血栓弹性测定法(ROTEM)评估血栓性疾病筛查患者的高凝性。

IF 2.3 4区 医学 Q3 HEMATOLOGY
Mazen Assar, Henning Nilius, Natalie Kearn, Wilma Hopman, Michael Nagler, Maha Othman
{"title":"血栓弹性测定法(ROTEM)评估血栓性疾病筛查患者的高凝性。","authors":"Mazen Assar,&nbsp;Henning Nilius,&nbsp;Natalie Kearn,&nbsp;Wilma Hopman,&nbsp;Michael Nagler,&nbsp;Maha Othman","doi":"10.1111/ijlh.14443","DOIUrl":null,"url":null,"abstract":"<div>\n \n \n <section>\n \n <h3> Introduction</h3>\n \n <p>Thrombophilia, a blood coagulation disorder, poses risks of venous thromboembolism (VTE). Coagulation assays may not be sufficient to assess VTE risk and global assays such as Rotational Thromboelastometry (ROTEM) may add valuable information. We investigated ROTEM's capacity to detect hypercoagulability in patients undergoing thrombophilia screening, its potential impact on patient outcomes, and limitations.</p>\n </section>\n \n <section>\n \n <h3> Methods</h3>\n \n <p>Comprehensive clinical, laboratory, genetic tests, and ROTEM (EXTEM and INTEM) were conducted for 356 patients referred for thrombophilia screening at an academic hospital outpatient unit. Hypercoagulability was identified as a shorter clot formation time (CFT), larger alpha angle (AA), and greater maximum clot firmness (MCF), and was compared in patients with and without VTE. Statistically this was analyzed using Mann–Whitney <i>U</i> and Chi-square tests with <i>p</i> &lt; 0.05 considered significant.</p>\n </section>\n \n <section>\n \n <h3> Results</h3>\n \n <p>Among 356 patients, 64.6% had previous VTE, with 76.9% experiencing one event, 14.3% recurrent (35.6% unprovoked, 64.4% provoked). 22.5% of patients were on anticoagulation. Those with VTE history exhibited significant alterations in EXTEM and INTEM parameters compared to those without (<i>p</i> &lt; 0.001), showing decreased CFT and increased AA and MCF. However, receiver operating characteristic curves for these variables indicated that none were able to discriminate between those individuals with and without thromboembolic complications.</p>\n </section>\n \n <section>\n \n <h3> Conclusion</h3>\n \n <p>ROTEM does not appear to be a strong discriminatory test. However, it can detect hypercoagulopathy in patients referred for thrombophilia screening. Abnormal ROTEM may indicate a higher risk for recurrence. However, this can only be determined in prospective cohort studies.</p>\n </section>\n </div>","PeriodicalId":14120,"journal":{"name":"International Journal of Laboratory Hematology","volume":"47 3","pages":"520-528"},"PeriodicalIF":2.3000,"publicationDate":"2025-02-20","publicationTypes":"Journal Article","fieldsOfStudy":null,"isOpenAccess":false,"openAccessPdf":"https://onlinelibrary.wiley.com/doi/epdf/10.1111/ijlh.14443","citationCount":"0","resultStr":"{\"title\":\"Thromboelastometry (ROTEM) Assessing Hypercoagulability in Patients Referred for Thrombophilia Screening\",\"authors\":\"Mazen Assar,&nbsp;Henning Nilius,&nbsp;Natalie Kearn,&nbsp;Wilma Hopman,&nbsp;Michael Nagler,&nbsp;Maha Othman\",\"doi\":\"10.1111/ijlh.14443\",\"DOIUrl\":null,\"url\":null,\"abstract\":\"<div>\\n \\n \\n <section>\\n \\n <h3> Introduction</h3>\\n \\n <p>Thrombophilia, a blood coagulation disorder, poses risks of venous thromboembolism (VTE). Coagulation assays may not be sufficient to assess VTE risk and global assays such as Rotational Thromboelastometry (ROTEM) may add valuable information. We investigated ROTEM's capacity to detect hypercoagulability in patients undergoing thrombophilia screening, its potential impact on patient outcomes, and limitations.</p>\\n </section>\\n \\n <section>\\n \\n <h3> Methods</h3>\\n \\n <p>Comprehensive clinical, laboratory, genetic tests, and ROTEM (EXTEM and INTEM) were conducted for 356 patients referred for thrombophilia screening at an academic hospital outpatient unit. Hypercoagulability was identified as a shorter clot formation time (CFT), larger alpha angle (AA), and greater maximum clot firmness (MCF), and was compared in patients with and without VTE. Statistically this was analyzed using Mann–Whitney <i>U</i> and Chi-square tests with <i>p</i> &lt; 0.05 considered significant.</p>\\n </section>\\n \\n <section>\\n \\n <h3> Results</h3>\\n \\n <p>Among 356 patients, 64.6% had previous VTE, with 76.9% experiencing one event, 14.3% recurrent (35.6% unprovoked, 64.4% provoked). 22.5% of patients were on anticoagulation. Those with VTE history exhibited significant alterations in EXTEM and INTEM parameters compared to those without (<i>p</i> &lt; 0.001), showing decreased CFT and increased AA and MCF. However, receiver operating characteristic curves for these variables indicated that none were able to discriminate between those individuals with and without thromboembolic complications.</p>\\n </section>\\n \\n <section>\\n \\n <h3> Conclusion</h3>\\n \\n <p>ROTEM does not appear to be a strong discriminatory test. However, it can detect hypercoagulopathy in patients referred for thrombophilia screening. Abnormal ROTEM may indicate a higher risk for recurrence. However, this can only be determined in prospective cohort studies.</p>\\n </section>\\n </div>\",\"PeriodicalId\":14120,\"journal\":{\"name\":\"International Journal of Laboratory Hematology\",\"volume\":\"47 3\",\"pages\":\"520-528\"},\"PeriodicalIF\":2.3000,\"publicationDate\":\"2025-02-20\",\"publicationTypes\":\"Journal Article\",\"fieldsOfStudy\":null,\"isOpenAccess\":false,\"openAccessPdf\":\"https://onlinelibrary.wiley.com/doi/epdf/10.1111/ijlh.14443\",\"citationCount\":\"0\",\"resultStr\":null,\"platform\":\"Semanticscholar\",\"paperid\":null,\"PeriodicalName\":\"International Journal of Laboratory Hematology\",\"FirstCategoryId\":\"3\",\"ListUrlMain\":\"https://onlinelibrary.wiley.com/doi/10.1111/ijlh.14443\",\"RegionNum\":4,\"RegionCategory\":\"医学\",\"ArticlePicture\":[],\"TitleCN\":null,\"AbstractTextCN\":null,\"PMCID\":null,\"EPubDate\":\"\",\"PubModel\":\"\",\"JCR\":\"Q3\",\"JCRName\":\"HEMATOLOGY\",\"Score\":null,\"Total\":0}","platform":"Semanticscholar","paperid":null,"PeriodicalName":"International Journal of Laboratory Hematology","FirstCategoryId":"3","ListUrlMain":"https://onlinelibrary.wiley.com/doi/10.1111/ijlh.14443","RegionNum":4,"RegionCategory":"医学","ArticlePicture":[],"TitleCN":null,"AbstractTextCN":null,"PMCID":null,"EPubDate":"","PubModel":"","JCR":"Q3","JCRName":"HEMATOLOGY","Score":null,"Total":0}
引用次数: 0

