出租车司机和对照组尿液中OH-PAHs水平和氧化应激标志物。

Environmental analysis, health and toxicology Pub Date : 2024-12-01 Epub Date: 2024-11-18 DOI:10.5620/eaht.2024027
Na-Youn Park, Geurim Song, Kyungmu Lee, Younglim Kho
{"title":"出租车司机和对照组尿液中OH-PAHs水平和氧化应激标志物。","authors":"Na-Youn Park, Geurim Song, Kyungmu Lee, Younglim Kho","doi":"10.5620/eaht.2024027","DOIUrl":null,"url":null,"abstract":"<p><p>Polycyclic aromatic hydrocarbons are pervasive in the atmosphere, originating from sources like vehicle emissions and incomplete combustion. Exposure to PAHs occurs through diet, tobacco smoke, and air pollutants, and they are recognized as carcinogens. This study, conducted from July to October 2021 in Seoul, Gyeonggi, and Ulsan regions, focused on taxi drivers, a group with elevated PAH exposure due to prolonged vehicle use. The study involved 19 male taxi drivers and 46 control participants (18 male, 28 female). LC-MS/MS analysis was employed to quantify urinary levels of 18 hydroxy-PAHs, oxidative damage markers (MDA, 8-OHdG), and cotinine. The detection rates of OH-PAHs were 1-naphthol (96.9 %), 2-naphthol (90.8 %), 2-hydroxyfluorene (86.2 %), and 1-hydroxypyrene (80.0 %). Compared to the male controls, taxi drivers showed higher median concentrations of 2-OH-Na (1.698 ng/mL), 1-OH-Na (0.666 ng/mL), 2-OH-Flu (0.067 ng/mL), and 1-OHP (0.045 ng/mL). Similarly, significant differences were observed between taxi drivers and female controls for 1-OH-Na, 2-OH-Na, 2-OH-Flu, 3-OH-Phe, and 1-OHP. MDA and 8-OHdG were detected in over 90% of all groups, with significant differences between taxi drivers. Strong positive correlations were revealed between urinary OH-PAHs, MDA, and 8-OHdG (r ranging from 0.589 to 0.770, p<0.01). The findings suggest that taxi drivers, due to prolonged exposure to traffic-related air pollutants, have elevated levels of PAH metabolites and oxidative stress, especially among smokers. Further studies with larger sample sizes are recommended to validate these results and explore the long-term health implications of occupational PAH exposure in urban transportation workers..</p>","PeriodicalId":101307,"journal":{"name":"Environmental analysis, health and toxicology","volume":"39 4","pages":"e2024027-0"},"PeriodicalIF":0.0000,"publicationDate":"2024-12-01","publicationTypes":"Journal Article","fieldsOfStudy":null,"isOpenAccess":false,"openAccessPdf":"https://www.ncbi.nlm.nih.gov/pmc/articles/PMC11852292/pdf/","citationCount":"0","resultStr":"{\"title\":\"Levels of OH-PAHs and markers of oxidative stress in urine of taxi drivers and controls.\",\"authors\":\"Na-Youn Park, Geurim Song, Kyungmu Lee, Younglim Kho\",\"doi\":\"10.5620/eaht.2024027\",\"DOIUrl\":null,\"url\":null,\"abstract\":\"<p><p>Polycyclic aromatic hydrocarbons are pervasive in the atmosphere, originating from sources like vehicle emissions and incomplete combustion. Exposure to PAHs occurs through diet, tobacco smoke, and air pollutants, and they are recognized as carcinogens. This study, conducted from July to October 2021 in Seoul, Gyeonggi, and Ulsan regions, focused on taxi drivers, a group with elevated PAH exposure due to prolonged vehicle use. The study involved 19 male taxi drivers and 46 control participants (18 male, 28 female). LC-MS/MS analysis was employed to quantify urinary levels of 18 hydroxy-PAHs, oxidative damage markers (MDA, 8-OHdG), and cotinine. The detection rates of OH-PAHs were 1-naphthol (96.9 %), 2-naphthol (90.8 %), 2-hydroxyfluorene (86.2 %), and 1-hydroxypyrene (80.0 %). Compared to the male controls, taxi drivers showed higher median concentrations of 2-OH-Na (1.698 ng/mL), 1-OH-Na (0.666 ng/mL), 2-OH-Flu (0.067 ng/mL), and 1-OHP (0.045 ng/mL). Similarly, significant differences were observed between taxi drivers and female controls for 1-OH-Na, 2-OH-Na, 2-OH-Flu, 3-OH-Phe, and 1-OHP. MDA and 8-OHdG were detected in over 90% of all groups, with significant differences between taxi drivers. Strong positive correlations were revealed between urinary OH-PAHs, MDA, and 8-OHdG (r ranging from 0.589 to 0.770, p<0.01). The findings suggest that taxi drivers, due to prolonged exposure to traffic-related air pollutants, have elevated levels of PAH metabolites and oxidative stress, especially among smokers. Further studies with larger sample sizes are recommended to validate these results and explore the long-term health implications of occupational PAH exposure in urban transportation workers..</p>\",\"PeriodicalId\":101307,\"journal\":{\"name\":\"Environmental analysis, health and toxicology\",\"volume\":\"39 4\",\"pages\":\"e2024027-0\"},\"PeriodicalIF\":0.0000,\"publicationDate\":\"2024-12-01\",\"publicationTypes\":\"Journal Article\",\"fieldsOfStudy\":null,\"isOpenAccess\":false,\"openAccessPdf\":\"https://www.ncbi.nlm.nih.gov/pmc/articles/PMC11852292/pdf/\",\"citationCount\":\"0\",\"resultStr\":null,\"platform\":\"Semanticscholar\",\"paperid\":null,\"PeriodicalName\":\"Environmental analysis, health and toxicology\",\"FirstCategoryId\":\"1085\",\"ListUrlMain\":\"https://doi.org/10.5620/eaht.2024027\",\"RegionNum\":0,\"RegionCategory\":null,\"ArticlePicture\":[],\"TitleCN\":null,\"AbstractTextCN\":null,\"PMCID\":null,\"EPubDate\":\"2024/11/18 0:00:00\",\"PubModel\":\"Epub\",\"JCR\":\"\",\"JCRName\":\"\",\"Score\":null,\"Total\":0}","platform":"Semanticscholar","paperid":null,"PeriodicalName":"Environmental analysis, health and toxicology","FirstCategoryId":"1085","ListUrlMain":"https://doi.org/10.5620/eaht.2024027","RegionNum":0,"RegionCategory":null,"ArticlePicture":[],"TitleCN":null,"AbstractTextCN":null,"PMCID":null,"EPubDate":"2024/11/18 0:00:00","PubModel":"Epub","JCR":"","JCRName":"","Score":null,"Total":0}
引用次数: 0

