罗马尼亚脊髓损伤人群的就业及其决定因素。

IF 2 Q3 CLINICAL NEUROLOGY
NeuroSci Pub Date : 2025-02-01 DOI:10.3390/neurosci6010010
Camelia Florentina Lascu, Daiana Popa, Camelia Liana Buhaș, Florica Voiţă-Mekereş, Florina Ligia Popa, Matei Teodorescu, Georgiana Albina Căiță, Gheorghe Szilagyi, Andrada Florina Schwarz-Madar, Mirela Elena Bodea, Călin Tudor Hozan
{"title":"罗马尼亚脊髓损伤人群的就业及其决定因素。","authors":"Camelia Florentina Lascu, Daiana Popa, Camelia Liana Buhaș, Florica Voiţă-Mekereş, Florina Ligia Popa, Matei Teodorescu, Georgiana Albina Căiță, Gheorghe Szilagyi, Andrada Florina Schwarz-Madar, Mirela Elena Bodea, Călin Tudor Hozan","doi":"10.3390/neurosci6010010","DOIUrl":null,"url":null,"abstract":"<p><p>This study investigates employment rates and their determinants among individuals with spinal cord injury (SCI) in Romania using data from the Romanian National Spinal Cord Injury Survey (RO-InSCI), part of the International Spinal Cord Injury (InSCI) Community Survey. The cross-sectional study included 215 adults with traumatic or non-traumatic SCI living in the community. Participants were recruited through rehabilitation hospitals and patient organizations. Employment status, demographic characteristics, and injury-related factors were assessed. The observed employment rate was 25.35%, with a 39.45% employment gap compared to the general population. Barriers to employment included health status, disability, inadequate transport, and insufficient access to infrastructure, particularly for those with traumatic SCI. Vocational rehabilitation participation was low (18.7%), despite a strong desire to return to work (82% for traumatic SCI, 61.1% for non-traumatic SCI). Before injury, participants were primarily employed in elementary occupations, with higher rates among those with paraplegia. The findings highlight the need for targeted interventions, inclusive labor market policies, and improved accessibility to vocational rehabilitation to support workforce reintegration and address the specific needs of individuals with SCI in Romania.</p>","PeriodicalId":74294,"journal":{"name":"NeuroSci","volume":"6 1","pages":""},"PeriodicalIF":2.0000,"publicationDate":"2025-02-01","publicationTypes":"Journal Article","fieldsOfStudy":null,"isOpenAccess":false,"openAccessPdf":"https://www.ncbi.nlm.nih.gov/pmc/articles/PMC11843858/pdf/","citationCount":"0","resultStr":"{\"title\":\"Employment and Its Determinants for Spinal Cord Injury Population in Romania.\",\"authors\":\"Camelia Florentina Lascu, Daiana Popa, Camelia Liana Buhaș, Florica Voiţă-Mekereş, Florina Ligia Popa, Matei Teodorescu, Georgiana Albina Căiță, Gheorghe Szilagyi, Andrada Florina Schwarz-Madar, Mirela Elena Bodea, Călin Tudor Hozan\",\"doi\":\"10.3390/neurosci6010010\",\"DOIUrl\":null,\"url\":null,\"abstract\":\"<p><p>This study investigates employment rates and their determinants among individuals with spinal cord injury (SCI) in Romania using data from the Romanian National Spinal Cord Injury Survey (RO-InSCI), part of the International Spinal Cord Injury (InSCI) Community Survey. The cross-sectional study included 215 adults with traumatic or non-traumatic SCI living in the community. Participants were recruited through rehabilitation hospitals and patient organizations. Employment status, demographic characteristics, and injury-related factors were assessed. The observed employment rate was 25.35%, with a 39.45% employment gap compared to the general population. Barriers to employment included health status, disability, inadequate transport, and insufficient access to infrastructure, particularly for those with traumatic SCI. Vocational rehabilitation participation was low (18.7%), despite a strong desire to return to work (82% for traumatic SCI, 61.1% for non-traumatic SCI). Before injury, participants were primarily employed in elementary occupations, with higher rates among those with paraplegia. The findings highlight the need for targeted interventions, inclusive labor market policies, and improved accessibility to vocational rehabilitation to support workforce reintegration and address the specific needs of individuals with SCI in Romania.</p>\",\"PeriodicalId\":74294,\"journal\":{\"name\":\"NeuroSci\",\"volume\":\"6 1\",\"pages\":\"\"},\"PeriodicalIF\":2.0000,\"publicationDate\":\"2025-02-01\",\"publicationTypes\":\"Journal Article\",\"fieldsOfStudy\":null,\"isOpenAccess\":false,\"openAccessPdf\":\"https://www.ncbi.nlm.nih.gov/pmc/articles/PMC11843858/pdf/\",\"citationCount\":\"0\",\"resultStr\":null,\"platform\":\"Semanticscholar\",\"paperid\":null,\"PeriodicalName\":\"NeuroSci\",\"FirstCategoryId\":\"1085\",\"ListUrlMain\":\"https://doi.org/10.3390/neurosci6010010\",\"RegionNum\":0,\"RegionCategory\":null,\"ArticlePicture\":[],\"TitleCN\":null,\"AbstractTextCN\":null,\"PMCID\":null,\"EPubDate\":\"\",\"PubModel\":\"\",\"JCR\":\"Q3\",\"JCRName\":\"CLINICAL NEUROLOGY\",\"Score\":null,\"Total\":0}","platform":"Semanticscholar","paperid":null,"PeriodicalName":"NeuroSci","FirstCategoryId":"1085","ListUrlMain":"https://doi.org/10.3390/neurosci6010010","RegionNum":0,"RegionCategory":null,"ArticlePicture":[],"TitleCN":null,"AbstractTextCN":null,"PMCID":null,"EPubDate":"","PubModel":"","JCR":"Q3","JCRName":"CLINICAL NEUROLOGY","Score":null,"Total":0}
引用次数: 0

