血清和组织中的microrna可以区分脾血管肉瘤和其他脾肿物。

IF 1.7 2区 农林科学 Q2 PATHOLOGY
Veterinary Pathology Pub Date : 2025-09-01 Epub Date: 2025-02-19 DOI:10.1177/03009858251317466
Latasha Ludwig, Heather Treleaven, Arlene Khachadoorian, Brigitte Degasperi, Ingrid Walter, Deirdre Stuart, Robert A Foster, Robert Darren Wood, R Ayesha Ali, Geoffrey A Wood
{"title":"血清和组织中的microrna可以区分脾血管肉瘤和其他脾肿物。","authors":"Latasha Ludwig, Heather Treleaven, Arlene Khachadoorian, Brigitte Degasperi, Ingrid Walter, Deirdre Stuart, Robert A Foster, Robert Darren Wood, R Ayesha Ali, Geoffrey A Wood","doi":"10.1177/03009858251317466","DOIUrl":null,"url":null,"abstract":"<p><p>Splenic masses are common in dogs and vary dramatically in their clinical behavior. Clinically, and even with histology, it can be challenging to differentiate between benign and malignant splenic masses. Hemangiosarcoma (HSA), the most common malignancy of the spleen, is a very aggressive tumor with a poor prognosis. We hypothesize that microRNAs (miRNAs) in mass tissue and serum can differentiate between HSA and other splenic masses. Fifty-nine miRNAs were investigated by reverse-transcription followed by real-time quantitative polymerase chain reaction (RT-qPCR) in serum and/or tissue from dogs with HSAs (serum <i>n</i> = 24 and tissue <i>n</i> = 17; postsplenectomy serum <i>n</i> = 11), lymphomas (serum <i>n</i> = 8 and tissue <i>n</i> = 11), nonangiomatous nonlymphomatous sarcomas (serum <i>n</i> = 6 and tissue <i>n</i> = 10), histiocytic sarcomas (tissue <i>n</i> = 4), benign splenic masses (myelolipomas, nodular hyperplasia, and hematomas; total serum <i>n</i> = 21 and total tissue <i>n</i> = 35), and normal dogs (serum <i>n</i> = 14 and tissue <i>n</i> = 7). Numerous miRNAs were differentially expressed in serum and tissue of HSA cases compared to those with other splenic masses or normal spleens. In serum, our 5-miRNA model (miR-135a-5p, miR-10a, miR-450b, miR-152-3p, and miR-126-5p) accurately classified 100% (24/24) of dogs with HSA from normal dogs and those with a benign splenic mass (recall = 1 for HSA). The overall accuracy of the model was 86%. In HSA and benign splenic mass tissues, our 3-miRNA model (miR-126-5p, miR-502-3p, and miR-452-5p) accurately classified 96% of the cases. This study demonstrates the utility of miRNA models in serum and tissue for screening and diagnosis of HSA in dogs. Future studies include the evaluation of prospective and prediagnosis serum samples.</p>","PeriodicalId":23513,"journal":{"name":"Veterinary Pathology","volume":" ","pages":"659-671"},"PeriodicalIF":1.7000,"publicationDate":"2025-09-01","publicationTypes":"Journal Article","fieldsOfStudy":null,"isOpenAccess":false,"openAccessPdf":"https://www.ncbi.nlm.nih.gov/pmc/articles/PMC12314205/pdf/","citationCount":"0","resultStr":"{\"title\":\"MicroRNAs in serum and tissue can differentiate splenic hemangiosarcoma from other splenic masses in dogs.\",\"authors\":\"Latasha Ludwig, Heather Treleaven, Arlene Khachadoorian, Brigitte Degasperi, Ingrid Walter, Deirdre Stuart, Robert A Foster, Robert Darren Wood, R Ayesha Ali, Geoffrey A Wood\",\"doi\":\"10.1177/03009858251317466\",\"DOIUrl\":null,\"url\":null,\"abstract\":\"<p><p>Splenic masses are common in dogs and vary dramatically in their clinical behavior. Clinically, and even with histology, it can be challenging to differentiate between benign and malignant splenic masses. Hemangiosarcoma (HSA), the most common malignancy of the spleen, is a very aggressive tumor with a poor prognosis. We hypothesize that microRNAs (miRNAs) in mass tissue and serum can differentiate between HSA and other splenic masses. Fifty-nine miRNAs were investigated by reverse-transcription followed by real-time quantitative polymerase chain reaction (RT-qPCR) in serum and/or tissue from dogs with HSAs (serum <i>n</i> = 24 and tissue <i>n</i> = 17; postsplenectomy serum <i>n</i> = 11), lymphomas (serum <i>n</i> = 8 and tissue <i>n</i> = 11), nonangiomatous nonlymphomatous sarcomas (serum <i>n</i> = 6 and tissue <i>n</i> = 10), histiocytic sarcomas (tissue <i>n</i> = 4), benign splenic masses (myelolipomas, nodular hyperplasia, and hematomas; total serum <i>n</i> = 21 and total tissue <i>n</i> = 35), and normal dogs (serum <i>n</i> = 14 and tissue <i>n</i> = 7). Numerous miRNAs were differentially expressed in serum and tissue of HSA cases compared to those with other splenic masses or normal spleens. In serum, our 5-miRNA model (miR-135a-5p, miR-10a, miR-450b, miR-152-3p, and miR-126-5p) accurately classified 100% (24/24) of dogs with HSA from normal dogs and those with a benign splenic mass (recall = 1 for HSA). The overall accuracy of the model was 86%. In HSA and benign splenic mass tissues, our 3-miRNA model (miR-126-5p, miR-502-3p, and miR-452-5p) accurately classified 96% of the cases. This study demonstrates the utility of miRNA models in serum and tissue for screening and diagnosis of HSA in dogs. Future studies include the evaluation of prospective and prediagnosis serum samples.</p>\",\"PeriodicalId\":23513,\"journal\":{\"name\":\"Veterinary Pathology\",\"volume\":\" \",\"pages\":\"659-671\"},\"PeriodicalIF\":1.7000,\"publicationDate\":\"2025-09-01\",\"publicationTypes\":\"Journal Article\",\"fieldsOfStudy\":null,\"isOpenAccess\":false,\"openAccessPdf\":\"https://www.ncbi.nlm.nih.gov/pmc/articles/PMC12314205/pdf/\",\"citationCount\":\"0\",\"resultStr\":null,\"platform\":\"Semanticscholar\",\"paperid\":null,\"PeriodicalName\":\"Veterinary Pathology\",\"FirstCategoryId\":\"97\",\"ListUrlMain\":\"https://doi.org/10.1177/03009858251317466\",\"RegionNum\":2,\"RegionCategory\":\"农林科学\",\"ArticlePicture\":[],\"TitleCN\":null,\"AbstractTextCN\":null,\"PMCID\":null,\"EPubDate\":\"2025/2/19 0:00:00\",\"PubModel\":\"Epub\",\"JCR\":\"Q2\",\"JCRName\":\"PATHOLOGY\",\"Score\":null,\"Total\":0}","platform":"Semanticscholar","paperid":null,"PeriodicalName":"Veterinary Pathology","FirstCategoryId":"97","ListUrlMain":"https://doi.org/10.1177/03009858251317466","RegionNum":2,"RegionCategory":"农林科学","ArticlePicture":[],"TitleCN":null,"AbstractTextCN":null,"PMCID":null,"EPubDate":"2025/2/19 0:00:00","PubModel":"Epub","JCR":"Q2","JCRName":"PATHOLOGY","Score":null,"Total":0}
引用次数: 0

