静脉注射阿巴接受治疗多关节病程青少年特发性关节炎的安全性和有效性:一项全病例上市后监测研究。

IF 2.3 3区 医学 Q1 PEDIATRICS
Tomo Nozawa, Naomi Iwata, Toru Igarashi, Ichiro Kobayashi, Shoji Ota, Takako Yamada, Etsuya Bando, Katsuyoshi Habiro, Syuji Takei
{"title":"静脉注射阿巴接受治疗多关节病程青少年特发性关节炎的安全性和有效性:一项全病例上市后监测研究。","authors":"Tomo Nozawa, Naomi Iwata, Toru Igarashi, Ichiro Kobayashi, Shoji Ota, Takako Yamada, Etsuya Bando, Katsuyoshi Habiro, Syuji Takei","doi":"10.1186/s12969-025-01069-4","DOIUrl":null,"url":null,"abstract":"<p><strong>Background: </strong>In 2018, intravenous abatacept was approved for the treatment of refractory polyarticular-course juvenile idiopathic arthritis (JIA) in Japan. However, reports describing the effectiveness and safety of abatacept in clinical practice in Japanese patients with refractory polyarticular-course JIA are limited. Therefore, this postmarketing surveillance study aimed to evaluate the real-world safety and effectiveness of abatacept in Japanese pediatric patients with refractory polyarticular-course JIA.</p><p><strong>Methods: </strong>This study evaluated patients included in an all-case postmarketing surveillance study between February 2018 and August 2020 who were treated with intravenous abatacept. Data on the safety and effectiveness of the registered patients were collected during the 52-week follow-up period. Disease activities were evaluated using Juvenile Arthritis Disease Activity Score 27 (JADAS-27). The effect of abatacept on a child's growth was assessed using the height and weight standard deviation scores (SDS).</p><p><strong>Results: </strong>A total of 82 patients were registered in this study, of whom 14.6% and 85.4% were males and females, respectively. The proportion of patients with oligoarticular, rheumatoid factor (RF)-negative polyarticular, and RF-positive polyarticular JIA was 12.2, 28.0, and 54.9%, respectively. The incidence of adverse drug reactions (ADRs) and serious ADRs was 22.0% and 2.4%, respectively. During the study period, 64.7% of the patients achieved JADAS-27 low disease activity or less. A significant difference in JADAS-27 scores in patients with RF-positive polyarticular JIA was observed between baseline and 24 or 52 weeks after abatacept administration. The height and weight SDS tended to improve during abatacept treatment.</p><p><strong>Conclusions: </strong>Abatacept is effective in polyarticular-course JIA, particularly in RF-positive patients, and in restoring a child's growth. Additionally, the incidence of ADRs is similar to that observed in the clinical trial. The results of the study suggest that abatacept is a useful therapeutic option for treating refractory polyarticular-course JIA in real-world settings in Japan.</p>","PeriodicalId":54630,"journal":{"name":"Pediatric Rheumatology","volume":"23 1","pages":"19"},"PeriodicalIF":2.3000,"publicationDate":"2025-02-19","publicationTypes":"Journal Article","fieldsOfStudy":null,"isOpenAccess":false,"openAccessPdf":"https://www.ncbi.nlm.nih.gov/pmc/articles/PMC11841336/pdf/","citationCount":"0","resultStr":"{\"title\":\"Safety and effectiveness of intravenous abatacept for polyarticular-course juvenile idiopathic arthritis: An all-case postmarketing surveillance study.\",\"authors\":\"Tomo Nozawa, Naomi Iwata, Toru Igarashi, Ichiro Kobayashi, Shoji Ota, Takako Yamada, Etsuya Bando, Katsuyoshi Habiro, Syuji Takei\",\"doi\":\"10.1186/s12969-025-01069-4\",\"DOIUrl\":null,\"url\":null,\"abstract\":\"<p><strong>Background: </strong>In 2018, intravenous abatacept was approved for the treatment of refractory polyarticular-course juvenile idiopathic arthritis (JIA) in Japan. However, reports describing the effectiveness and safety of abatacept in clinical practice in Japanese patients with refractory polyarticular-course JIA are limited. Therefore, this postmarketing surveillance study aimed to evaluate the real-world safety and effectiveness of abatacept in Japanese pediatric patients with refractory polyarticular-course JIA.</p><p><strong>Methods: </strong>This study evaluated patients included in an all-case postmarketing surveillance study between February 2018 and August 2020 who were treated with intravenous abatacept. Data on the safety and effectiveness of the registered patients were collected during the 52-week follow-up period. Disease activities were evaluated using Juvenile Arthritis Disease Activity Score 27 (JADAS-27). The effect of abatacept on a child's growth was assessed using the height and weight standard deviation scores (SDS).</p><p><strong>Results: </strong>A total of 82 patients were registered in this study, of whom 14.6% and 85.4% were males and females, respectively. The proportion of patients with oligoarticular, rheumatoid factor (RF)-negative polyarticular, and RF-positive polyarticular JIA was 12.2, 28.0, and 54.9%, respectively. The incidence of adverse drug reactions (ADRs) and serious ADRs was 22.0% and 2.4%, respectively. During the study period, 64.7% of the patients achieved JADAS-27 low disease activity or less. A significant difference in JADAS-27 scores in patients with RF-positive polyarticular JIA was observed between baseline and 24 or 52 weeks after abatacept administration. The height and weight SDS tended to improve during abatacept treatment.</p><p><strong>Conclusions: </strong>Abatacept is effective in polyarticular-course JIA, particularly in RF-positive patients, and in restoring a child's growth. Additionally, the incidence of ADRs is similar to that observed in the clinical trial. The results of the study suggest that abatacept is a useful therapeutic option for treating refractory polyarticular-course JIA in real-world settings in Japan.</p>\",\"PeriodicalId\":54630,\"journal\":{\"name\":\"Pediatric Rheumatology\",\"volume\":\"23 1\",\"pages\":\"19\"},\"PeriodicalIF\":2.3000,\"publicationDate\":\"2025-02-19\",\"publicationTypes\":\"Journal Article\",\"fieldsOfStudy\":null,\"isOpenAccess\":false,\"openAccessPdf\":\"https://www.ncbi.nlm.nih.gov/pmc/articles/PMC11841336/pdf/\",\"citationCount\":\"0\",\"resultStr\":null,\"platform\":\"Semanticscholar\",\"paperid\":null,\"PeriodicalName\":\"Pediatric Rheumatology\",\"FirstCategoryId\":\"3\",\"ListUrlMain\":\"https://doi.org/10.1186/s12969-025-01069-4\",\"RegionNum\":3,\"RegionCategory\":\"医学\",\"ArticlePicture\":[],\"TitleCN\":null,\"AbstractTextCN\":null,\"PMCID\":null,\"EPubDate\":\"\",\"PubModel\":\"\",\"JCR\":\"Q1\",\"JCRName\":\"PEDIATRICS\",\"Score\":null,\"Total\":0}","platform":"Semanticscholar","paperid":null,"PeriodicalName":"Pediatric Rheumatology","FirstCategoryId":"3","ListUrlMain":"https://doi.org/10.1186/s12969-025-01069-4","RegionNum":3,"RegionCategory":"医学","ArticlePicture":[],"TitleCN":null,"AbstractTextCN":null,"PMCID":null,"EPubDate":"","PubModel":"","JCR":"Q1","JCRName":"PEDIATRICS","Score":null,"Total":0}
引用次数: 0

