系统性炎症反应指数预测非小细胞肺癌脑转移患者接受立体定向放射手术的总生存率。

IF 2 4区 医学 Q2 BIOLOGY
Ryosuke Matsuda, Tetsuro Tamamoto, Nobuyoshi Inooka, Shigeto Hontsu, Akihiro Doi, Ryosuke Maeoka, Tsutomu Nakazawa, Takayuki Morimoto, Kaori Yamaki, Sachiko Miura, Yudai Morisaki, Shohei Yokoyama, Masashi Kotsugi, Yasuhiro Takeshima, Fumiaki Isohashi, Ichiro Nakagawa
{"title":"系统性炎症反应指数预测非小细胞肺癌脑转移患者接受立体定向放射手术的总生存率。","authors":"Ryosuke Matsuda, Tetsuro Tamamoto, Nobuyoshi Inooka, Shigeto Hontsu, Akihiro Doi, Ryosuke Maeoka, Tsutomu Nakazawa, Takayuki Morimoto, Kaori Yamaki, Sachiko Miura, Yudai Morisaki, Shohei Yokoyama, Masashi Kotsugi, Yasuhiro Takeshima, Fumiaki Isohashi, Ichiro Nakagawa","doi":"10.1093/jrr/rrae099","DOIUrl":null,"url":null,"abstract":"<p><p>This study aimed to evaluate the prognostic value of pre-treatment blood cell counts in patients with brain metastasis (BM) from non-small cell lung cancer (NSCLC) who were treated using linear accelerator (linac)-based stereotactic radiosurgery (SRS) and fractionated stereotactic radiotherapy (fSRT) with a micro-multileaf collimator. Between January 2011 and November 2022, 271 consecutive patients underwent linac-based SRS/fSRT for BM from NSCLC. Thirty patients with insufficient blood test data during this period were excluded from this analysis. Thirty-five patients with steroid intake at the time point of the blood test and 18 patients with higher C-reactive protein were excluded. Thus, 188 patients were eventually enrolled in this study. The median follow-up period after SRS/fSRT was 21 months (range: 0-121 months), and the median survival time after SRS/fSRT was 19 months. Neutrophil-lymphocyte ratio ≥ 1.90, lymphocyte-monocyte ratio ≤ 1.67 and systemic inflammation response index (SIRI) ≥ 2.95 were unfavorable predictors of prognosis for patients who underwent SRS/fSRT for BM from NSCLC. Cox proportional-hazard multivariate analysis revealed that the SIRI was independent prognostic factors for increased risk of death. Thus, simple, less expensive, and routinely performed pre-treatment blood cell count measurements such as SIRI can predict the overall survival of patients treated with SRS/fSRT for BM from NSCLC.</p>","PeriodicalId":16922,"journal":{"name":"Journal of Radiation Research","volume":" ","pages":"129-136"},"PeriodicalIF":2.0000,"publicationDate":"2025-03-24","publicationTypes":"Journal Article","fieldsOfStudy":null,"isOpenAccess":false,"openAccessPdf":"https://www.ncbi.nlm.nih.gov/pmc/articles/PMC11932349/pdf/","citationCount":"0","resultStr":"{\"title\":\"Systemic inflammation response index predicts overall survival in patients undergoing stereotactic radiosurgery for brain metastasis from non-small cell lung cancer.\",\"authors\":\"Ryosuke Matsuda, Tetsuro Tamamoto, Nobuyoshi Inooka, Shigeto Hontsu, Akihiro Doi, Ryosuke Maeoka, Tsutomu Nakazawa, Takayuki Morimoto, Kaori Yamaki, Sachiko Miura, Yudai Morisaki, Shohei Yokoyama, Masashi Kotsugi, Yasuhiro Takeshima, Fumiaki Isohashi, Ichiro Nakagawa\",\"doi\":\"10.1093/jrr/rrae099\",\"DOIUrl\":null,\"url\":null,\"abstract\":\"<p><p>This study aimed to evaluate the prognostic value of pre-treatment blood cell counts in patients with brain metastasis (BM) from non-small cell lung cancer (NSCLC) who were treated using linear accelerator (linac)-based stereotactic radiosurgery (SRS) and fractionated stereotactic radiotherapy (fSRT) with a micro-multileaf collimator. Between January 2011 and November 2022, 271 consecutive patients underwent linac-based SRS/fSRT for BM from NSCLC. Thirty patients with insufficient blood test data during this period were excluded from this analysis. Thirty-five patients with steroid intake at the time point of the blood test and 18 patients with higher C-reactive protein were excluded. Thus, 188 patients were eventually enrolled in this study. The median follow-up period after SRS/fSRT was 21 months (range: 0-121 months), and the median survival time after SRS/fSRT was 19 months. Neutrophil-lymphocyte ratio ≥ 1.90, lymphocyte-monocyte ratio ≤ 1.67 and systemic inflammation response index (SIRI) ≥ 2.95 were unfavorable predictors of prognosis for patients who underwent SRS/fSRT for BM from NSCLC. Cox proportional-hazard multivariate analysis revealed that the SIRI was independent prognostic factors for increased risk of death. Thus, simple, less expensive, and routinely performed pre-treatment blood cell count measurements such as SIRI can predict the overall survival of patients treated with SRS/fSRT for BM from NSCLC.</p>\",\"PeriodicalId\":16922,\"journal\":{\"name\":\"Journal of Radiation Research\",\"volume\":\" \",\"pages\":\"129-136\"},\"PeriodicalIF\":2.0000,\"publicationDate\":\"2025-03-24\",\"publicationTypes\":\"Journal Article\",\"fieldsOfStudy\":null,\"isOpenAccess\":false,\"openAccessPdf\":\"https://www.ncbi.nlm.nih.gov/pmc/articles/PMC11932349/pdf/\",\"citationCount\":\"0\",\"resultStr\":null,\"platform\":\"Semanticscholar\",\"paperid\":null,\"PeriodicalName\":\"Journal of Radiation Research\",\"FirstCategoryId\":\"3\",\"ListUrlMain\":\"https://doi.org/10.1093/jrr/rrae099\",\"RegionNum\":4,\"RegionCategory\":\"医学\",\"ArticlePicture\":[],\"TitleCN\":null,\"AbstractTextCN\":null,\"PMCID\":null,\"EPubDate\":\"\",\"PubModel\":\"\",\"JCR\":\"Q2\",\"JCRName\":\"BIOLOGY\",\"Score\":null,\"Total\":0}","platform":"Semanticscholar","paperid":null,"PeriodicalName":"Journal of Radiation Research","FirstCategoryId":"3","ListUrlMain":"https://doi.org/10.1093/jrr/rrae099","RegionNum":4,"RegionCategory":"医学","ArticlePicture":[],"TitleCN":null,"AbstractTextCN":null,"PMCID":null,"EPubDate":"","PubModel":"","JCR":"Q2","JCRName":"BIOLOGY","Score":null,"Total":0}
引用次数: 0

