奶酪摄入对骨关节炎的影响:一项孟德尔随机研究。

IF 3.3 4区 医学 Q1 MEDICINE, GENERAL & INTERNAL
Archives of Medical Science Pub Date : 2024-12-13 eCollection Date: 2024-01-01 DOI:10.5114/aoms/182910
Song Wen, Zehan Huang, Bin Zhang, Yuqing Huang
{"title":"奶酪摄入对骨关节炎的影响:一项孟德尔随机研究。","authors":"Song Wen, Zehan Huang, Bin Zhang, Yuqing Huang","doi":"10.5114/aoms/182910","DOIUrl":null,"url":null,"abstract":"<p><strong>Introduction: </strong>Osteoarthritis (OA) is a debilitating chronic disease with a high prevalence, characterized by progressive degeneration of articular cartilage that leads to joint dysfunction, pain, and disability. Observational studies investigating the link between cheese intake and OA have yielded inconclusive results and may be susceptible to confounding.</p><p><strong>Material and methods: </strong>We performed a two-sample Mendelian randomization (MR) investigation to evaluate the causal association between cheese intake and OA based on genome-wide association studies (GWAS). The primary analysis employed the inverse variance weighted (IVW) method, while complementary analyses were conducted using the weighted median, MR-Egger, and weighted mode methods. Moreover, we weighted each single nucleotide polymorphism's (SNP) effect on OA by its effect on cheese intake and subsequently meta-analyzed these estimates utilizing a fixed-effects model to provide a summary effect estimate. To assess the robustness of the outcomes, we performed a sensitivity analysis.</p><p><strong>Results: </strong>Our two-sample MR analysis revealed an inverse causal relationship between cheese intake and several types of OA, including self-reported OA (odds ratio (OR) = 0.96, 95% confidence interval (CI) = 0.94-0.97, <i>p</i> = 6.70 × 10<sup>-7</sup>), OA of the hip or knee (OR = 0.59, 95% CI = 0.48-0.72, <i>p</i> = 1.38 × 10<sup>-7</sup>), knee OA (OR = 0.52, 95% CI = 0.42-0.66, <i>p</i> = 4.11 × 10<sup>-8</sup>), and hip OA (OR = 0.72, 95% CI = 0.53-0.96, <i>p</i> = 0.0268). Additionally, the fixed-effects model also demonstrated a causal inverse association between cheese intake and OA, with a pooled meta-analysis OR of 0.95 (95% CI = 0.94-0.97, <i>p</i> < 0.0001).</p><p><strong>Conclusions: </strong>Our findings provided compelling genetic evidence of causal inverse associations between cheese intake and various types of OA, including self-reported OA, OA of the hip or knee, knee OA, and hip OA, which may enhance the efficacy of OA prevention by deepening our comprehension of the involved risk factors.</p>","PeriodicalId":8278,"journal":{"name":"Archives of Medical Science","volume":"20 6","pages":"1943-1956"},"PeriodicalIF":3.3000,"publicationDate":"2024-12-13","publicationTypes":"Journal Article","fieldsOfStudy":null,"isOpenAccess":false,"openAccessPdf":"https://www.ncbi.nlm.nih.gov/pmc/articles/PMC11831344/pdf/","citationCount":"0","resultStr":"{\"title\":\"The effect of cheese intake on osteoarthritis: a Mendelian randomization study.\",\"authors\":\"Song Wen, Zehan Huang, Bin Zhang, Yuqing Huang\",\"doi\":\"10.5114/aoms/182910\",\"DOIUrl\":null,\"url\":null,\"abstract\":\"<p><strong>Introduction: </strong>Osteoarthritis (OA) is a debilitating chronic disease with a high prevalence, characterized by progressive degeneration of articular cartilage that leads to joint dysfunction, pain, and disability. Observational studies investigating the link between cheese intake and OA have yielded inconclusive results and may be susceptible to confounding.