摘要

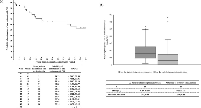
背景:2018年,静脉注射阿巴接受在日本被批准用于治疗难治性多关节病程青少年特发性关节炎(JIA)。然而,关于abataccept在日本难治性多关节期JIA患者临床实践中的有效性和安全性的报道有限。因此,本上市后监测研究旨在评估abataccept在日本小儿难治性多关节期JIA患者中的安全性和有效性。方法:本研究评估了2018年2月至2020年8月期间接受静脉阿巴接受治疗的全病例上市后监测研究中的患者。在52周的随访期间收集了注册患者的安全性和有效性数据。使用青少年关节炎疾病活动评分27 (JADAS-27)评估疾病活动。使用身高和体重标准偏差评分(SDS)评估阿巴接受对儿童生长的影响。结果:本研究共纳入82例患者,其中男性占14.6%,女性占85.4%。少关节型、类风湿因子(RF)阴性多关节型和RF阳性多关节型JIA患者比例分别为12.2、28.0%和54.9%。药物不良反应(adr)和严重adr的发生率分别为22.0%和2.4%。在研究期间,64.7%的患者达到JADAS-27低疾病活动度或更低。rf阳性多关节性JIA患者的JADAS-27评分在基线和阿巴接受治疗后24周或52周之间有显著差异。在阿巴接受治疗期间,身高和体重SDS有改善的趋势。结论:阿巴接受在多关节疗程的JIA中有效,特别是在rf阳性患者中,并能恢复儿童的生长。此外,不良反应的发生率与临床试验中观察到的相似。研究结果表明,在日本现实环境中,abataccept是治疗难治性多关节期JIA的有效治疗选择。
本文章由计算机程序翻译,如有差异,请以英文原文为准。

Safety and effectiveness of intravenous abatacept for polyarticular-course juvenile idiopathic arthritis: An all-case postmarketing surveillance study.