摘要

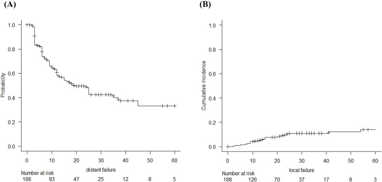
本研究旨在评估非小细胞肺癌(NSCLC)脑转移(BM)患者治疗前血细胞计数的预后价值,这些患者接受了基于直线加速器(linac)的立体定向放射手术(SRS)和带有微多叶准直仪的分步立体定向放疗(fSRT)治疗。在2011年1月至2022年11月期间,271例连续患者接受了基于linac的NSCLC脑转移SRS/fSRT治疗。在此期间,30例血液检测数据不足的患者被排除在本分析之外。排除35例在血检时间点有类固醇摄入的患者和18例c反应蛋白较高的患者。因此,188名患者最终被纳入本研究。SRS/fSRT后的中位随访时间为21个月(范围:0-121个月),SRS/fSRT后的中位生存时间为19个月。中性粒细胞-淋巴细胞比值≥1.90、淋巴细胞-单核细胞比值≤1.67和全身炎症反应指数(SIRI)≥2.95是NSCLC脑转移患者行SRS/fSRT治疗预后的不利预测因素。Cox比例风险多变量分析显示,SIRI是死亡风险增加的独立预后因素。因此,简单、便宜、常规的治疗前血细胞计数测量(如SIRI)可以预测接受SRS/fSRT治疗的非小细胞肺癌脑转移患者的总生存期。
本文章由计算机程序翻译,如有差异,请以英文原文为准。

Systemic inflammation response index predicts overall survival in patients undergoing stereotactic radiosurgery for brain metastasis from non-small cell lung cancer.

