暴露于眼镜蛇毒液和纯化毒素部分后兔细胞免疫反应的评价。

Environmental analysis, health and toxicology Pub Date : 2024-12-01 Epub Date: 2024-12-24 DOI:10.5620/eaht.2024029
Sunutcha Suntrarachun, Panithi Laoungbua, Suchitra Khunsap, Jureeporn Noiporm, Rattana Suttisee
{"title":"暴露于眼镜蛇毒液和纯化毒素部分后兔细胞免疫反应的评价。","authors":"Sunutcha Suntrarachun, Panithi Laoungbua, Suchitra Khunsap, Jureeporn Noiporm, Rattana Suttisee","doi":"10.5620/eaht.2024029","DOIUrl":null,"url":null,"abstract":"<p><p>Snakebite by a cobra is considered neurotoxic as the cause of neuromuscular paralysis mediated by low molecular weight toxins, which are major toxin components of cobra. However, these toxins represent a problem in generating antibodies owing to their low immunogenicity. Developing complementary strategies to improve the antibody response could be a useful approach to creating better therapeutic antivenoms with higher neutralizing potencies. To develop simple immunization strategies for more potent antivenoms by studying the effects of combining crude cobra venom and toxin fraction in a complementary way. The evaluation of specific cell immunology and cytokine mediators for relevant immune responses will be measured in a rabbit model using four simple immunization strategies. Flow cytometry will be used to quantify the number of B and T cells, and qRT-PCR will be used to ascertain the cytokine genes expressed. B cells with anti-CD20 were seen on D14, and a booster dose was insufficient to maximize the antibodies. Conversely, anti-CD5 for T cells decreased periodically but remained stable. Using a mixture of crude cobra venom and its <10 kDa fraction, peak expression of pro-inflammatory cytokine genes was seen in D42 or D58, with a rise of 4 and 6 folds. Similarly, gene expression of pro-inflammatory cytokines was greater than that of anti-inflammatory cytokines (IL-4 and IL-10), which were up-regulated after D42. Thus, immunization with both the crude and its <10 kDa fraction of cobra venom seems to have synergistic effects that boost cytokines, activate the immune system, and cause lymphocyte differentiation.</p>","PeriodicalId":101307,"journal":{"name":"Environmental analysis, health and toxicology","volume":"39 4","pages":"e2024029-0"},"PeriodicalIF":0.0000,"publicationDate":"2024-12-01","publicationTypes":"Journal Article","fieldsOfStudy":null,"isOpenAccess":false,"openAccessPdf":"https://www.ncbi.nlm.nih.gov/pmc/articles/PMC11852295/pdf/","citationCount":"0","resultStr":"{\"title\":\"Evaluation of cellular immune response in rabbits after exposure to cobra venom and purified toxin fraction.\",\"authors\":\"Sunutcha Suntrarachun, Panithi Laoungbua, Suchitra Khunsap, Jureeporn Noiporm, Rattana Suttisee\",\"doi\":\"10.5620/eaht.2024029\",\"DOIUrl\":null,\"url\":null,\"abstract\":\"<p><p>Snakebite by a cobra is considered neurotoxic as the cause of neuromuscular paralysis mediated by low molecular weight toxins, which are major toxin components of cobra. However, these toxins represent a problem in generating antibodies owing to their low immunogenicity. Developing complementary strategies to improve the antibody response could be a useful approach to creating better therapeutic antivenoms with higher neutralizing potencies. To develop simple immunization strategies for more potent antivenoms by studying the effects of combining crude cobra venom and toxin fraction in a complementary way. The evaluation of specific cell immunology and cytokine mediators for relevant immune responses will be measured in a rabbit model using four simple immunization strategies. Flow cytometry will be used to quantify the number of B and T cells, and qRT-PCR will be used to ascertain the cytokine genes expressed. B cells with anti-CD20 were seen on D14, and a booster dose was insufficient to maximize the antibodies. Conversely, anti-CD5 for T cells decreased periodically but remained stable. Using a mixture of crude cobra venom and its <10 kDa fraction, peak expression of pro-inflammatory cytokine genes was seen in D42 or D58, with a rise of 4 and 6 folds. Similarly, gene expression of pro-inflammatory cytokines was greater than that of anti-inflammatory cytokines (IL-4 and IL-10), which were up-regulated after D42. Thus, immunization with both the crude and its <10 kDa fraction of cobra venom seems to have synergistic effects that boost cytokines, activate the immune system, and cause lymphocyte differentiation.</p>\",\"PeriodicalId\":101307,\"journal\":{\"name\":\"Environmental analysis, health and toxicology\",\"volume\":\"39 4\",\"pages\":\"e2024029-0\"},\"PeriodicalIF\":0.0000,\"publicationDate\":\"2024-12-01\",\"publicationTypes\":\"Journal Article\",\"fieldsOfStudy\":null,\"isOpenAccess\":false,\"openAccessPdf\":\"https://www.ncbi.nlm.nih.gov/pmc/articles/PMC11852295/pdf/\",\"citationCount\":\"0\",\"resultStr\":null,\"platform\":\"Semanticscholar\",\"paperid\":null,\"PeriodicalName\":\"Environmental analysis, health and toxicology\",\"FirstCategoryId\":\"1085\",\"ListUrlMain\":\"https://doi.org/10.5620/eaht.2024029\",\"RegionNum\":0,\"RegionCategory\":null,\"ArticlePicture\":[],\"TitleCN\":null,\"AbstractTextCN\":null,\"PMCID\":null,\"EPubDate\":\"2024/12/24 0:00:00\",\"PubModel\":\"Epub\",\"JCR\":\"\",\"JCRName\":\"\",\"Score\":null,\"Total\":0}","platform":"Semanticscholar","paperid":null,"PeriodicalName":"Environmental analysis, health and toxicology","FirstCategoryId":"1085","ListUrlMain":"https://doi.org/10.5620/eaht.2024029","RegionNum":0,"RegionCategory":null,"ArticlePicture":[],"TitleCN":null,"AbstractTextCN":null,"PMCID":null,"EPubDate":"2024/12/24 0:00:00","PubModel":"Epub","JCR":"","JCRName":"","Score":null,"Total":0}
引用次数: 0