</p><p><strong>Material and methods: </strong>We performed a two-sample Mendelian randomization (MR) investigation to evaluate the causal association between cheese intake and OA based on genome-wide association studies (GWAS). The primary analysis employed the inverse variance weighted (IVW) method, while complementary analyses were conducted using the weighted median, MR-Egger, and weighted mode methods. Moreover, we weighted each single nucleotide polymorphism's (SNP) effect on OA by its effect on cheese intake and subsequently meta-analyzed these estimates utilizing a fixed-effects model to provide a summary effect estimate. To assess the robustness of the outcomes, we performed a sensitivity analysis.</p><p><strong>Results: </strong>Our two-sample MR analysis revealed an inverse causal relationship between cheese intake and several types of OA, including self-reported OA (odds ratio (OR) = 0.96, 95% confidence interval (CI) = 0.94-0.97, <i>p</i> = 6.70 × 10<sup>-7</sup>), OA of the hip or knee (OR = 0.59, 95% CI = 0.48-0.72, <i>p</i> = 1.38 × 10<sup>-7</sup>), knee OA (OR = 0.52, 95% CI = 0.42-0.66, <i>p</i> = 4.11 × 10<sup>-8</sup>), and hip OA (OR = 0.72, 95% CI = 0.53-0.96, <i>p</i> = 0.0268). Additionally, the fixed-effects model also demonstrated a causal inverse association between cheese intake and OA, with a pooled meta-analysis OR of 0.95 (95% CI = 0.94-0.97, <i>p</i> < 0.0001).</p><p><strong>Conclusions: </strong>Our findings provided compelling genetic evidence of causal inverse associations between cheese intake and various types of OA, including self-reported OA, OA of the hip or knee, knee OA, and hip OA, which may enhance the efficacy of OA prevention by deepening our comprehension of the involved risk factors.</p>\",\"PeriodicalId\":8278,\"journal\":{\"name\":\"Archives of Medical Science\",\"volume\":\"20 6\",\"pages\":\"1943-1956\"},\"PeriodicalIF\":3.3000,\"publicationDate\":\"2024-12-13\",\"publicationTypes\":\"Journal Article\",\"fieldsOfStudy\":null,\"isOpenAccess\":false,\"openAccessPdf\":\"https://www.ncbi.nlm.nih.gov/pmc/articles/PMC11831344/pdf/\",\"citationCount\":\"0\",\"resultStr\":null,\"platform\":\"Semanticscholar\",\"paperid\":null,\"PeriodicalName\":\"Archives of Medical Science\",\"FirstCategoryId\":\"3\",\"ListUrlMain\":\"https://doi.org/10.5114/aoms/182910\",\"RegionNum\":4,\"RegionCategory\":\"医学\",\"ArticlePicture\":[],\"TitleCN\":null,\"AbstractTextCN\":null,\"PMCID\":null,\"EPubDate\":\"2024/1/1 0:00:00\",\"PubModel\":\"eCollection\",\"JCR\":\"Q1\",\"JCRName\":\"MEDICINE, GENERAL & INTERNAL\",\"Score\":null,\"Total\":0}","platform":"Semanticscholar","paperid":null,"PeriodicalName":"Archives of Medical Science","FirstCategoryId":"3","ListUrlMain":"https://doi.org/10.5114/aoms/182910","RegionNum":4,"RegionCategory":"医学","ArticlePicture":[],"TitleCN":null,"AbstractTextCN":null,"PMCID":null,"EPubDate":"2024/1/1 0:00:00","PubModel":"eCollection","JCR":"Q1","JCRName":"MEDICINE, GENERAL & INTERNAL","Score":null,"Total":0}
引用次数: 0

