未经治疗的成人生长激素缺乏症患者的患病率和并发症风险。

IF 3.4 2区 医学 Q2 ENDOCRINOLOGY & METABOLISM
Hidenori Fukuoka, Takaaki Endo, Satoshi Tsuboi, Shingo Fujio
{"title":"未经治疗的成人生长激素缺乏症患者的患病率和并发症风险。","authors":"Hidenori Fukuoka, Takaaki Endo, Satoshi Tsuboi, Shingo Fujio","doi":"10.1007/s11102-025-01500-9","DOIUrl":null,"url":null,"abstract":"<p><strong>Purpose: </strong>Adult growth hormone deficiency (AGHD) increases the prevalence of complications, including metabolic disorder, leading to increased cardiovascular mortality from cardiovascular diseases. However, no large database studies have evaluated AGHD patients without GH replacement therapy (GHRT). We investigated the prevalence of AGHD-related complications in patients without GHRT.</p><p><strong>Methods: </strong>Patients with AGHD and associated complications were identified from the Medical Data Vision claims database using Japanese local disease codes mapped to ICD-10 codes. The prevalence of AGHD-related complications in 2020 was estimated to compare with the prevalence in the Japanese general population in the latest available year 2020. Risk factors for complications were evaluated by Kaplan-Meier curves and a Cox proportional hazard model.</p><p><strong>Results: </strong>We identified 8,809 untreated patients with AGHD from April 2008 to September 2022, including 3,430 in 2020. In 2020, the prevalence of complications was higher in the AGHD population adjusted for sex and age than in the Japanese general population, e.g., diabetes mellitus, 9.3% vs. 3.6%; osteoporosis, 4.8% vs. 1.3%; and dyslipidemia, 22.0% vs. 3.9%. Age was a significant risk factor for most complications, and female sex for osteoporosis. Diabetes mellitus was a significant risk factor for dyslipidemia, ischemic heart disease, cerebrovascular disease, and all-cause death.</p><p><strong>Conclusion: </strong>Untreated patients with AGHD have a higher prevalence of metabolic complications than the general population despite no difference in their related risk factors. Given the low use of GHRT in this study, comprehensive treatment approaches that include GHRT need to be considered to alleviate the risk of complications.</p>","PeriodicalId":20202,"journal":{"name":"Pituitary","volume":"28 2","pages":"32"},"PeriodicalIF":3.4000,"publicationDate":"2025-02-18","publicationTypes":"Journal Article","fieldsOfStudy":null,"isOpenAccess":false,"openAccessPdf":"https://www.ncbi.nlm.nih.gov/pmc/articles/PMC11836217/pdf/","citationCount":"0","resultStr":"{\"title\":\"Prevalence and risk of complications in untreated patients with adult growth hormone deficiency.\",\"authors\":\"Hidenori Fukuoka, Takaaki Endo, Satoshi Tsuboi, Shingo Fujio\",\"doi\":\"10.1007/s11102-025-01500-9\",\"DOIUrl\":null,\"url\":null,\"abstract\":\"<p><strong>Purpose: </strong>Adult growth hormone deficiency (AGHD) increases the prevalence of complications, including metabolic disorder, leading to increased cardiovascular mortality from cardiovascular diseases. However, no large database studies have evaluated AGHD patients without GH replacement therapy (GHRT). We investigated the prevalence of AGHD-related complications in patients without GHRT.</p><p><strong>Methods: </strong>Patients with AGHD and associated complications were identified from the Medical Data Vision claims database using Japanese local disease codes mapped to ICD-10 codes. The prevalence of AGHD-related complications in 2020 was estimated to compare with the prevalence in the Japanese general population in the latest available year 2020. Risk factors for complications were evaluated by Kaplan-Meier curves and a Cox proportional hazard model.</p><p><strong>Results: </strong>We identified 8,809 untreated patients with AGHD from April 2008 to September 2022, including 3,430 in 2020. In 2020, the prevalence of complications was higher in the AGHD population adjusted for sex and age than in the Japanese general population, e.g., diabetes mellitus, 9.3% vs. 3.6%; osteoporosis, 4.8% vs. 1.3%; and dyslipidemia, 22.0% vs. 3.9%. Age was a significant risk factor for most complications, and female sex for osteoporosis. Diabetes mellitus was a significant risk factor for dyslipidemia, ischemic heart disease, cerebrovascular disease, and all-cause death.</p><p><strong>Conclusion: </strong>Untreated patients with AGHD have a higher prevalence of metabolic complications than the general population despite no difference in their related risk factors. Given the low use of GHRT in this study, comprehensive treatment approaches that include GHRT need to be considered to alleviate the risk of complications.</p>\",\"PeriodicalId\":20202,\"journal\":{\"name\":\"Pituitary\",\"volume\":\"28 2\",\"pages\":\"32\"},\"PeriodicalIF\":3.4000,\"publicationDate\":\"2025-02-18\",\"publicationTypes\":\"Journal Article\",\"fieldsOfStudy\":null,\"isOpenAccess\":false,\"openAccessPdf\":\"https://www.ncbi.nlm.nih.gov/pmc/articles/PMC11836217/pdf/\",\"citationCount\":\"0\",\"resultStr\":null,\"platform\":\"Semanticscholar\",\"paperid\":null,\"PeriodicalName\":\"Pituitary\",\"FirstCategoryId\":\"3\",\"ListUrlMain\":\"https://doi.org/10.1007/s11102-025-01500-9\",\"RegionNum\":2,\"RegionCategory\":\"医学\",\"ArticlePicture\":[],\"TitleCN\":null,\"AbstractTextCN\":null,\"PMCID\":null,\"EPubDate\":\"\",\"PubModel\":\"\",\"JCR\":\"Q2\",\"JCRName\":\"ENDOCRINOLOGY & METABOLISM\",\"Score\":null,\"Total\":0}","platform":"Semanticscholar","paperid":null,"PeriodicalName":"Pituitary","FirstCategoryId":"3","ListUrlMain":"https://doi.org/10.1007/s11102-025-01500-9","RegionNum":2,"RegionCategory":"医学","ArticlePicture":[],"TitleCN":null,"AbstractTextCN":null,"PMCID":null,"EPubDate":"","PubModel":"","JCR":"Q2","JCRName":"ENDOCRINOLOGY & METABOLISM","Score":null,"Total":0}
引用次数: 0

