唾液抗氧化水平在辅助生殖技术治疗多囊卵巢综合征妇女中的作用:一项病例对照研究。

IF 1.8 Q3 OBSTETRICS & GYNECOLOGY
International Journal of Reproductive Biomedicine Pub Date : 2025-01-31 eCollection Date: 2024-12-01 DOI:10.18502/ijrm.v22i12.18063
Narges Gholizadeh, Maryam Koopaie, Ashraf Aleyasin, Atousa Mortazavi Milani, Marziyeh Aghahosseini, Mohammad Javad Kharrazifard, Mohadeseh Bahmaee
{"title":"唾液抗氧化水平在辅助生殖技术治疗多囊卵巢综合征妇女中的作用:一项病例对照研究。","authors":"Narges Gholizadeh, Maryam Koopaie, Ashraf Aleyasin, Atousa Mortazavi Milani, Marziyeh Aghahosseini, Mohammad Javad Kharrazifard, Mohadeseh Bahmaee","doi":"10.18502/ijrm.v22i12.18063","DOIUrl":null,"url":null,"abstract":"<p><strong>Background: </strong>Infertility is defined as the inability to conceive after 12 months of regular unprotected intercourse. Approximately 85% of infertile couples have an identifiable cause, one of the most common causes of infertility is polycystic ovary syndrome (PCOS). The reduction of antioxidant levels in serum and follicular fluid in infertile women compared to healthy women shows the importance of further studying these markers.</p><p><strong>Objective: </strong>To study salivary and serum antioxidant levels in PCOS participants under assisted reproductive technology.</p><p><strong>Materials and methods: </strong>This case-control study was conducted on 80 women in 2 groups including normal participants as control and PCOS groups (n = 40/each). Serum and salivary antioxidant levels such as saliva superoxide dismutase (SOD), saliva anti-Müllerian hormone (AMH), serum SOD, serum total oxidant status, and serum AMH were measured.</p><p><strong>Results: </strong>The average age of participants was 31.6 <math><mo>±</mo></math> 5.4 yr. In both the saliva and serum, antioxidant levels differed significantly between the PCOS and control groups. Key findings showed that the PCOS group had different antioxidant levels and higher serum AMH levels compared to the control group, with all differences being statistically significant (p <math><mo><</mo></math> 0.05).</p><p><strong>Conclusion: </strong>Our finding underscored that saliva antioxidant levels, especially SOD, are a good marker for PCOS diagnosis. It is noninvasive, can easily be performed by the participants, and can be collected in various settings without specialized equipment.</p>","PeriodicalId":14386,"journal":{"name":"International Journal of Reproductive Biomedicine","volume":"22 12","pages":"975-984"},"PeriodicalIF":1.8000,"publicationDate":"2025-01-31","publicationTypes":"Journal Article","fieldsOfStudy":null,"isOpenAccess":false,"openAccessPdf":"https://www.ncbi.nlm.nih.gov/pmc/articles/PMC11830924/pdf/","citationCount":"0","resultStr":"{\"title\":\"The role of salivary antioxidant level in polycystic ovary syndrome women under assisted reproductive technology treatment: A case-control study.\",\"authors\":\"Narges Gholizadeh, Maryam Koopaie, Ashraf Aleyasin, Atousa Mortazavi Milani, Marziyeh Aghahosseini, Mohammad Javad Kharrazifard, Mohadeseh Bahmaee\",\"doi\":\"10.18502/ijrm.v22i12.18063\",\"DOIUrl\":null,\"url\":null,\"abstract\":\"<p><strong>Background: </strong>Infertility is defined as the inability to conceive after 12 months of regular unprotected intercourse. Approximately 85% of infertile couples have an identifiable cause, one of the most common causes of infertility is polycystic ovary syndrome (PCOS). The reduction of antioxidant levels in serum and follicular fluid in infertile women compared to healthy women shows the importance of further studying these markers.</p><p><strong>Objective: </strong>To study salivary and serum antioxidant levels in PCOS participants under assisted reproductive technology.</p><p><strong>Materials and methods: </strong>This case-control study was conducted on 80 women in 2 groups including normal participants as control and PCOS groups (n = 40/each). Serum and salivary antioxidant levels such as saliva superoxide dismutase (SOD), saliva anti-Müllerian hormone (AMH), serum SOD, serum total oxidant status, and serum AMH were measured.</p><p><strong>Results: </strong>The average age of participants was 31.6 <math><mo>±</mo></math> 5.4 yr. In both the saliva and serum, antioxidant levels differed significantly between the PCOS and control groups. Key findings showed that the PCOS group had different antioxidant levels and higher serum AMH levels compared to the control group, with all differences being statistically significant (p <math><mo><</mo></math> 0.05).</p><p><strong>Conclusion: </strong>Our finding underscored that saliva antioxidant levels, especially SOD, are a good marker for PCOS diagnosis. It is noninvasive, can easily be performed by the participants, and can be collected in various settings without specialized equipment.</p>\",\"PeriodicalId\":14386,\"journal\":{\"name\":\"International Journal of Reproductive Biomedicine\",\"volume\":\"22 12\",\"pages\":\"975-984\"},\"PeriodicalIF\":1.8000,\"publicationDate\":\"2025-01-31\",\"publicationTypes\":\"Journal Article\",\"fieldsOfStudy\":null,\"isOpenAccess\":false,\"openAccessPdf\":\"https://www.ncbi.nlm.nih.gov/pmc/articles/PMC11830924/pdf/\",\"citationCount\":\"0\",\"resultStr\":null,\"platform\":\"Semanticscholar\",\"paperid\":null,\"PeriodicalName\":\"International Journal of Reproductive Biomedicine\",\"FirstCategoryId\":\"1085\",\"ListUrlMain\":\"https://doi.org/10.18502/ijrm.v22i12.18063\",\"RegionNum\":0,\"RegionCategory\":null,\"ArticlePicture\":[],\"TitleCN\":null,\"AbstractTextCN\":null,\"PMCID\":null,\"EPubDate\":\"2024/12/1 0:00:00\",\"PubModel\":\"eCollection\",\"JCR\":\"Q3\",\"JCRName\":\"OBSTETRICS & GYNECOLOGY\",\"Score\":null,\"Total\":0}","platform":"Semanticscholar","paperid":null,"PeriodicalName":"International Journal of Reproductive Biomedicine","FirstCategoryId":"1085","ListUrlMain":"https://doi.org/10.18502/ijrm.v22i12.18063","RegionNum":0,"RegionCategory":null,"ArticlePicture":[],"TitleCN":null,"AbstractTextCN":null,"PMCID":null,"EPubDate":"2024/12/1 0:00:00","PubModel":"eCollection","JCR":"Q3","JCRName":"OBSTETRICS & GYNECOLOGY","Score":null,"Total":0}
引用次数: 0