摘要

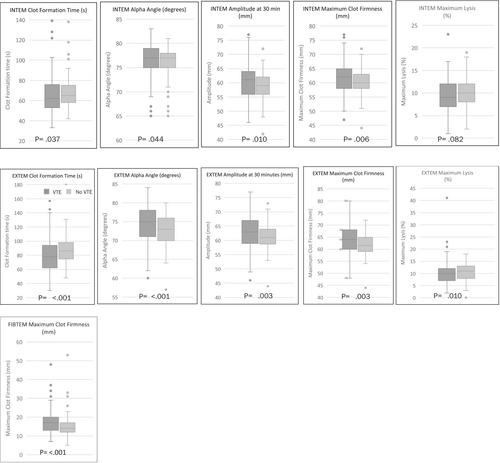
简介:血栓症是一种血液凝固障碍,具有静脉血栓栓塞(VTE)的风险。凝血试验可能不足以评估静脉血栓栓塞的风险,而旋转血栓弹性测定法(ROTEM)等全局分析可能会增加有价值的信息。我们研究了ROTEM在接受血栓病筛查的患者中检测高凝性的能力、对患者预后的潜在影响以及局限性。方法:对某学术医院门诊就诊的356例血栓患者进行综合临床、实验室、基因检测和ROTEM (EXTEM和INTEM)检测。高凝性被确定为更短的血栓形成时间(CFT)、更大的α角(AA)和更大的最大血栓硬度(MCF),并在有和没有血栓栓塞的患者中进行比较。采用Mann-Whitney U检验和卡方检验进行统计学分析,p值为p。结果:在356例患者中,64.6%的患者既往有静脉血栓栓塞,76.9%的患者有一次静脉血栓栓塞,14.3%复发(35.6%非诱因,64.4%诱因)。22.5%的患者接受抗凝治疗。与没有VTE病史的患者相比,有VTE病史的患者在EXTEM和INTEM参数上表现出显著的变化(p)。结论:ROTEM似乎不是一个很强的歧视性测试。然而,它可以检测高凝血病的患者转介血栓症筛查。异常的ROTEM可能预示着更高的复发风险。然而,这只能在前瞻性队列研究中确定。
本文章由计算机程序翻译,如有差异,请以英文原文为准。

