预测心血管健康的肾功能尿液生物标志物:系统回顾

IF 5.1 2区 医学 Q1 PERIPHERAL VASCULAR DISEASE
A Degenaar, R Kruger, A Jacobs, C M C Mels
{"title":"预测心血管健康的肾功能尿液生物标志物:系统回顾","authors":"A Degenaar, R Kruger, A Jacobs, C M C Mels","doi":"10.1007/s11906-025-01328-5","DOIUrl":null,"url":null,"abstract":"<p><strong>Purpose of review: </strong>The growing burden of cardiovascular diseases has become a significant concern in both adult and youth populations. Urinary biomarkers of kidney function could provide useful insights that may aid in the early identification of individuals at higher risk of adverse cardiovascular outcomes. This systematic review aimed to assess associations between urinary biomarkers of kidney function and different measures of cardiovascular health.</p><p><strong>Recent findings: </strong>PubMed, Scopus, and EBSCOhost were searched for articles published between January 2018 and December 2023. Studies exploring associations between urinary kidney biomarkers (alpha-1 microglobulin (uA1M), neutrophil gelatinase-associated lipocalin (uNGAL), uromodulin (uUMOD) and CKD273 classifier) and measures of cardiovascular health (blood pressure and markers of target organ damage) were included. We identified 1186 articles, with 22 studies eligible for inclusion. Among 12 studies reporting associations between uA1M and measures of cardiovascular health, six studies indicated positive associations with office blood pressure and three studies observed associations with different markers of target organ damage. Out of the nine studies that explored the link between uUMOD and cardiovascular health parameters, four found negative associations between uUMOD and blood pressure. With regard to uNGAL, only two out of the seven studies analysed reported varying associations with blood pressure, while neither of the two studies focusing on CKD273 observed any statistically significant results. Biomarkers of kidney tubule function, represented by uA1M and uUMOD, are relevant in the setting of cardiovascular health and should be assessed for utilisation in clinical practice to identify adverse cardiovascular outcomes at an early stage allowing for timely intervention.</p>","PeriodicalId":10963,"journal":{"name":"Current Hypertension Reports","volume":"27 1","pages":"11"},"PeriodicalIF":5.1000,"publicationDate":"2025-02-21","publicationTypes":"Journal Article","fieldsOfStudy":null,"isOpenAccess":false,"openAccessPdf":"https://www.ncbi.nlm.nih.gov/pmc/articles/PMC11845436/pdf/","citationCount":"0","resultStr":"{\"title\":\"Urinary Biomarkers Of Kidney Function As Predictors Of Cardiovascular Health: A Systematic Review.\",\"authors\":\"A Degenaar, R Kruger, A Jacobs, C M C Mels\",\"doi\":\"10.1007/s11906-025-01328-5\",\"DOIUrl\":null,\"url\":null,\"abstract\":\"<p><strong>Purpose of review: </strong>The growing burden of cardiovascular diseases has become a significant concern in both adult and youth populations. Urinary biomarkers of kidney function could provide useful insights that may aid in the early identification of individuals at higher risk of adverse cardiovascular outcomes. This systematic review aimed to assess associations between urinary biomarkers of kidney function and different measures of cardiovascular health.</p><p><strong>Recent findings: </strong>PubMed, Scopus, and EBSCOhost were searched for articles published between January 2018 and December 2023. Studies exploring associations between urinary kidney biomarkers (alpha-1 microglobulin (uA1M), neutrophil gelatinase-associated lipocalin (uNGAL), uromodulin (uUMOD) and CKD273 classifier) and measures of cardiovascular health (blood pressure and markers of target organ damage) were included. We identified 1186 articles, with 22 studies eligible for inclusion. Among 12 studies reporting associations between uA1M and measures of cardiovascular health, six studies indicated positive associations with office blood pressure and three studies observed associations with different markers of target organ damage. Out of the nine studies that explored the link between uUMOD and cardiovascular health parameters, four found negative associations between uUMOD and blood pressure. With regard to uNGAL, only two out of the seven studies analysed reported varying associations with blood pressure, while neither of the two studies focusing on CKD273 observed any statistically significant results. Biomarkers of kidney tubule function, represented by uA1M and uUMOD, are relevant in the setting of cardiovascular health and should be assessed for utilisation in clinical practice to identify adverse cardiovascular outcomes at an early stage allowing for timely intervention.</p>\",\"PeriodicalId\":10963,\"journal\":{\"name\":\"Current Hypertension Reports\",\"volume\":\"27 1\",\"pages\":\"11\"},\"PeriodicalIF\":5.1000,\"publicationDate\":\"2025-02-21\",\"publicationTypes\":\"Journal Article\",\"fieldsOfStudy\":null,\"isOpenAccess\":false,\"openAccessPdf\":\"https://www.ncbi.nlm.nih.gov/pmc/articles/PMC11845436/pdf/\",\"citationCount\":\"0\",\"resultStr\":null,\"platform\":\"Semanticscholar\",\"paperid\":null,\"PeriodicalName\":\"Current Hypertension Reports\",\"FirstCategoryId\":\"3\",\"ListUrlMain\":\"https://doi.org/10.1007/s11906-025-01328-5\",\"RegionNum\":2,\"RegionCategory\":\"医学\",\"ArticlePicture\":[],\"TitleCN\":null,\"AbstractTextCN\":null,\"PMCID\":null,\"EPubDate\":\"\",\"PubModel\":\"\",\"JCR\":\"Q1\",\"JCRName\":\"PERIPHERAL VASCULAR DISEASE\",\"Score\":null,\"Total\":0}","platform":"Semanticscholar","paperid":null,"PeriodicalName":"Current Hypertension Reports","FirstCategoryId":"3","ListUrlMain":"https://doi.org/10.1007/s11906-025-01328-5","RegionNum":2,"RegionCategory":"医学","ArticlePicture":[],"TitleCN":null,"AbstractTextCN":null,"PMCID":null,"EPubDate":"","PubModel":"","JCR":"Q1","JCRName":"PERIPHERAL VASCULAR DISEASE","Score":null,"Total":0}
引用次数: 0