摘要

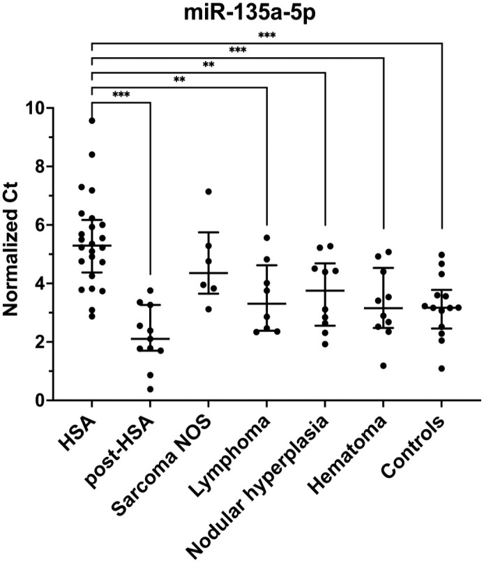
脾肿物在犬中很常见,其临床表现差异很大。临床上,甚至在组织学上,区分良性和恶性脾肿物是具有挑战性的。血管肉瘤(HSA)是最常见的脾脏恶性肿瘤,是一种侵袭性很强的肿瘤,预后较差。我们假设肿块组织和血清中的microRNAs (miRNAs)可以区分HSA和其他脾肿块。采用逆转录法和实时定量聚合酶链反应(RT-qPCR)对59种mirna在HSAs犬(血清n = 24,组织n = 17;脾切除术后血清n = 11)、淋巴瘤(血清n = 8,组织n = 11)、非血管瘤性非淋巴瘤肉瘤(血清n = 6,组织n = 10)、组织细胞肉瘤(组织n = 4)、良性脾肿块(骨髓脂肪瘤、结节性增生、血肿);血清总n = 21,组织总n = 35)和正常犬(血清总n = 14,组织总n = 7)。与其他脾肿块或正常脾脏相比,HSA病例的血清和组织中有大量mirna的差异表达。在血清中,我们的5-miRNA模型(miR-135a-5p、miR-10a、miR-450b、miR-152-3p和miR-126-5p)准确地将100%(24/24)患有HSA的狗与正常狗和良性脾肿块(HSA的召回率= 1)区分。该模型的总体准确率为86%。在HSA和良性脾肿块组织中,我们的3-miRNA模型(miR-126-5p, miR-502-3p和miR-452-5p)准确分类了96%的病例。本研究证明了血清和组织中miRNA模型在犬HSA筛查和诊断中的实用性。未来的研究包括前瞻性和诊断前血清样本的评估。
本文章由计算机程序翻译,如有差异,请以英文原文为准。