摘要

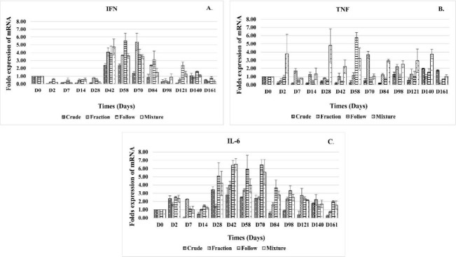
眼镜蛇咬伤被认为是神经毒性的,是由低分子量毒素介导的神经肌肉麻痹,这是眼镜蛇的主要毒素成分。然而,这些毒素由于免疫原性低,在产生抗体方面存在问题。制定补充策略以改善抗体反应可能是创造具有更高中和效力的更好的治疗性抗蛇毒血清的有用方法。通过研究眼镜蛇粗毒液与毒素组分互补的作用,制定更有效的抗蛇毒血清的简单免疫策略。评估特异性细胞免疫学和相关免疫反应的细胞因子介质将在兔模型中使用四种简单的免疫策略进行测量。流式细胞术定量B细胞和T细胞数量,qRT-PCR检测细胞因子基因表达情况。D14上可见抗cd20的B细胞,增强剂量不足以使抗体最大化。相反,T细胞的抗cd5周期性下降,但保持稳定。使用粗眼镜蛇毒液和它的混合物
本文章由计算机程序翻译,如有差异,请以英文原文为准。

Evaluation of cellular immune response in rabbits after exposure to cobra venom and purified toxin fraction.

Evaluation of cellular immune response in rabbits after exposure to cobra venom and purified toxin fraction.

Evaluation of cellular immune response in rabbits after exposure to cobra venom and purified toxin fraction.

Evaluation of cellular immune response in rabbits after exposure to cobra venom and purified toxin fraction.

Snakebite by a cobra is considered neurotoxic as the cause of neuromuscular paralysis mediated by low molecular weight toxins, which are major toxin components of cobra. However, these toxins represent a problem in generating antibodies owing to their low immunogenicity. Developing complementary strategies to improve the antibody response could be a useful approach to creating better therapeutic antivenoms with higher neutralizing potencies. To develop simple immunization strategies for more potent antivenoms by studying the effects of combining crude cobra venom and toxin fraction in a complementary way. The evaluation of specific cell immunology and cytokine mediators for relevant immune responses will be measured in a rabbit model using four simple immunization strategies. Flow cytometry will be used to quantify the number of B and T cells, and qRT-PCR will be used to ascertain the cytokine genes expressed. B cells with anti-CD20 were seen on D14, and a booster dose was insufficient to maximize the antibodies. Conversely, anti-CD5 for T cells decreased periodically but remained stable. Using a mixture of crude cobra venom and its <10 kDa fraction, peak expression of pro-inflammatory cytokine genes was seen in D42 or D58, with a rise of 4 and 6 folds. Similarly, gene expression of pro-inflammatory cytokines was greater than that of anti-inflammatory cytokines (IL-4 and IL-10), which were up-regulated after D42. Thus, immunization with both the crude and its <10 kDa fraction of cobra venom seems to have synergistic effects that boost cytokines, activate the immune system, and cause lymphocyte differentiation.

求助全文
通过发布文献求助,成功后即可免费获取论文全文。 去求助
来源期刊
CiteScore
3.80
自引率
0.00%
发文量
0
×
引用
GB/T 7714-2015
复制
MLA
复制
APA
复制
导出至
BibTeX EndNote RefMan NoteFirst NoteExpress
×
提示
您的信息不完整,为了账户安全,请先补充。
现在去补充
×
提示
您因"违规操作"
具体请查看互助需知
我知道了
×
提示
确定
请完成安全验证×
copy
已复制链接
快去分享给好友吧!
我知道了
右上角分享
点击右上角分享
0
联系我们:info@booksci.cn Book学术提供免费学术资源搜索服务,方便国内外学者检索中英文文献。致力于提供最便捷和优质的服务体验。 Copyright © 2023 布克学术 All rights reserved.
京ICP备2023020795号-1
ghs 京公网安备 11010802042870号
Book学术文献互助
Book学术文献互助群
群 号:604180095
Book学术官方微信