摘要

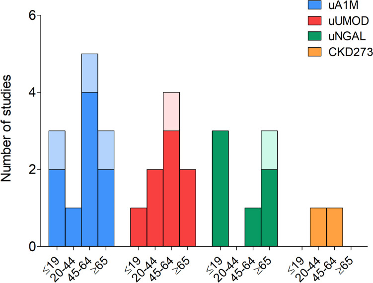
审查目的:心血管疾病的负担日益加重,已成为成人和青少年群体的一个重大问题。尿液肾功能生物标志物可提供有用的见解,有助于早期识别心血管不良后果风险较高的人群。本系统综述旨在评估尿液肾功能生物标志物与心血管健康不同指标之间的关联:在PubMed、Scopus和EBSCOhost上检索了2018年1月至2023年12月期间发表的文章。纳入了探讨尿液肾脏生物标志物(α-1微球蛋白(uA1M)、中性粒细胞明胶酶相关脂褐素(uNGAL)、尿调蛋白(uUMOD)和CKD273分类器)与心血管健康指标(血压和靶器官损伤标志物)之间关系的研究。我们确定了 1186 篇文章,其中 22 项研究符合纳入条件。在 12 项报告 uA1M 与心血管健康指标之间关系的研究中,有 6 项研究表明与办公室血压存在正相关关系,有 3 项研究观察到与不同的靶器官损伤标志物存在相关关系。九项研究探讨了uUMOD与心血管健康参数之间的联系,其中四项研究发现uUMOD与血压之间存在负相关。至于uNGAL,所分析的七项研究中只有两项报告了与血压的不同关联,而两项以CKD273 为重点的研究均未观察到任何具有统计学意义的结果。以 uA1M 和 uUMOD 为代表的肾小管功能生物标志物与心血管健康相关,应在临床实践中加以评估利用,以便及早发现心血管不良后果,及时进行干预。
本文章由计算机程序翻译,如有差异,请以英文原文为准。

Urinary Biomarkers Of Kidney Function As Predictors Of Cardiovascular Health: A Systematic Review.

