drug Delivery and Translational Research","volume":" ","pages":"2941-2950"},"PeriodicalIF":5.5000,"publicationDate":"2025-09-01","publicationTypes":"Journal Article","fieldsOfStudy":null,"isOpenAccess":false,"openAccessPdf":"https://www.ncbi.nlm.nih.gov/pmc/articles/PMC12350439/pdf/","citationCount":"0","resultStr":"{\"title\":\"Microfluidic fabrication of pectin-coated liposomes for drug delivery.\",\"authors\":\"Anitta Lutta, Qian Liu, Gabriel Kristian Pedersen, Mingdong Dong, Holger Grohganz, Line Hagner Nielsen, Signe Tandrup Schmidt\",\"doi\":\"10.1007/s13346-025-01812-0\",\"DOIUrl\":null,\"url\":null,\"abstract\":\"<p><p>Polymer coating of nanoparticulate drug delivery systems may enhance the efficacy of oral delivery. Cationic liposomes were coated with pectin biopolymers using microfluidics, with systematic variation of process parameters to optimize pectin-coated liposome fabrication. A pectin/liposome weight ratio of 0.7 and a microfluidic flow rate ratio of 2:1 pectin:liposome were found to be optimal. The resulting formulations displayed particle sizes at least threefold the size of uncoated liposomes, while the surface charge shifted to a highly negative value, indicating full pectin coating of the particles. Further microscopic characterization of the pectin-coated liposomes revealed that the pectins formed a polymeric network within which the liposomes were dispersed or attached. Stability studies revealed that pectin-coated liposomes remained stable during storage, with no displacement of the coating. We determined that microfluidics is a robust method for preparing pectin-coated liposomes, despite the structural differences between the pectins, geometry of the microchip used, and pectin/liposome concentration. Ultimately, the use of microfluidics in formulation development could be highly beneficial, as the process parameters can be easily modified and the process is easily scalable and inexpensive. Additionally, pectins can offer protective properties to the liposomes particularly during oral drug delivery.</p>\",\"PeriodicalId\":11357,\"journal\":{\"name\":\"Drug Delivery and Translational Research\",\"volume\":\" \",\"pages\":\"2941-2950\"},\"PeriodicalIF\":5.5000,\"publicationDate\":\"2025-09-01\",\"publicationTypes\":\"Journal Article\",\"fieldsOfStudy\":null,\"isOpenAccess\":false,\"openAccessPdf\":\"https://www.ncbi.nlm.nih.gov/pmc/articles/PMC12350439/pdf/\",\"citationCount\":\"0\",\"resultStr\":null,\"platform\":\"Semanticscholar\",\"paperid\":null,\"PeriodicalName\":\"Drug Delivery and Translational Research\",\"FirstCategoryId\":\"3\",\"ListUrlMain\":\"https://doi.org/10.1007/s13346-025-01812-0\",\"RegionNum\":3,\"RegionCategory\":\"医学\",\"ArticlePicture\":[],\"TitleCN\":null,\"AbstractTextCN\":null,\"PMCID\":null,\"EPubDate\":\"2025/2/22 0:00:00\",\"PubModel\":\"Epub\",\"JCR\":\"Q1\",\"JCRName\":\"MEDICINE, RESEARCH & EXPERIMENTAL\",\"Score\":null,\"Total\":0}","platform":"Semanticscholar","paperid":null,"PeriodicalName":"Drug Delivery and Translational Research","FirstCategoryId":"3","ListUrlMain":"https://doi.org/10.1007/s13346-025-01812-0","RegionNum":3,"RegionCategory":"医学","ArticlePicture":[],"TitleCN":null,"AbstractTextCN":null,"PMCID":null,"EPubDate":"2025/2/22 0:00:00","PubModel":"Epub","JCR":"Q1","JCRName":"MEDICINE, RESEARCH & EXPERIMENTAL","Score":null,"Total":0}
引用次数: 0