摘要

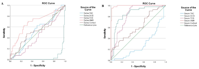
背景:不孕症被定义为在常规无保护性交12个月后不能怀孕。大约85%的不孕夫妇有明确的原因,其中最常见的原因之一是多囊卵巢综合征(PCOS)。与健康妇女相比,不孕妇女血清和卵泡液中抗氧化剂水平的降低显示了进一步研究这些标志物的重要性。目的:研究辅助生殖技术下PCOS患者唾液及血清抗氧化水平。材料与方法:将80名女性分为正常对照组和PCOS组(n = 40/人)。测定血清和唾液抗氧化水平,如唾液超氧化物歧化酶(SOD)、唾液抗勒氏杆菌激素(AMH)、血清SOD、血清总氧化状态和血清AMH。结果:参与者的平均年龄为31.6±5.4岁。在唾液和血清中,PCOS组与对照组的抗氧化水平均有显著差异。关键发现:PCOS组抗氧化水平和血清AMH水平均高于对照组,差异均有统计学意义(p 0.05)。结论:我们的发现强调了唾液抗氧化水平,特别是SOD,是PCOS诊断的良好指标。它是非侵入性的,可以很容易地由参与者进行,并且可以在没有专门设备的情况下在各种环境中收集。
本文章由计算机程序翻译,如有差异,请以英文原文为准。

The role of salivary antioxidant level in polycystic ovary syndrome women under assisted reproductive technology treatment: A case-control study.

The role of salivary antioxidant level in polycystic ovary syndrome women under assisted reproductive technology treatment: A case-control study.

Background: Infertility is defined as the inability to conceive after 12 months of regular unprotected intercourse. Approximately 85% of infertile couples have an identifiable cause, one of the most common causes of infertility is polycystic ovary syndrome (PCOS). The reduction of antioxidant levels in serum and follicular fluid in infertile women compared to healthy women shows the importance of further studying these markers.

Objective: To study salivary and serum antioxidant levels in PCOS participants under assisted reproductive technology.

Materials and methods: This case-control study was conducted on 80 women in 2 groups including normal participants as control and PCOS groups (n = 40/each). Serum and salivary antioxidant levels such as saliva superoxide dismutase (SOD), saliva anti-Müllerian hormone (AMH), serum SOD, serum total oxidant status, and serum AMH were measured.

Results: The average age of participants was 31.6 ± 5.4 yr. In both the saliva and serum, antioxidant levels differed significantly between the PCOS and control groups. Key findings showed that the PCOS group had different antioxidant levels and higher serum AMH levels compared to the control group, with all differences being statistically significant (p < 0.05).

Conclusion: Our finding underscored that saliva antioxidant levels, especially SOD, are a good marker for PCOS diagnosis. It is noninvasive, can easily be performed by the participants, and can be collected in various settings without specialized equipment.

求助全文
通过发布文献求助,成功后即可免费获取论文全文。 去求助
来源期刊
CiteScore
2.40
自引率
7.70%
发文量
93
审稿时长
16 weeks
期刊介绍: The International Journal of Reproductive BioMedicine (IJRM), formerly published as "Iranian Journal of Reproductive Medicine (ISSN: 1680-6433)", is an international monthly scientific journal for who treat and investigate problems of infertility and human reproductive disorders. This journal accepts Original Papers, Review Articles, Short Communications, Case Reports, Photo Clinics, and Letters to the Editor in the fields of fertility and infertility, ethical and social issues of assisted reproductive technologies, cellular and molecular biology of reproduction including the development of gametes and early embryos, assisted reproductive technologies in model system and in a clinical environment, reproductive endocrinology, andrology, epidemiology, pathology, genetics, oncology, surgery, psychology, and physiology. Emerging topics including cloning and stem cells are encouraged.
×
引用
GB/T 7714-2015
复制
MLA
复制
APA
复制
导出至
BibTeX EndNote RefMan NoteFirst NoteExpress
×
提示
您的信息不完整,为了账户安全,请先补充。
现在去补充
×
提示
您因"违规操作"
具体请查看互助需知
我知道了
×
提示
确定
请完成安全验证×
copy
已复制链接
快去分享给好友吧!
我知道了
右上角分享
点击右上角分享
0
联系我们:info@booksci.cn Book学术提供免费学术资源搜索服务,方便国内外学者检索中英文文献。致力于提供最便捷和优质的服务体验。 Copyright © 2023 布克学术 All rights reserved.
京ICP备2023020795号-1
ghs 京公网安备 11010802042870号
Book学术文献互助
Book学术文献互助群
群 号:604180095
Book学术官方微信