摘要

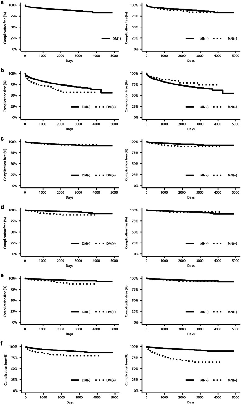
目的:成人生长激素缺乏症(AGHD)增加了包括代谢紊乱在内的并发症的患病率,导致心血管疾病引起的心血管死亡率增加。然而,没有大型数据库研究评估没有GH替代治疗(GHRT)的AGHD患者。我们调查了未接受GHRT治疗的患者中aghd相关并发症的发生率。方法:使用日本当地疾病代码映射到ICD-10代码,从Medical Data Vision索赔数据库中识别AGHD患者及其相关并发症。估计2020年aghd相关并发症的患病率与日本普通人群在最新可获得的2020年的患病率进行比较。采用Kaplan-Meier曲线和Cox比例风险模型评估并发症的危险因素。结果:从2008年4月到2022年9月,我们确定了8809例未经治疗的AGHD患者,其中包括2020年的3430例。2020年,经性别和年龄调整的AGHD人群的并发症患病率高于日本普通人群,例如糖尿病,9.3%比3.6%;骨质疏松症,4.8%对1.3%;血脂异常,22.0%对3.9%。年龄是大多数并发症的重要危险因素,女性是骨质疏松症的重要危险因素。糖尿病是血脂异常、缺血性心脏病、脑血管疾病和全因死亡的重要危险因素。结论:未经治疗的AGHD患者代谢并发症发生率高于普通人群,但相关危险因素无差异。鉴于本研究中GHRT的使用率较低,需要考虑包括GHRT在内的综合治疗方法,以减轻并发症的风险。
本文章由计算机程序翻译,如有差异,请以英文原文为准。

Prevalence and risk of complications in untreated patients with adult growth hormone deficiency.

