成年雄性白化大鼠单独或伴随低剂量和高剂量硼酸与枣糖蜜的比较神经研究。

Environmental analysis, health and toxicology Pub Date : 2024-12-01 Epub Date: 2024-11-08 DOI:10.5620/eaht.2024026
Mohamed M Rezk
{"title":"成年雄性白化大鼠单独或伴随低剂量和高剂量硼酸与枣糖蜜的比较神经研究。","authors":"Mohamed M Rezk","doi":"10.5620/eaht.2024026","DOIUrl":null,"url":null,"abstract":"<p><p>Boric acid (BA) is a weak acid and the simplest compound resulting from the dissolution of boron in water. There is great competition to determine whether boron is an essential or nonessential nutrient. Date molasses is a potent type of sweetener with valuable components, such as flavonoids and phenolics, and has significant health benefits. This study investigated the neuro-essentiality and neurotoxicity of boric acid boron in adult male albino rat cortex and cerebellum brain areas and the impact of date molasses treatment. Animals were grouped into the following groups: control, low and high boric acid doses, 10 and 500 mg/kg, respectively, with or without 250 mg/kg date molasses. The results revealed the ability of BAs to cross the blood-brain barrier and accumulate in the cerebellum and cortex, revealing the ability of date molasses to decrease BA accumulation at different time intervals. Additionally, the results varied between a nonsignificant increase or decrease in calcium ion content, monoamines (norepinephrine, dopamine, and serotonin), glucose, adenosine triphosphate, malondialdehyde and glutathione, depending on the BA dose. Moreover, date molasses mitigated any unwanted BA results. In conclusion, boric acid, which is within a permissible limit, could be essential and have a neuroprotective effect, whereas at a sublethal level, it could have a neurotoxic effect. Additionally, Date molasses can have neuroprotective effects and antagonize the neurotoxic effects of boric acid through its antioxidant and scavenging effects.</p>","PeriodicalId":101307,"journal":{"name":"Environmental analysis, health and toxicology","volume":"39 4","pages":"e2024026-0"},"PeriodicalIF":0.0000,"publicationDate":"2024-12-01","publicationTypes":"Journal Article","fieldsOfStudy":null,"isOpenAccess":false,"openAccessPdf":"https://www.ncbi.nlm.nih.gov/pmc/articles/PMC11852289/pdf/","citationCount":"0","resultStr":"{\"title\":\"A comparative neuro-study of solo or accompanied low and high boric acid doses with date molasses in adult male albino rats.\",\"authors\":\"Mohamed M Rezk\",\"doi\":\"10.5620/eaht.2024026\",\"DOIUrl\":null,\"url\":null,\"abstract\":\"<p><p>Boric acid (BA) is a weak acid and the simplest compound resulting from the dissolution of boron in water. There is great competition to determine whether boron is an essential or nonessential nutrient. Date molasses is a potent type of sweetener with valuable components, such as flavonoids and phenolics, and has significant health benefits. This study investigated the neuro-essentiality and neurotoxicity of boric acid boron in adult male albino rat cortex and cerebellum brain areas and the impact of date molasses treatment. Animals were grouped into the following groups: control, low and high boric acid doses, 10 and 500 mg/kg, respectively, with or without 250 mg/kg date molasses. The results revealed the ability of BAs to cross the blood-brain barrier and accumulate in the cerebellum and cortex, revealing the ability of date molasses to decrease BA accumulation at different time intervals. Additionally, the results varied between a nonsignificant increase or decrease in calcium ion content, monoamines (norepinephrine, dopamine, and serotonin), glucose, adenosine triphosphate, malondialdehyde and glutathione, depending on the BA dose. Moreover, date molasses mitigated any unwanted BA results. In conclusion, boric acid, which is within a permissible limit, could be essential and have a neuroprotective effect, whereas at a sublethal level, it could have a neurotoxic effect. Additionally, Date molasses can have neuroprotective effects and antagonize the neurotoxic effects of boric acid through its antioxidant and scavenging effects.</p>\",\"PeriodicalId\":101307,\"journal\":{\"name\":\"Environmental analysis, health and toxicology\",\"volume\":\"39 4\",\"pages\":\"e2024026-0\"},\"PeriodicalIF\":0.0000,\"publicationDate\":\"2024-12-01\",\"publicationTypes\":\"Journal Article\",\"fieldsOfStudy\":null,\"isOpenAccess\":false,\"openAccessPdf\":\"https://www.ncbi.nlm.nih.gov/pmc/articles/PMC11852289/pdf/\",\"citationCount\":\"0\",\"resultStr\":null,\"platform\":\"Semanticscholar\",\"paperid\":null,\"PeriodicalName\":\"Environmental analysis, health and toxicology\",\"FirstCategoryId\":\"1085\",\"ListUrlMain\":\"https://doi.org/10.5620/eaht.2024026\",\"RegionNum\":0,\"RegionCategory\":null,\"ArticlePicture\":[],\"TitleCN\":null,\"AbstractTextCN\":null,\"PMCID\":null,\"EPubDate\":\"2024/11/8 0:00:00\",\"PubModel\":\"Epub\",\"JCR\":\"\",\"JCRName\":\"\",\"Score\":null,\"Total\":0}","platform":"Semanticscholar","paperid":null,"PeriodicalName":"Environmental analysis, health and toxicology","FirstCategoryId":"1085","ListUrlMain":"https://doi.org/10.5620/eaht.2024026","RegionNum":0,"RegionCategory":null,"ArticlePicture":[],"TitleCN":null,"AbstractTextCN":null,"PMCID":null,"EPubDate":"2024/11/8 0:00:00","PubModel":"Epub","JCR":"","JCRName":"","Score":null,"Total":0}
引用次数: 0

