编码过程中上下文对模式分离的影响。

IF 2 Q3 CLINICAL NEUROLOGY
NeuroSci Pub Date : 2025-02-06 DOI:10.3390/neurosci6010013
Laura García-Rueda, Claudia Poch, Joaquín Macedo-Pascual, Pablo Campo
{"title":"编码过程中上下文对模式分离的影响。","authors":"Laura García-Rueda, Claudia Poch, Joaquín Macedo-Pascual, Pablo Campo","doi":"10.3390/neurosci6010013","DOIUrl":null,"url":null,"abstract":"<p><p>Pattern separation is considered a crucial process that allows us to distinguish among the highly similar and overlapping experiences that constitute our episodic memory. Not only do different episodes share common features, but it is often the case that they share the context in which they occurred. While there have been a great number of studies investigating pattern separation and its behavioral counterpart, a process known as mnemonic discrimination, surprisingly, research exploring the influence of context on pattern separation or mnemonic discrimination has been less common. The available evidence shows that similar items with similar contexts led to a failure in pattern separation due to high similarity that triggers overlap between events. On the other hand, others have shown that pattern separation can take place even under these conditions, allowing humans to distinguish between events with similar items and contexts, as different hippocampal subfields would play complementary roles in enabling both pattern separation and pattern completion. In the present study, we were interested in testing how stability in context influenced pattern separation. Despite the fact that pattern separation is by definition an encoding computation, the existing literature has focused on the retrieval phase. Here, we used a subsequent memory paradigm in which we manipulated the similarity of context during the encoding of visual objects selected from diverse categories. Thus, we manipulated the encoded context of each object category (four items within a category), so that some categories had the same context and others had a different context. This approach allowed us to test not only the items presented but also to include the conditions that entail the greatest demand on pattern separation. After a 20 min period, participants performed a visual mnemonic discrimination task in which they had to differentiate between old, similar, and new items by providing one of the three options for each tested item. Similarly to previous studies, we found no interaction between judgments and contexts, and participants were able to discriminate between old and lure items at the behavioral level in both conditions. Moreover, when averaging the ERPs of all the items presented within a category, a significant SME emerged between hits and new misses, but not between hits and old false alarms or similar false alarms. These results suggest that item recognition emerges from the interaction with subsequently encoded information, and not just between item memory strength and retrieval processes.</p>","PeriodicalId":74294,"journal":{"name":"NeuroSci","volume":"6 1","pages":""},"PeriodicalIF":2.0000,"publicationDate":"2025-02-06","publicationTypes":"Journal Article","fieldsOfStudy":null,"isOpenAccess":false,"openAccessPdf":"https://www.ncbi.nlm.nih.gov/pmc/articles/PMC11843873/pdf/","citationCount":"0","resultStr":"{\"title\":\"Contextual Influence on Pattern Separation During Encoding.\",\"authors\":\"Laura García-Rueda, Claudia Poch, Joaquín Macedo-Pascual, Pablo Campo\",\"doi\":\"10.3390/neurosci6010013\",\"DOIUrl\":null,\"url\":null,\"abstract\":\"<p><p>Pattern separation is considered a crucial process that allows us to distinguish among the highly similar and overlapping experiences that constitute our episodic memory. Not only do different episodes share common features, but it is often the case that they share the context in which they occurred. While there have been a great number of studies investigating pattern separation and its behavioral counterpart, a process known as mnemonic discrimination, surprisingly, research exploring the influence of context on pattern separation or mnemonic discrimination has been less common. The available evidence shows that similar items with similar contexts led to a failure in pattern separation due to high similarity that triggers overlap between events. On the other hand, others have shown that pattern separation can take place even under these conditions, allowing humans to distinguish between events with similar items and contexts, as different hippocampal subfields would play complementary roles in enabling both pattern separation and pattern completion. In the present study, we were interested in testing how stability in context influenced pattern separation. Despite the fact that pattern separation is by definition an encoding computation, the existing literature has focused on the retrieval phase. Here, we used a subsequent memory paradigm in which we manipulated the similarity of context during the encoding of visual objects selected from diverse categories. Thus, we manipulated the encoded context of each object category (four items within a category), so that some categories had the same context and others had a different context. This approach allowed us to test not only the items presented but also to include the conditions that entail the greatest demand on pattern separation. After a 20 min period, participants performed a visual mnemonic discrimination task in which they had to differentiate between old, similar, and new items by providing one of the three options for each tested item. Similarly to previous studies, we found no interaction between judgments and contexts, and participants were able to discriminate between old and lure items at the behavioral level in both conditions. Moreover, when averaging the ERPs of all the items presented within a category, a significant SME emerged between hits and new misses, but not between hits and old false alarms or similar false alarms. These results suggest that item recognition emerges from the interaction with subsequently encoded information, and not just between item memory strength and retrieval processes.</p>\",\"PeriodicalId\":74294,\"journal\":{\"name\":\"NeuroSci\",\"volume\":\"6 1\",\"pages\":\"\"},\"PeriodicalIF\":2.0000,\"publicationDate\":\"2025-02-06\",\"publicationTypes\":\"Journal Article\",\"fieldsOfStudy\":null,\"isOpenAccess\":false,\"openAccessPdf\":\"https://www.ncbi.nlm.nih.gov/pmc/articles/PMC11843873/pdf/\",\"citationCount\":\"0\",\"resultStr\":null,\"platform\":\"Semanticscholar\",\"paperid\":null,\"PeriodicalName\":\"NeuroSci\",\"FirstCategoryId\":\"1085\",\"ListUrlMain\":\"https://doi.org/10.3390/neurosci6010013\",\"RegionNum\":0,\"RegionCategory\":null,\"ArticlePicture\":[],\"TitleCN\":null,\"AbstractTextCN\":null,\"PMCID\":null,\"EPubDate\":\"\",\"PubModel\":\"\",\"JCR\":\"Q3\",\"JCRName\":\"CLINICAL NEUROLOGY\",\"Score\":null,\"Total\":0}","platform":"Semanticscholar","paperid":null,"PeriodicalName":"NeuroSci","FirstCategoryId":"1085","ListUrlMain":"https://doi.org/10.3390/neurosci6010013","RegionNum":0,"RegionCategory":null,"ArticlePicture":[],"TitleCN":null,"AbstractTextCN":null,"PMCID":null,"EPubDate":"","PubModel":"","JCR":"Q3","JCRName":"CLINICAL NEUROLOGY","Score":null,"Total":0}
引用次数: 0