Systemic inflammation response index predicts overall survival in patients undergoing stereotactic radiosurgery for brain metastasis from non-small cell lung cancer.

Systemic inflammation response index predicts overall survival in patients undergoing stereotactic radiosurgery for brain metastasis from non-small cell lung cancer.

This study aimed to evaluate the prognostic value of pre-treatment blood cell counts in patients with brain metastasis (BM) from non-small cell lung cancer (NSCLC) who were treated using linear accelerator (linac)-based stereotactic radiosurgery (SRS) and fractionated stereotactic radiotherapy (fSRT) with a micro-multileaf collimator. Between January 2011 and November 2022, 271 consecutive patients underwent linac-based SRS/fSRT for BM from NSCLC. Thirty patients with insufficient blood test data during this period were excluded from this analysis. Thirty-five patients with steroid intake at the time point of the blood test and 18 patients with higher C-reactive protein were excluded. Thus, 188 patients were eventually enrolled in this study. The median follow-up period after SRS/fSRT was 21 months (range: 0-121 months), and the median survival time after SRS/fSRT was 19 months. Neutrophil-lymphocyte ratio ≥ 1.90, lymphocyte-monocyte ratio ≤ 1.67 and systemic inflammation response index (SIRI) ≥ 2.95 were unfavorable predictors of prognosis for patients who underwent SRS/fSRT for BM from NSCLC. Cox proportional-hazard multivariate analysis revealed that the SIRI was independent prognostic factors for increased risk of death. Thus, simple, less expensive, and routinely performed pre-treatment blood cell count measurements such as SIRI can predict the overall survival of patients treated with SRS/fSRT for BM from NSCLC.

求助全文
通过发布文献求助,成功后即可免费获取论文全文。 去求助
来源期刊
CiteScore
3.60
自引率
5.00%
发文量
86
审稿时长
4-8 weeks
期刊介绍: The Journal of Radiation Research (JRR) is an official journal of The Japanese Radiation Research Society (JRRS), and the Japanese Society for Radiation Oncology (JASTRO). Since its launch in 1960 as the official journal of the JRRS, the journal has published scientific articles in radiation science in biology, chemistry, physics, epidemiology, and environmental sciences. JRR broadened its scope to include oncology in 2009, when JASTRO partnered with the JRRS to publish the journal. Articles considered fall into two broad categories: Oncology & Medicine - including all aspects of research with patients that impacts on the treatment of cancer using radiation. Papers which cover related radiation therapies, radiation dosimetry, and those describing the basis for treatment methods including techniques, are also welcomed. Clinical case reports are not acceptable. Radiation Research - basic science studies of radiation effects on livings in the area of physics, chemistry, biology, epidemiology and environmental sciences. Please be advised that JRR does not accept any papers of pure physics or chemistry. The journal is bimonthly, and is edited and published by the JRR Editorial Committee.
×
引用
GB/T 7714-2015
复制
MLA
复制
APA
复制
导出至
BibTeX EndNote RefMan NoteFirst NoteExpress
×
提示
您的信息不完整,为了账户安全,请先补充。
现在去补充
×
提示
您因"违规操作"
具体请查看互助需知
我知道了
×
提示
确定
请完成安全验证×
copy
已复制链接
快去分享给好友吧!
我知道了
右上角分享
点击右上角分享
0
联系我们:info@booksci.cn Book学术提供免费学术资源搜索服务,方便国内外学者检索中英文文献。致力于提供最便捷和优质的服务体验。 Copyright © 2023 布克学术 All rights reserved.
京ICP备2023020795号-1
ghs 京公网安备 11010802042870号
Book学术文献互助
Book学术文献互助群
群 号:604180095
Book学术官方微信