MicroRNAs in serum and tissue can differentiate splenic hemangiosarcoma from other splenic masses in dogs.

MicroRNAs in serum and tissue can differentiate splenic hemangiosarcoma from other splenic masses in dogs.

MicroRNAs in serum and tissue can differentiate splenic hemangiosarcoma from other splenic masses in dogs.

MicroRNAs in serum and tissue can differentiate splenic hemangiosarcoma from other splenic masses in dogs.

Splenic masses are common in dogs and vary dramatically in their clinical behavior. Clinically, and even with histology, it can be challenging to differentiate between benign and malignant splenic masses. Hemangiosarcoma (HSA), the most common malignancy of the spleen, is a very aggressive tumor with a poor prognosis. We hypothesize that microRNAs (miRNAs) in mass tissue and serum can differentiate between HSA and other splenic masses. Fifty-nine miRNAs were investigated by reverse-transcription followed by real-time quantitative polymerase chain reaction (RT-qPCR) in serum and/or tissue from dogs with HSAs (serum n = 24 and tissue n = 17; postsplenectomy serum n = 11), lymphomas (serum n = 8 and tissue n = 11), nonangiomatous nonlymphomatous sarcomas (serum n = 6 and tissue n = 10), histiocytic sarcomas (tissue n = 4), benign splenic masses (myelolipomas, nodular hyperplasia, and hematomas; total serum n = 21 and total tissue n = 35), and normal dogs (serum n = 14 and tissue n = 7). Numerous miRNAs were differentially expressed in serum and tissue of HSA cases compared to those with other splenic masses or normal spleens. In serum, our 5-miRNA model (miR-135a-5p, miR-10a, miR-450b, miR-152-3p, and miR-126-5p) accurately classified 100% (24/24) of dogs with HSA from normal dogs and those with a benign splenic mass (recall = 1 for HSA). The overall accuracy of the model was 86%. In HSA and benign splenic mass tissues, our 3-miRNA model (miR-126-5p, miR-502-3p, and miR-452-5p) accurately classified 96% of the cases. This study demonstrates the utility of miRNA models in serum and tissue for screening and diagnosis of HSA in dogs. Future studies include the evaluation of prospective and prediagnosis serum samples.

求助全文
通过发布文献求助,成功后即可免费获取论文全文。 去求助
来源期刊
Veterinary Pathology
Veterinary Pathology 农林科学-病理学
CiteScore
4.70
自引率
8.30%
发文量
99
审稿时长
2 months
期刊介绍: Veterinary Pathology (VET) is the premier international publication of basic and applied research involving domestic, laboratory, wildlife, marine and zoo animals, and poultry. Bridging the divide between natural and experimental diseases, the journal details the diagnostic investigations of diseases of animals; reports experimental studies on mechanisms of specific processes; provides unique insights into animal models of human disease; and presents studies on environmental and pharmaceutical hazards.
×
引用
GB/T 7714-2015
复制
MLA
复制
APA
复制
导出至
BibTeX EndNote RefMan NoteFirst NoteExpress
×
提示
您的信息不完整,为了账户安全,请先补充。
现在去补充
×
提示
您因"违规操作"
具体请查看互助需知
我知道了
×
提示
确定
请完成安全验证×
copy
已复制链接
快去分享给好友吧!
我知道了
右上角分享
点击右上角分享
0
联系我们:info@booksci.cn Book学术提供免费学术资源搜索服务,方便国内外学者检索中英文文献。致力于提供最便捷和优质的服务体验。 Copyright © 2023 布克学术 All rights reserved.
京ICP备2023020795号-1
ghs 京公网安备 11010802042870号
Book学术文献互助
Book学术文献互助群
群 号:604180095
Book学术官方微信