摘要

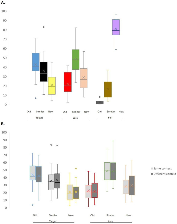
模式分离被认为是一个至关重要的过程,它使我们能够区分构成情景记忆的高度相似和重叠的经历。不同的情节不仅具有共同的特征,而且通常它们发生的背景也相同。虽然有大量的研究研究模式分离及其行为对应的过程,即记忆歧视,但令人惊讶的是,探索语境对模式分离或记忆歧视的影响的研究却很少。现有证据表明,具有相似背景的相似项目导致模式分离失败,因为高度相似会触发事件之间的重叠。另一方面,其他人已经表明,即使在这些条件下,模式分离也会发生,允许人类区分具有相似项目和背景的事件,因为不同的海马体子区在模式分离和模式完成中发挥互补作用。在本研究中,我们感兴趣的是测试环境稳定性如何影响模式分离。尽管模式分离在定义上是一种编码计算,但现有的文献主要集中在检索阶段。在这里,我们使用了一种后续记忆范式,在对从不同类别中选择的视觉对象进行编码时,我们操纵了上下文的相似性。因此,我们对每个对象类别(一个类别中的四个项目)的编码上下文进行了操作,以便某些类别具有相同的上下文,而其他类别具有不同的上下文。这种方法使我们不仅可以测试所呈现的项目,还可以包括对模式分离要求最大的条件。20分钟后,参与者进行了一项视觉记忆区分任务,在这项任务中,他们必须通过为每个被测试项目提供三个选项中的一个来区分旧的、相似的和新的项目。与之前的研究类似,我们发现判断和情境之间没有相互作用,在两种情况下,参与者都能够在行为层面上区分旧物品和诱饵物品。此外,当对一个类别中呈现的所有项目的erp进行平均计算时,在命中和新的未命中之间出现了显著的SME,但在命中和旧的假警报或类似的假警报之间没有。这些结果表明,项目识别来自于与随后编码的信息的相互作用,而不仅仅是项目记忆强度和检索过程之间的相互作用。
本文章由计算机程序翻译,如有差异,请以英文原文为准。

