韩国江原道束草市陵浪湖低洼桥安装后水环境中金属的分布和风险评估。

Environmental analysis, health and toxicology Pub Date : 2024-12-01 Epub Date: 2024-11-29 DOI:10.5620/eaht.2024028
Dahae Park, Thu Thi Hoai Mai, Jaeseok Choi, Jaehoon Kim, Doupyo Hong, Hekap Kim
{"title":"韩国江原道束草市陵浪湖低洼桥安装后水环境中金属的分布和风险评估。","authors":"Dahae Park, Thu Thi Hoai Mai, Jaeseok Choi, Jaehoon Kim, Doupyo Hong, Hekap Kim","doi":"10.5620/eaht.2024028","DOIUrl":null,"url":null,"abstract":"<p><p>In November 2021, a bridge was constructed over Yeongrang Lake by placing large cement blocks on the lakebed, leading to ecological consequences. Thus, this study assessed the distribution of metals to evaluate the risk in the aquatic environment of the lake. Ten metals were monitored in water, sediment, and fish samples across four seasons. The samples were analyzed using inductively coupled plasma-optical emission spectrometry (ICP-OES) after treatment with nitric acid. During the sampling period, the distribution of metals in water followed the order of Fe > Cu > Al > Zn > Mn > Pb > Ni > Cr > Cd > V, while in sediment, it was Fe > Al > Mn > Zn > V > Pb > Cu > Cr > Ni > Cd. Cu and Cd levels exceeded the criteria and threshold effect levels set by the U.S. Environmental Protection Agency. Although no significant seasonal variations were observed, the ecological risk was considered significant. Situated near the East Sea, the lake has shown signs of salinization after the construction of the bridge. Cu, Mn, and Zn exhibited the highest bioconcentration factors in both benthic and floating fish. Nevertheless, an improved sampling strategy is necessary to verify the bioconcentration of metals in fish in future studies. The hazard index exceeded 1 in a human risk assessment related to fish consumption. However, the actual risk is anticipated to be lower, considering the fish consumption pattern. This study highlights the importance of management actions in reducing ecological risks.</p>","PeriodicalId":101307,"journal":{"name":"Environmental analysis, health and toxicology","volume":"39 4","pages":"e2024028-0"},"PeriodicalIF":0.0000,"publicationDate":"2024-12-01","publicationTypes":"Journal Article","fieldsOfStudy":null,"isOpenAccess":false,"openAccessPdf":"https://www.ncbi.nlm.nih.gov/pmc/articles/PMC11852283/pdf/","citationCount":"0","resultStr":"{\"title\":\"Distribution and risk assessment of metals in the aquatic environment following the installation of a low-lying bridge in Yeongrang Lake, Sokcho, Gangwon State, South Korea.\",\"authors\":\"Dahae Park, Thu Thi Hoai Mai, Jaeseok Choi, Jaehoon Kim, Doupyo Hong, Hekap Kim\",\"doi\":\"10.5620/eaht.2024028\",\"DOIUrl\":null,\"url\":null,\"abstract\":\"<p><p>In November 2021, a bridge was constructed over Yeongrang Lake by placing large cement blocks on the lakebed, leading to ecological consequences. Thus, this study assessed the distribution of metals to evaluate the risk in the aquatic environment of the lake. Ten metals were monitored in water, sediment, and fish samples across four seasons. The samples were analyzed using inductively coupled plasma-optical emission spectrometry (ICP-OES) after treatment with nitric acid. During the sampling period, the distribution of metals in water followed the order of Fe > Cu > Al > Zn > Mn > Pb > Ni > Cr > Cd > V, while in sediment, it was Fe > Al > Mn > Zn > V > Pb > Cu > Cr > Ni > Cd. Cu and Cd levels exceeded the criteria and threshold effect levels set by the U.S. Environmental Protection Agency. Although no significant seasonal variations were observed, the ecological risk was considered significant. Situated near the East Sea, the lake has shown signs of salinization after the construction of the bridge. Cu, Mn, and Zn exhibited the highest bioconcentration factors in both benthic and floating fish. Nevertheless, an improved sampling strategy is necessary to verify the bioconcentration of metals in fish in future studies. The hazard index exceeded 1 in a human risk assessment related to fish consumption. However, the actual risk is anticipated to be lower, considering the fish consumption pattern. This study highlights the importance of management actions in reducing ecological risks.</p>\",\"PeriodicalId\":101307,\"journal\":{\"name\":\"Environmental analysis, health and toxicology\",\"volume\":\"39 4\",\"pages\":\"e2024028-0\"},\"PeriodicalIF\":0.0000,\"publicationDate\":\"2024-12-01\",\"publicationTypes\":\"Journal Article\",\"fieldsOfStudy\":null,\"isOpenAccess\":false,\"openAccessPdf\":\"https://www.ncbi.nlm.nih.gov/pmc/articles/PMC11852283/pdf/\",\"citationCount\":\"0\",\"resultStr\":null,\"platform\":\"Semanticscholar\",\"paperid\":null,\"PeriodicalName\":\"Environmental analysis, health and toxicology\",\"FirstCategoryId\":\"1085\",\"ListUrlMain\":\"https://doi.org/10.5620/eaht.2024028\",\"RegionNum\":0,\"RegionCategory\":null,\"ArticlePicture\":[],\"TitleCN\":null,\"AbstractTextCN\":null,\"PMCID\":null,\"EPubDate\":\"2024/11/29 0:00:00\",\"PubModel\":\"Epub\",\"JCR\":\"\",\"JCRName\":\"\",\"Score\":null,\"Total\":0}","platform":"Semanticscholar","paperid":null,"PeriodicalName":"Environmental analysis, health and toxicology","FirstCategoryId":"1085","ListUrlMain":"https://doi.org/10.5620/eaht.2024028","RegionNum":0,"RegionCategory":null,"ArticlePicture":[],"TitleCN":null,"AbstractTextCN":null,"PMCID":null,"EPubDate":"2024/11/29 0:00:00","PubModel":"Epub","JCR":"","JCRName":"","Score":null,"Total":0}
引用次数: 0