摘要

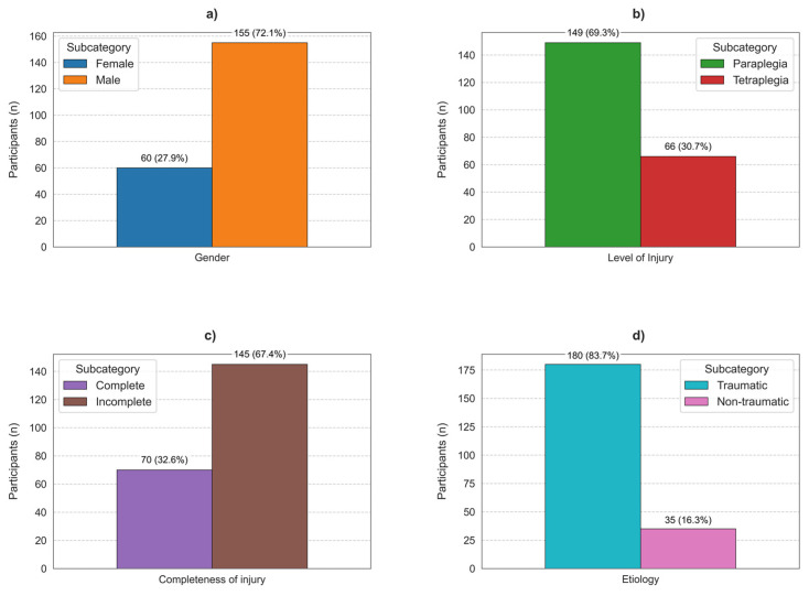
本研究利用罗马尼亚国家脊髓损伤调查(RO-InSCI)的数据,调查了罗马尼亚脊髓损伤(SCI)患者的就业率及其决定因素,该调查是国际脊髓损伤(InSCI)社区调查的一部分。横断面研究包括215名生活在社区的创伤性或非创伤性脊髓损伤的成年人。参与者是通过康复医院和患者组织招募的。评估了就业状况、人口统计学特征和伤害相关因素。观察到的就业率为25.35%,与一般人群相比,就业差距为39.45%。就业障碍包括健康状况、残疾、交通工具不足和缺乏基础设施,特别是对创伤性脊髓损伤患者而言。尽管有重返工作岗位的强烈愿望(创伤性脊髓损伤患者为82%,非创伤性脊髓损伤患者为61.1%),但职业康复的参与率较低(18.7%)。受伤前,参与者主要从事初级职业,截瘫患者的比例更高。研究结果强调,罗马尼亚需要有针对性的干预措施、包容性的劳动力市场政策和改善职业康复的可及性,以支持劳动力重返社会,并解决脊髓损伤患者的具体需求。
本文章由计算机程序翻译,如有差异,请以英文原文为准。

Employment and Its Determinants for Spinal Cord Injury Population in Romania.

Employment and Its Determinants for Spinal Cord Injury Population in Romania.

This study investigates employment rates and their determinants among individuals with spinal cord injury (SCI) in Romania using data from the Romanian National Spinal Cord Injury Survey (RO-InSCI), part of the International Spinal Cord Injury (InSCI) Community Survey. The cross-sectional study included 215 adults with traumatic or non-traumatic SCI living in the community. Participants were recruited through rehabilitation hospitals and patient organizations. Employment status, demographic characteristics, and injury-related factors were assessed. The observed employment rate was 25.35%, with a 39.45% employment gap compared to the general population. Barriers to employment included health status, disability, inadequate transport, and insufficient access to infrastructure, particularly for those with traumatic SCI. Vocational rehabilitation participation was low (18.7%), despite a strong desire to return to work (82% for traumatic SCI, 61.1% for non-traumatic SCI). Before injury, participants were primarily employed in elementary occupations, with higher rates among those with paraplegia. The findings highlight the need for targeted interventions, inclusive labor market policies, and improved accessibility to vocational rehabilitation to support workforce reintegration and address the specific needs of individuals with SCI in Romania.

求助全文
通过发布文献求助,成功后即可免费获取论文全文。 去求助
来源期刊
自引率
0.00%
发文量
0
审稿时长
11 weeks
×
引用
GB/T 7714-2015
复制
MLA
复制
APA
复制
导出至
BibTeX EndNote RefMan NoteFirst NoteExpress
×
提示
您的信息不完整,为了账户安全,请先补充。
现在去补充
×
提示
您因"违规操作"
具体请查看互助需知
我知道了
×
提示
确定
请完成安全验证×
copy
已复制链接
快去分享给好友吧!
我知道了
右上角分享
点击右上角分享
0
联系我们:info@booksci.cn Book学术提供免费学术资源搜索服务,方便国内外学者检索中英文文献。致力于提供最便捷和优质的服务体验。 Copyright © 2023 布克学术 All rights reserved.
京ICP备2023020795号-1
ghs 京公网安备 11010802042870号
Book学术文献互助
Book学术文献互助群
群 号:604180095
Book学术官方微信