摘要

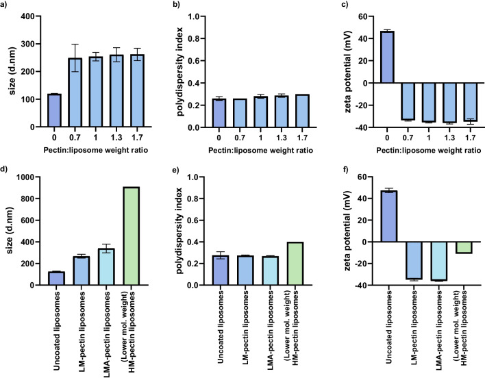
聚合物包被纳米颗粒给药系统可以提高口服给药的效果。采用微流控技术对阳离子脂质体进行了包被,系统地改变了工艺参数,优化了包被脂质体的制备工艺。果胶/脂质体质量比为0.7,果胶/脂质体的微流体流速比为2:1。所得到的配方显示出颗粒大小至少是未包覆的脂质体的三倍,而表面电荷转移到一个高度负值,表明颗粒完全被果胶包覆。果胶包覆脂质体的进一步微观表征表明,果胶形成了一个聚合物网络,脂质体在其中分散或附着。稳定性研究表明,果胶包覆的脂质体在储存过程中保持稳定,没有涂层的位移。我们确定微流体是一种制备果胶包被脂质体的可靠方法,尽管果胶的结构、使用的微芯片的几何形状和果胶/脂质体浓度存在差异。最终,在配方开发中使用微流体可能是非常有益的,因为工艺参数可以很容易地修改,并且该工艺易于扩展且价格低廉。此外,果胶可以提供保护性质的脂质体,特别是在口服给药。
本文章由计算机程序翻译,如有差异,请以英文原文为准。

Microfluidic fabrication of pectin-coated liposomes for drug delivery.

Microfluidic fabrication of pectin-coated liposomes for drug delivery.

Microfluidic fabrication of pectin-coated liposomes for drug delivery.

Microfluidic fabrication of pectin-coated liposomes for drug delivery.

Polymer coating of nanoparticulate drug delivery systems may enhance the efficacy of oral delivery. Cationic liposomes were coated with pectin biopolymers using microfluidics, with systematic variation of process parameters to optimize pectin-coated liposome fabrication. A pectin/liposome weight ratio of 0.7 and a microfluidic flow rate ratio of 2:1 pectin:liposome were found to be optimal. The resulting formulations displayed particle sizes at least threefold the size of uncoated liposomes, while the surface charge shifted to a highly negative value, indicating full pectin coating of the particles. Further microscopic characterization of the pectin-coated liposomes revealed that the pectins formed a polymeric network within which the liposomes were dispersed or attached. Stability studies revealed that pectin-coated liposomes remained stable during storage, with no displacement of the coating. We determined that microfluidics is a robust method for preparing pectin-coated liposomes, despite the structural differences between the pectins, geometry of the microchip used, and pectin/liposome concentration. Ultimately, the use of microfluidics in formulation development could be highly beneficial, as the process parameters can be easily modified and the process is easily scalable and inexpensive. Additionally, pectins can offer protective properties to the liposomes particularly during oral drug delivery.

求助全文
通过发布文献求助,成功后即可免费获取论文全文。 去求助
来源期刊
Drug Delivery and Translational Research
Drug Delivery and Translational Research MEDICINE, RESEARCH & EXPERIMENTALPHARMACOL-PHARMACOLOGY & PHARMACY
CiteScore
11.70
自引率
1.90%
发文量
160
期刊介绍: The journal provides a unique forum for scientific publication of high-quality research that is exclusively focused on translational aspects of drug delivery. Rationally developed, effective delivery systems can potentially affect clinical outcome in different disease conditions. Research focused on the following areas of translational drug delivery research will be considered for publication in the journal. Designing and developing novel drug delivery systems, with a focus on their application to disease conditions; Preclinical and clinical data related to drug delivery systems; Drug distribution, pharmacokinetics, clearance, with drug delivery systems as compared to traditional dosing to demonstrate beneficial outcomes Short-term and long-term biocompatibility of drug delivery systems, host response; Biomaterials with growth factors for stem-cell differentiation in regenerative medicine and tissue engineering; Image-guided drug therapy, Nanomedicine; Devices for drug delivery and drug/device combination products. In addition to original full-length papers, communications, and reviews, the journal includes editorials, reports of future meetings, research highlights, and announcements pertaining to the activities of the Controlled Release Society.
×
引用
GB/T 7714-2015
复制
MLA
复制
APA
复制
导出至
BibTeX EndNote RefMan NoteFirst NoteExpress
×
提示
您的信息不完整,为了账户安全,请先补充。
现在去补充
×
提示
您因"违规操作"
具体请查看互助需知
我知道了
×
提示
确定
请完成安全验证×
copy
已复制链接
快去分享给好友吧!
我知道了
右上角分享
点击右上角分享
0
联系我们:info@booksci.cn Book学术提供免费学术资源搜索服务,方便国内外学者检索中英文文献。致力于提供最便捷和优质的服务体验。 Copyright © 2023 布克学术 All rights reserved.
京ICP备2023020795号-1
ghs 京公网安备 11010802042870号
Book学术文献互助
Book学术文献互助群
群 号:604180095
Book学术官方微信