摘要

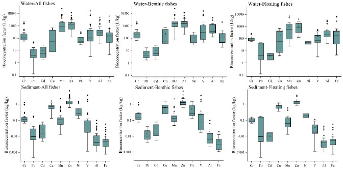
2021年11月,在永浪湖上架设了大型水泥砌块,导致了生态问题。因此,本研究通过评估金属在湖泊水环境中的分布来评估其风险。研究人员在四个季节对水、沉积物和鱼类样本中的10种金属进行了监测。样品经硝酸处理后,采用电感耦合等离子体发射光谱法(ICP-OES)进行分析。采样期间,水体中金属元素的分布顺序为Fe > Cu > Al > Zn > Mn > Pb > Ni > Cr > Cd > V,沉积物中金属元素的分布顺序为Fe > Al > Mn > Zn > V > Pb > Cu > Cr > Ni > Cd, Cu和Cd含量均超过了美国环境保护署设定的标准和阈值效应水平。虽然没有观察到明显的季节变化,但生态风险增加。位于东海附近的湖在大桥建成后出现了盐碱化的迹象。Cu、Mn和Zn在底栖鱼和浮鱼中均表现出最高的生物富集因子。然而,在未来的研究中,需要改进采样策略来验证鱼体内金属的生物浓度。在一项与食用鱼类有关的人类风险评估中,危害指数超过1。然而,考虑到鱼类的消费模式,预计实际风险会更低。这项研究强调了管理行动在减少生态风险方面的重要性。
本文章由计算机程序翻译,如有差异,请以英文原文为准。

Distribution and risk assessment of metals in the aquatic environment following the installation of a low-lying bridge in Yeongrang Lake, Sokcho, Gangwon State, South Korea.

Distribution and risk assessment of metals in the aquatic environment following the installation of a low-lying bridge in Yeongrang Lake, Sokcho, Gangwon State, South Korea.

Distribution and risk assessment of metals in the aquatic environment following the installation of a low-lying bridge in Yeongrang Lake, Sokcho, Gangwon State, South Korea.

Distribution and risk assessment of metals in the aquatic environment following the installation of a low-lying bridge in Yeongrang Lake, Sokcho, Gangwon State, South Korea.

In November 2021, a bridge was constructed over Yeongrang Lake by placing large cement blocks on the lakebed, leading to ecological consequences. Thus, this study assessed the distribution of metals to evaluate the risk in the aquatic environment of the lake. Ten metals were monitored in water, sediment, and fish samples across four seasons. The samples were analyzed using inductively coupled plasma-optical emission spectrometry (ICP-OES) after treatment with nitric acid. During the sampling period, the distribution of metals in water followed the order of Fe > Cu > Al > Zn > Mn > Pb > Ni > Cr > Cd > V, while in sediment, it was Fe > Al > Mn > Zn > V > Pb > Cu > Cr > Ni > Cd. Cu and Cd levels exceeded the criteria and threshold effect levels set by the U.S. Environmental Protection Agency. Although no significant seasonal variations were observed, the ecological risk was considered significant. Situated near the East Sea, the lake has shown signs of salinization after the construction of the bridge. Cu, Mn, and Zn exhibited the highest bioconcentration factors in both benthic and floating fish. Nevertheless, an improved sampling strategy is necessary to verify the bioconcentration of metals in fish in future studies. The hazard index exceeded 1 in a human risk assessment related to fish consumption. However, the actual risk is anticipated to be lower, considering the fish consumption pattern. This study highlights the importance of management actions in reducing ecological risks.

求助全文
通过发布文献求助,成功后即可免费获取论文全文。 去求助
来源期刊
CiteScore
3.80
自引率
0.00%
发文量
0
×
引用
GB/T 7714-2015
复制
MLA
复制
APA
复制
导出至
BibTeX EndNote RefMan NoteFirst NoteExpress
×
提示
您的信息不完整,为了账户安全,请先补充。
现在去补充
×
提示
您因"违规操作"
具体请查看互助需知
我知道了
×
提示
确定
请完成安全验证×
copy
已复制链接
快去分享给好友吧!
我知道了
右上角分享
点击右上角分享
0
联系我们:info@booksci.cn Book学术提供免费学术资源搜索服务,方便国内外学者检索中英文文献。致力于提供最便捷和优质的服务体验。 Copyright © 2023 布克学术 All rights reserved.
京ICP备2023020795号-1
ghs 京公网安备 11010802042870号
Book学术文献互助
Book学术文献互助群
群 号:604180095
Book学术官方微信