Contextual Influence on Pattern Separation During Encoding.

Contextual Influence on Pattern Separation During Encoding.

Contextual Influence on Pattern Separation During Encoding.

Contextual Influence on Pattern Separation During Encoding.

Pattern separation is considered a crucial process that allows us to distinguish among the highly similar and overlapping experiences that constitute our episodic memory. Not only do different episodes share common features, but it is often the case that they share the context in which they occurred. While there have been a great number of studies investigating pattern separation and its behavioral counterpart, a process known as mnemonic discrimination, surprisingly, research exploring the influence of context on pattern separation or mnemonic discrimination has been less common. The available evidence shows that similar items with similar contexts led to a failure in pattern separation due to high similarity that triggers overlap between events. On the other hand, others have shown that pattern separation can take place even under these conditions, allowing humans to distinguish between events with similar items and contexts, as different hippocampal subfields would play complementary roles in enabling both pattern separation and pattern completion. In the present study, we were interested in testing how stability in context influenced pattern separation. Despite the fact that pattern separation is by definition an encoding computation, the existing literature has focused on the retrieval phase. Here, we used a subsequent memory paradigm in which we manipulated the similarity of context during the encoding of visual objects selected from diverse categories. Thus, we manipulated the encoded context of each object category (four items within a category), so that some categories had the same context and others had a different context. This approach allowed us to test not only the items presented but also to include the conditions that entail the greatest demand on pattern separation. After a 20 min period, participants performed a visual mnemonic discrimination task in which they had to differentiate between old, similar, and new items by providing one of the three options for each tested item. Similarly to previous studies, we found no interaction between judgments and contexts, and participants were able to discriminate between old and lure items at the behavioral level in both conditions. Moreover, when averaging the ERPs of all the items presented within a category, a significant SME emerged between hits and new misses, but not between hits and old false alarms or similar false alarms. These results suggest that item recognition emerges from the interaction with subsequently encoded information, and not just between item memory strength and retrieval processes.

求助全文
通过发布文献求助,成功后即可免费获取论文全文。 去求助
来源期刊
自引率
0.00%
发文量
0
审稿时长
11 weeks
×
引用
GB/T 7714-2015
复制
MLA
复制
APA
复制
导出至
BibTeX EndNote RefMan NoteFirst NoteExpress
×
提示
您的信息不完整,为了账户安全,请先补充。
现在去补充
×
提示
您因"违规操作"
具体请查看互助需知
我知道了
×
提示
确定
请完成安全验证×
copy
已复制链接
快去分享给好友吧!
我知道了
右上角分享
点击右上角分享
0
联系我们:info@booksci.cn Book学术提供免费学术资源搜索服务,方便国内外学者检索中英文文献。致力于提供最便捷和优质的服务体验。 Copyright © 2023 布克学术 All rights reserved.
京ICP备2023020795号-1
ghs 京公网安备 11010802042870号
Book学术文献互助
Book学术文献互助群
群 号:604180095
Book学术官方微信