摘要

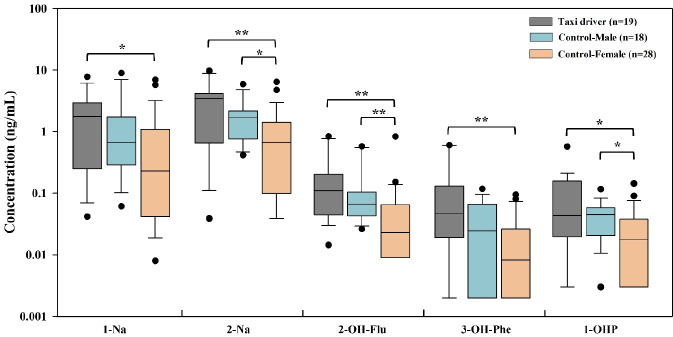
多环芳烃在大气中普遍存在,源自车辆排放和不完全燃烧等来源。多环芳烃是通过饮食、烟草烟雾和空气污染物暴露的,它们被认为是致癌物。这项研究于2021年7月至10月在首尔、京畿和蔚山地区进行,主要针对出租车司机,这是一个由于长时间使用车辆而暴露于多环芳烃的群体。该研究涉及19名男性出租车司机和46名对照参与者(18名男性,28名女性)。采用LC-MS/MS分析定量尿液中18羟基多环芳烃、氧化损伤标志物(MDA、8-OHdG)和可替宁的水平。OH-PAHs的检出率分别为1-萘酚(96.9%)、2-萘酚(90.8%)、2-羟基芴(86.2%)和1-羟基芘(80.0%)。与男性对照组相比,出租车司机的2-OH-Na (1.698 ng/mL)、1-OH-Na (0.666 ng/mL)、2-OH-Flu (0.067 ng/mL)和1-OHP (0.045 ng/mL)的中位数浓度更高。同样,出租车司机和女性对照组在1-OH-Na、2-OH-Na、2-OH-Flu、3-OH-Phe和1-OHP方面也存在显著差异。MDA和8-OHdG在90%以上的人群中检测到,出租车司机之间存在显著差异。尿中OH-PAHs、MDA和8-OHdG呈显著正相关(r范围为0.589 ~ 0.770,p
本文章由计算机程序翻译,如有差异,请以英文原文为准。