摘要

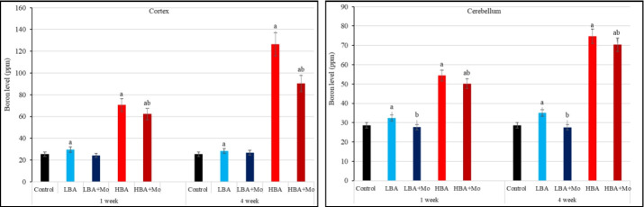
硼酸(BA)是一种弱酸,是硼溶于水后生成的最简单的化合物。在确定硼是必需营养素还是非必需营养素的问题上,存在着激烈的竞争。枣糖蜜是一种有效的甜味剂,含有有价值的成分,如类黄酮和酚类物质,对健康有很大的好处。本研究探讨了硼酸硼对成年雄性白化大鼠皮层和小脑区的神经必要性和神经毒性,以及枣糖蜜处理的影响。动物被分为以下组:对照组、低剂量组和高剂量组,硼酸剂量分别为10和500 mg/kg,添加或不添加250 mg/kg的枣糖蜜。结果显示,BA能够穿过血脑屏障,在小脑和皮层积累,揭示了枣糖蜜在不同时间间隔降低BA积累的能力。此外,根据BA剂量的不同,钙离子含量、单胺(去甲肾上腺素、多巴胺和血清素)、葡萄糖、三磷酸腺苷、丙二醛和谷胱甘肽的增加或减少也不显著。此外,枣糖蜜减轻了任何不必要的BA结果。总之,在允许范围内的硼酸可能是必需的,具有神经保护作用,而在亚致死水平下,可能具有神经毒性作用。此外,枣糖蜜具有神经保护作用,并通过其抗氧化和清除作用拮抗硼酸的神经毒性作用。
本文章由计算机程序翻译,如有差异,请以英文原文为准。

A comparative neuro-study of solo or accompanied low and high boric acid doses with date molasses in adult male albino rats.

A comparative neuro-study of solo or accompanied low and high boric acid doses with date molasses in adult male albino rats.

A comparative neuro-study of solo or accompanied low and high boric acid doses with date molasses in adult male albino rats.

A comparative neuro-study of solo or accompanied low and high boric acid doses with date molasses in adult male albino rats.

Boric acid (BA) is a weak acid and the simplest compound resulting from the dissolution of boron in water. There is great competition to determine whether boron is an essential or nonessential nutrient. Date molasses is a potent type of sweetener with valuable components, such as flavonoids and phenolics, and has significant health benefits. This study investigated the neuro-essentiality and neurotoxicity of boric acid boron in adult male albino rat cortex and cerebellum brain areas and the impact of date molasses treatment. Animals were grouped into the following groups: control, low and high boric acid doses, 10 and 500 mg/kg, respectively, with or without 250 mg/kg date molasses. The results revealed the ability of BAs to cross the blood-brain barrier and accumulate in the cerebellum and cortex, revealing the ability of date molasses to decrease BA accumulation at different time intervals. Additionally, the results varied between a nonsignificant increase or decrease in calcium ion content, monoamines (norepinephrine, dopamine, and serotonin), glucose, adenosine triphosphate, malondialdehyde and glutathione, depending on the BA dose. Moreover, date molasses mitigated any unwanted BA results. In conclusion, boric acid, which is within a permissible limit, could be essential and have a neuroprotective effect, whereas at a sublethal level, it could have a neurotoxic effect. Additionally, Date molasses can have neuroprotective effects and antagonize the neurotoxic effects of boric acid through its antioxidant and scavenging effects.

求助全文
通过发布文献求助,成功后即可免费获取论文全文。 去求助
来源期刊
CiteScore
3.80
自引率
0.00%
发文量
0
×
引用
GB/T 7714-2015
复制
MLA
复制
APA
复制
导出至
BibTeX EndNote RefMan NoteFirst NoteExpress
×
提示
您的信息不完整,为了账户安全,请先补充。
现在去补充
×
提示
您因"违规操作"
具体请查看互助需知
我知道了
×
提示
确定
请完成安全验证×
copy
已复制链接
快去分享给好友吧!
我知道了
右上角分享
点击右上角分享
0
联系我们:info@booksci.cn Book学术提供免费学术资源搜索服务,方便国内外学者检索中英文文献。致力于提供最便捷和优质的服务体验。 Copyright © 2023 布克学术 All rights reserved.
京ICP备2023020795号-1
ghs 京公网安备 11010802042870号
Book学术文献互助
Book学术文献互助群
群 号:604180095
Book学术官方微信