摘要

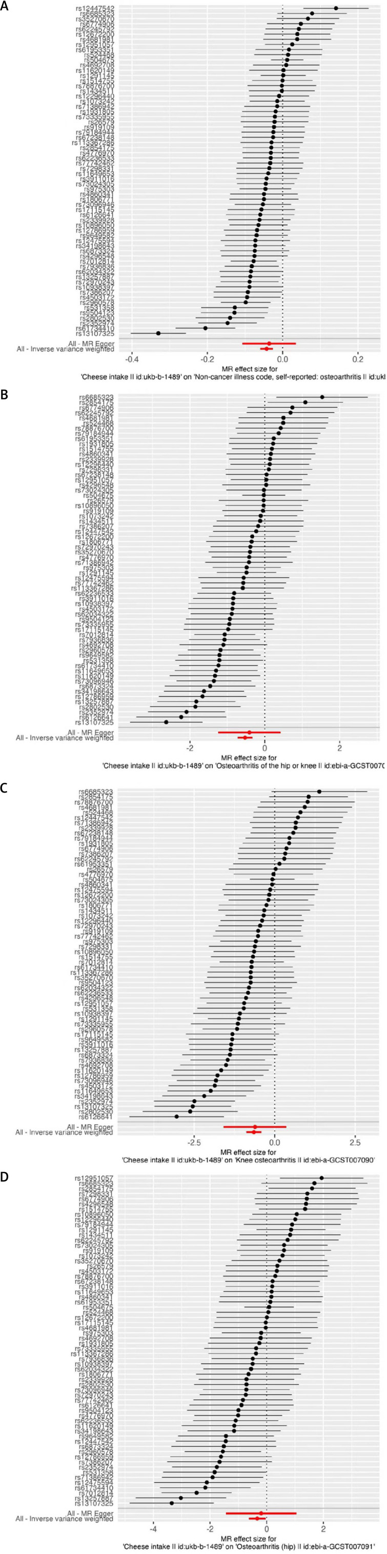
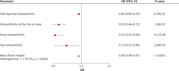
骨关节炎(OA)是一种高患病率的慢性衰弱疾病,其特征是关节软骨进行性退行性变,导致关节功能障碍、疼痛和残疾。观察性研究调查了奶酪摄入量和OA之间的联系,得出了不确定的结果,可能容易混淆。材料和方法:我们基于全基因组关联研究(GWAS)进行了一项双样本孟德尔随机化(MR)调查,以评估奶酪摄入量与OA之间的因果关系。主要分析采用逆方差加权法(IVW),补充分析采用加权中位数法、MR-Egger法和加权模式法。此外,我们通过对奶酪摄入量的影响来加权每个单核苷酸多态性(SNP)对OA的影响,随后利用固定效应模型对这些估计进行meta分析,以提供总结效应估计。为了评估结果的稳健性,我们进行了敏感性分析。结果:我们两个示例,分析发现逆因果关系奶酪摄入量和几种类型的办公自动化,包括自述OA(比值比(或)= 0.96,95%可信区间(CI) = 0.94 - -0.97, p = 6.70×10 - 7)结果,OA的髋关节或膝关节(OR = 0.59, 95% CI -0.72 = 0.48, p = 1.38×10 - 7)结果,膝OA (OR = 0.52, 95% CI -0.66 = 0.42, p = 4.11×换,和髋关节OA (OR = 0.72, 95% CI -0.96 = 0.53, p = 0.0268)。此外,固定效应模型还显示奶酪摄入量与OA之间存在因果负相关,合并荟萃分析OR为0.95 (95% CI = 0.94-0.97, p < 0.0001)。结论:我们的研究结果提供了令人信服的遗传证据,证明奶酪摄入量与各种类型的OA之间存在因果负相关,包括自我报告的OA,髋关节或膝关节OA,膝关节OA和髋关节OA,这可能通过加深我们对相关危险因素的理解来提高OA预防的效果。
本文章由计算机程序翻译,如有差异,请以英文原文为准。

The effect of cheese intake on osteoarthritis: a Mendelian randomization study.

The effect of cheese intake on osteoarthritis: a Mendelian randomization study.