Urinary Biomarkers Of Kidney Function As Predictors Of Cardiovascular Health: A Systematic Review.

Urinary Biomarkers Of Kidney Function As Predictors Of Cardiovascular Health: A Systematic Review.

Urinary Biomarkers Of Kidney Function As Predictors Of Cardiovascular Health: A Systematic Review.

Purpose of review: The growing burden of cardiovascular diseases has become a significant concern in both adult and youth populations. Urinary biomarkers of kidney function could provide useful insights that may aid in the early identification of individuals at higher risk of adverse cardiovascular outcomes. This systematic review aimed to assess associations between urinary biomarkers of kidney function and different measures of cardiovascular health.

Recent findings: PubMed, Scopus, and EBSCOhost were searched for articles published between January 2018 and December 2023. Studies exploring associations between urinary kidney biomarkers (alpha-1 microglobulin (uA1M), neutrophil gelatinase-associated lipocalin (uNGAL), uromodulin (uUMOD) and CKD273 classifier) and measures of cardiovascular health (blood pressure and markers of target organ damage) were included. We identified 1186 articles, with 22 studies eligible for inclusion. Among 12 studies reporting associations between uA1M and measures of cardiovascular health, six studies indicated positive associations with office blood pressure and three studies observed associations with different markers of target organ damage. Out of the nine studies that explored the link between uUMOD and cardiovascular health parameters, four found negative associations between uUMOD and blood pressure. With regard to uNGAL, only two out of the seven studies analysed reported varying associations with blood pressure, while neither of the two studies focusing on CKD273 observed any statistically significant results. Biomarkers of kidney tubule function, represented by uA1M and uUMOD, are relevant in the setting of cardiovascular health and should be assessed for utilisation in clinical practice to identify adverse cardiovascular outcomes at an early stage allowing for timely intervention.

求助全文
通过发布文献求助,成功后即可免费获取论文全文。 去求助
来源期刊
Current Hypertension Reports
Current Hypertension Reports 医学-外周血管病
CiteScore
10.50
自引率
0.00%
发文量
65
审稿时长
6-12 weeks
期刊介绍: This journal intends to provide clear, insightful, balanced contributions by international experts that review the most important, recently published clinical findings related to the diagnosis, treatment, management, and prevention of hypertension. We accomplish this aim by appointing international authorities to serve as Section Editors in key subject areas, such as antihypertensive therapies, associated metabolic disorders, and therapeutic trials. Section Editors, in turn, select topics for which leading experts contribute comprehensive review articles that emphasize new developments and recently published papers of major importance, highlighted by annotated reference lists. An international Editorial Board reviews the annual table of contents, suggests articles of special interest to their country/region, and ensures that topics are current and include emerging research. Commentaries from well-known figures in the field are also provided.
×
引用
GB/T 7714-2015
复制
MLA
复制
APA
复制
导出至
BibTeX EndNote RefMan NoteFirst NoteExpress
×
提示
您的信息不完整,为了账户安全,请先补充。
现在去补充
×
提示
您因"违规操作"
具体请查看互助需知
我知道了
×
提示
确定
请完成安全验证×
copy
已复制链接
快去分享给好友吧!
我知道了
右上角分享
点击右上角分享
0
联系我们:info@booksci.cn Book学术提供免费学术资源搜索服务,方便国内外学者检索中英文文献。致力于提供最便捷和优质的服务体验。 Copyright © 2023 布克学术 All rights reserved.
京ICP备2023020795号-1
ghs 京公网安备 11010802042870号
Book学术文献互助
Book学术文献互助群
群 号:604180095
Book学术官方微信