Prevalence and risk of complications in untreated patients with adult growth hormone deficiency.

Prevalence and risk of complications in untreated patients with adult growth hormone deficiency.

Prevalence and risk of complications in untreated patients with adult growth hormone deficiency.

Purpose: Adult growth hormone deficiency (AGHD) increases the prevalence of complications, including metabolic disorder, leading to increased cardiovascular mortality from cardiovascular diseases. However, no large database studies have evaluated AGHD patients without GH replacement therapy (GHRT). We investigated the prevalence of AGHD-related complications in patients without GHRT.

Methods: Patients with AGHD and associated complications were identified from the Medical Data Vision claims database using Japanese local disease codes mapped to ICD-10 codes. The prevalence of AGHD-related complications in 2020 was estimated to compare with the prevalence in the Japanese general population in the latest available year 2020. Risk factors for complications were evaluated by Kaplan-Meier curves and a Cox proportional hazard model.

Results: We identified 8,809 untreated patients with AGHD from April 2008 to September 2022, including 3,430 in 2020. In 2020, the prevalence of complications was higher in the AGHD population adjusted for sex and age than in the Japanese general population, e.g., diabetes mellitus, 9.3% vs. 3.6%; osteoporosis, 4.8% vs. 1.3%; and dyslipidemia, 22.0% vs. 3.9%. Age was a significant risk factor for most complications, and female sex for osteoporosis. Diabetes mellitus was a significant risk factor for dyslipidemia, ischemic heart disease, cerebrovascular disease, and all-cause death.

Conclusion: Untreated patients with AGHD have a higher prevalence of metabolic complications than the general population despite no difference in their related risk factors. Given the low use of GHRT in this study, comprehensive treatment approaches that include GHRT need to be considered to alleviate the risk of complications.

求助全文
通过发布文献求助,成功后即可免费获取论文全文。 去求助
来源期刊
Pituitary
Pituitary 医学-内分泌学与代谢
CiteScore
7.10
自引率
7.90%
发文量
90
审稿时长
6 months
期刊介绍: Pituitary is an international publication devoted to basic and clinical aspects of the pituitary gland. It is designed to publish original, high quality research in both basic and pituitary function as well as clinical pituitary disease. The journal considers: Biology of Pituitary Tumors Mechanisms of Pituitary Hormone Secretion Regulation of Pituitary Function Prospective Clinical Studies of Pituitary Disease Critical Basic and Clinical Reviews Pituitary is directed at basic investigators, physiologists, clinical adult and pediatric endocrinologists, neurosurgeons and reproductive endocrinologists interested in the broad field of the pituitary and its disorders. The Editorial Board has been drawn from international experts in basic and clinical endocrinology. The journal offers a rapid turnaround time for review of manuscripts, and the high standard of the journal is maintained by a selective peer-review process which aims to publish only the highest quality manuscripts. Pituitary will foster the publication of creative scholarship as it pertains to the pituitary and will provide a forum for basic scientists and clinicians to publish their high quality pituitary-related work.
×
引用
GB/T 7714-2015
复制
MLA
复制
APA
复制
导出至
BibTeX EndNote RefMan NoteFirst NoteExpress
×
提示
您的信息不完整,为了账户安全,请先补充。
现在去补充
×
提示
您因"违规操作"
具体请查看互助需知
我知道了
×
提示
确定
请完成安全验证×
copy
已复制链接
快去分享给好友吧!
我知道了
右上角分享
点击右上角分享
0
联系我们:info@booksci.cn Book学术提供免费学术资源搜索服务,方便国内外学者检索中英文文献。致力于提供最便捷和优质的服务体验。 Copyright © 2023 布克学术 All rights reserved.
京ICP备2023020795号-1
ghs 京公网安备 11010802042870号
Book学术文献互助
Book学术文献互助群
群 号:604180095
Book学术官方微信