The effect of cheese intake on osteoarthritis: a Mendelian randomization study.

The effect of cheese intake on osteoarthritis: a Mendelian randomization study.

Introduction: Osteoarthritis (OA) is a debilitating chronic disease with a high prevalence, characterized by progressive degeneration of articular cartilage that leads to joint dysfunction, pain, and disability. Observational studies investigating the link between cheese intake and OA have yielded inconclusive results and may be susceptible to confounding.

Material and methods: We performed a two-sample Mendelian randomization (MR) investigation to evaluate the causal association between cheese intake and OA based on genome-wide association studies (GWAS). The primary analysis employed the inverse variance weighted (IVW) method, while complementary analyses were conducted using the weighted median, MR-Egger, and weighted mode methods. Moreover, we weighted each single nucleotide polymorphism's (SNP) effect on OA by its effect on cheese intake and subsequently meta-analyzed these estimates utilizing a fixed-effects model to provide a summary effect estimate. To assess the robustness of the outcomes, we performed a sensitivity analysis.

Results: Our two-sample MR analysis revealed an inverse causal relationship between cheese intake and several types of OA, including self-reported OA (odds ratio (OR) = 0.96, 95% confidence interval (CI) = 0.94-0.97, p = 6.70 × 10-7), OA of the hip or knee (OR = 0.59, 95% CI = 0.48-0.72, p = 1.38 × 10-7), knee OA (OR = 0.52, 95% CI = 0.42-0.66, p = 4.11 × 10-8), and hip OA (OR = 0.72, 95% CI = 0.53-0.96, p = 0.0268). Additionally, the fixed-effects model also demonstrated a causal inverse association between cheese intake and OA, with a pooled meta-analysis OR of 0.95 (95% CI = 0.94-0.97, p < 0.0001).

Conclusions: Our findings provided compelling genetic evidence of causal inverse associations between cheese intake and various types of OA, including self-reported OA, OA of the hip or knee, knee OA, and hip OA, which may enhance the efficacy of OA prevention by deepening our comprehension of the involved risk factors.

求助全文
通过发布文献求助,成功后即可免费获取论文全文。 去求助
来源期刊
Archives of Medical Science
Archives of Medical Science 医学-医学:内科
CiteScore
4.90
自引率
7.90%
发文量
139
审稿时长
1.7 months
期刊介绍: Archives of Medical Science (AMS) publishes high quality original articles and reviews of recognized scientists that deal with all scientific medicine. AMS opens the possibilities for young, capable scientists. The journal would like to give them a chance to have a publication following matter-of-fact, professional review by outstanding, famous medical scientists. Thanks to that they will have an opportunity to present their study results and/or receive useful advice about the mistakes they have made so far. The second equally important aim is a presentation of review manuscripts of recognized scientists about the educational capacity, in order that young scientists, often at the beginning of their scientific carrier, could constantly deepen their medical knowledge and be up-to-date with current guidelines and trends in world-wide medicine. The fact that our educational articles are written by world-famous scientists determines their innovation and the highest quality.
×
引用
GB/T 7714-2015
复制
MLA
复制
APA
复制
导出至
BibTeX EndNote RefMan NoteFirst NoteExpress
×
提示
您的信息不完整,为了账户安全,请先补充。
现在去补充
×
提示
您因"违规操作"
具体请查看互助需知
我知道了
×
提示
确定
请完成安全验证×
copy
已复制链接
快去分享给好友吧!
我知道了
右上角分享
点击右上角分享
0
联系我们:info@booksci.cn Book学术提供免费学术资源搜索服务,方便国内外学者检索中英文文献。致力于提供最便捷和优质的服务体验。 Copyright © 2023 布克学术 All rights reserved.
京ICP备2023020795号-1
ghs 京公网安备 11010802042870号
Book学术文献互助
Book学术文献互助群
群 号:604180095
Book学术官方微信