Levels of OH-PAHs and markers of oxidative stress in urine of taxi drivers and controls.

Levels of OH-PAHs and markers of oxidative stress in urine of taxi drivers and controls.

Levels of OH-PAHs and markers of oxidative stress in urine of taxi drivers and controls.

Levels of OH-PAHs and markers of oxidative stress in urine of taxi drivers and controls.

Polycyclic aromatic hydrocarbons are pervasive in the atmosphere, originating from sources like vehicle emissions and incomplete combustion. Exposure to PAHs occurs through diet, tobacco smoke, and air pollutants, and they are recognized as carcinogens. This study, conducted from July to October 2021 in Seoul, Gyeonggi, and Ulsan regions, focused on taxi drivers, a group with elevated PAH exposure due to prolonged vehicle use. The study involved 19 male taxi drivers and 46 control participants (18 male, 28 female). LC-MS/MS analysis was employed to quantify urinary levels of 18 hydroxy-PAHs, oxidative damage markers (MDA, 8-OHdG), and cotinine. The detection rates of OH-PAHs were 1-naphthol (96.9 %), 2-naphthol (90.8 %), 2-hydroxyfluorene (86.2 %), and 1-hydroxypyrene (80.0 %). Compared to the male controls, taxi drivers showed higher median concentrations of 2-OH-Na (1.698 ng/mL), 1-OH-Na (0.666 ng/mL), 2-OH-Flu (0.067 ng/mL), and 1-OHP (0.045 ng/mL). Similarly, significant differences were observed between taxi drivers and female controls for 1-OH-Na, 2-OH-Na, 2-OH-Flu, 3-OH-Phe, and 1-OHP. MDA and 8-OHdG were detected in over 90% of all groups, with significant differences between taxi drivers. Strong positive correlations were revealed between urinary OH-PAHs, MDA, and 8-OHdG (r ranging from 0.589 to 0.770, p<0.01). The findings suggest that taxi drivers, due to prolonged exposure to traffic-related air pollutants, have elevated levels of PAH metabolites and oxidative stress, especially among smokers. Further studies with larger sample sizes are recommended to validate these results and explore the long-term health implications of occupational PAH exposure in urban transportation workers..

求助全文
通过发布文献求助,成功后即可免费获取论文全文。 去求助
来源期刊
CiteScore
3.80
自引率
0.00%
发文量
0
×
引用
GB/T 7714-2015
复制
MLA
复制
APA
复制
导出至
BibTeX EndNote RefMan NoteFirst NoteExpress
×
提示
您的信息不完整,为了账户安全,请先补充。
现在去补充
×
提示
您因"违规操作"
具体请查看互助需知
我知道了
×
提示
确定
请完成安全验证×
copy
已复制链接
快去分享给好友吧!
我知道了
右上角分享
点击右上角分享
0
联系我们:info@booksci.cn Book学术提供免费学术资源搜索服务,方便国内外学者检索中英文文献。致力于提供最便捷和优质的服务体验。 Copyright © 2023 布克学术 All rights reserved.
京ICP备2023020795号-1
ghs 京公网安备 11010802042870号
Book学术文献互助
Book学术文献互助群
群 号:604180095
Book学术官方微信