Safety and effectiveness of intravenous abatacept for polyarticular-course juvenile idiopathic arthritis: An all-case postmarketing surveillance study.

Safety and effectiveness of intravenous abatacept for polyarticular-course juvenile idiopathic arthritis: An all-case postmarketing surveillance study.

Safety and effectiveness of intravenous abatacept for polyarticular-course juvenile idiopathic arthritis: An all-case postmarketing surveillance study.

Background: In 2018, intravenous abatacept was approved for the treatment of refractory polyarticular-course juvenile idiopathic arthritis (JIA) in Japan. However, reports describing the effectiveness and safety of abatacept in clinical practice in Japanese patients with refractory polyarticular-course JIA are limited. Therefore, this postmarketing surveillance study aimed to evaluate the real-world safety and effectiveness of abatacept in Japanese pediatric patients with refractory polyarticular-course JIA.

Methods: This study evaluated patients included in an all-case postmarketing surveillance study between February 2018 and August 2020 who were treated with intravenous abatacept. Data on the safety and effectiveness of the registered patients were collected during the 52-week follow-up period. Disease activities were evaluated using Juvenile Arthritis Disease Activity Score 27 (JADAS-27). The effect of abatacept on a child's growth was assessed using the height and weight standard deviation scores (SDS).

Results: A total of 82 patients were registered in this study, of whom 14.6% and 85.4% were males and females, respectively. The proportion of patients with oligoarticular, rheumatoid factor (RF)-negative polyarticular, and RF-positive polyarticular JIA was 12.2, 28.0, and 54.9%, respectively. The incidence of adverse drug reactions (ADRs) and serious ADRs was 22.0% and 2.4%, respectively. During the study period, 64.7% of the patients achieved JADAS-27 low disease activity or less. A significant difference in JADAS-27 scores in patients with RF-positive polyarticular JIA was observed between baseline and 24 or 52 weeks after abatacept administration. The height and weight SDS tended to improve during abatacept treatment.

Conclusions: Abatacept is effective in polyarticular-course JIA, particularly in RF-positive patients, and in restoring a child's growth. Additionally, the incidence of ADRs is similar to that observed in the clinical trial. The results of the study suggest that abatacept is a useful therapeutic option for treating refractory polyarticular-course JIA in real-world settings in Japan.

求助全文
通过发布文献求助,成功后即可免费获取论文全文。 去求助
来源期刊
Pediatric Rheumatology
Pediatric Rheumatology PEDIATRICS-RHEUMATOLOGY
CiteScore
4.10
自引率
8.00%
发文量
95
审稿时长
>12 weeks
期刊介绍: Pediatric Rheumatology is an open access, peer-reviewed, online journal encompassing all aspects of clinical and basic research related to pediatric rheumatology and allied subjects. The journal’s scope of diseases and syndromes include musculoskeletal pain syndromes, rheumatic fever and post-streptococcal syndromes, juvenile idiopathic arthritis, systemic lupus erythematosus, juvenile dermatomyositis, local and systemic scleroderma, Kawasaki disease, Henoch-Schonlein purpura and other vasculitides, sarcoidosis, inherited musculoskeletal syndromes, autoinflammatory syndromes, and others.
×
引用
GB/T 7714-2015
复制
MLA
复制
APA
复制
导出至
BibTeX EndNote RefMan NoteFirst NoteExpress
×
提示
您的信息不完整,为了账户安全,请先补充。
现在去补充
×
提示
您因"违规操作"
具体请查看互助需知
我知道了
×
提示
确定
请完成安全验证×
copy
已复制链接
快去分享给好友吧!
我知道了
右上角分享
点击右上角分享
0
联系我们:info@booksci.cn Book学术提供免费学术资源搜索服务,方便国内外学者检索中英文文献。致力于提供最便捷和优质的服务体验。 Copyright © 2023 布克学术 All rights reserved.
京ICP备2023020795号-1
ghs 京公网安备 11010802042870号
Book学术文献互助
Book学术文献互助群
群 号:604180095
Book学术官方微信