Thromboelastometry (ROTEM) Assessing Hypercoagulability in Patients Referred for Thrombophilia Screening

Thromboelastometry (ROTEM) Assessing Hypercoagulability in Patients Referred for Thrombophilia Screening

Introduction

Thrombophilia, a blood coagulation disorder, poses risks of venous thromboembolism (VTE). Coagulation assays may not be sufficient to assess VTE risk and global assays such as Rotational Thromboelastometry (ROTEM) may add valuable information. We investigated ROTEM's capacity to detect hypercoagulability in patients undergoing thrombophilia screening, its potential impact on patient outcomes, and limitations.

Methods

Comprehensive clinical, laboratory, genetic tests, and ROTEM (EXTEM and INTEM) were conducted for 356 patients referred for thrombophilia screening at an academic hospital outpatient unit. Hypercoagulability was identified as a shorter clot formation time (CFT), larger alpha angle (AA), and greater maximum clot firmness (MCF), and was compared in patients with and without VTE. Statistically this was analyzed using Mann–Whitney U and Chi-square tests with p < 0.05 considered significant.

Results

Among 356 patients, 64.6% had previous VTE, with 76.9% experiencing one event, 14.3% recurrent (35.6% unprovoked, 64.4% provoked). 22.5% of patients were on anticoagulation. Those with VTE history exhibited significant alterations in EXTEM and INTEM parameters compared to those without (p < 0.001), showing decreased CFT and increased AA and MCF. However, receiver operating characteristic curves for these variables indicated that none were able to discriminate between those individuals with and without thromboembolic complications.

Conclusion

ROTEM does not appear to be a strong discriminatory test. However, it can detect hypercoagulopathy in patients referred for thrombophilia screening. Abnormal ROTEM may indicate a higher risk for recurrence. However, this can only be determined in prospective cohort studies.

求助全文
通过发布文献求助,成功后即可免费获取论文全文。 去求助
来源期刊
CiteScore
4.50
自引率
6.70%
发文量
211
审稿时长
6-12 weeks
期刊介绍: The International Journal of Laboratory Hematology provides a forum for the communication of new developments, research topics and the practice of laboratory haematology. The journal publishes invited reviews, full length original articles, and correspondence. The International Journal of Laboratory Hematology is the official journal of the International Society for Laboratory Hematology, which addresses the following sub-disciplines: cellular analysis, flow cytometry, haemostasis and thrombosis, molecular diagnostics, haematology informatics, haemoglobinopathies, point of care testing, standards and guidelines. The journal was launched in 2006 as the successor to Clinical and Laboratory Hematology, which was first published in 1979. An active and positive editorial policy ensures that work of a high scientific standard is reported, in order to bridge the gap between practical and academic aspects of laboratory haematology.
×
引用
GB/T 7714-2015
复制
MLA
复制
APA
复制
导出至
BibTeX EndNote RefMan NoteFirst NoteExpress
×
提示
您的信息不完整,为了账户安全,请先补充。
现在去补充
×
提示
您因"违规操作"
具体请查看互助需知
我知道了
×
提示
确定
请完成安全验证×
copy
已复制链接
快去分享给好友吧!
我知道了
右上角分享
点击右上角分享
0
联系我们:info@booksci.cn Book学术提供免费学术资源搜索服务,方便国内外学者检索中英文文献。致力于提供最便捷和优质的服务体验。 Copyright © 2023 布克学术 All rights reserved.
京ICP备2023020795号-1
ghs 京公网安备 11010802042870号
Book学术文献互助
Book学术文献互助群
群 号:604180095
Book学术官方微信