老年糖尿病患者潜在的过度治疗:来自德国全科实践的横断面研究结果。

IF 2.5 4区 医学 Q2 MEDICINE, GENERAL & INTERNAL
European Journal of General Practice Pub Date : 2025-12-01 Epub Date: 2025-02-18 DOI:10.1080/13814788.2024.2447723
Solveig Weise, Christiane Oelschläger, Susanne Unverzagt, Jens Abendroth, Marcus Heise, Thomas Frese
{"title":"老年糖尿病患者潜在的过度治疗:来自德国全科实践的横断面研究结果。","authors":"Solveig Weise, Christiane Oelschläger, Susanne Unverzagt, Jens Abendroth, Marcus Heise, Thomas Frese","doi":"10.1080/13814788.2024.2447723","DOIUrl":null,"url":null,"abstract":"<p><strong>Background: </strong>It is important for general practitioners (GPs) to protect elderly patients with diagnosis of diabetes type 2 (DM2) from overtreatment.</p><p><strong>Objective: </strong>To analyse the metabolic control and treatment of elderly patients with DM2 in general practices.</p><p><strong>Methods: </strong>This cross-sectional study involved 46 general practices in a federal state of Germany. Inclusion criteria for patients were diagnosis of DM2, age of 70 years or above, no palliative care and at least one practice contact within the last six months. A study nurse randomly selected 10 eligible patients and extracted data on haemoglobin A1c (HbA1c), diabetes treatment, secondary prevention and GP's characteristics. Risk of overtreatment was defined as having a HbA1c <47.5 mmol/mol (6.5%) and receiving glucose-lowering drugs, and overtreatment as being at risk of overtreatment and being aged 80 years or above or living in a nursing home.</p><p><strong>Results: </strong>Among 460 participants, 36.0% received oral-antidiabetic drugs, 16.7% insulin, 16.2% both and 31.1% received diet/exercise. Overtreatment occurred in 12% of elderly patients with DM2, risk of overtreatment in 24%. Overtreatment was significantly associated with urban residency (OR 2.17). Female elderly patients with DM2 were significantly less often at risk of overtreatment (OR 0.59). Cluster effects were evident between general practices' treatment and monitoring of elderly patients with DM2 in quantitative data.</p><p><strong>Conclusion: </strong>Overtreatment is a relevant problem in elderly patients with DM2 for which GPs should regularly check and start deprescribing. Cluster effects suggest heterogeneity between general practices in diabetes management and monitoring.</p>","PeriodicalId":54380,"journal":{"name":"European Journal of General Practice","volume":"31 1","pages":"2447723"},"PeriodicalIF":2.5000,"publicationDate":"2025-12-01","publicationTypes":"Journal Article","fieldsOfStudy":null,"isOpenAccess":false,"openAccessPdf":"https://www.ncbi.nlm.nih.gov/pmc/articles/PMC11837937/pdf/","citationCount":"0","resultStr":"{\"title\":\"Potential overtreatment in elderly patients with diabetes mellitus: Results from a cross-sectional study in German general practice.\",\"authors\":\"Solveig Weise, Christiane Oelschläger, Susanne Unverzagt, Jens Abendroth, Marcus Heise, Thomas Frese\",\"doi\":\"10.1080/13814788.2024.2447723\",\"DOIUrl\":null,\"url\":null,\"abstract\":\"<p><strong>Background: </strong>It is important for general practitioners (GPs) to protect elderly patients with diagnosis of diabetes type 2 (DM2) from overtreatment.</p><p><strong>Objective: </strong>To analyse the metabolic control and treatment of elderly patients with DM2 in general practices.</p><p><strong>Methods: </strong>This cross-sectional study involved 46 general practices in a federal state of Germany. Inclusion criteria for patients were diagnosis of DM2, age of 70 years or above, no palliative care and at least one practice contact within the last six months. A study nurse randomly selected 10 eligible patients and extracted data on haemoglobin A1c (HbA1c), diabetes treatment, secondary prevention and GP's characteristics. Risk of overtreatment was defined as having a HbA1c <47.5 mmol/mol (6.5%) and receiving glucose-lowering drugs, and overtreatment as being at risk of overtreatment and being aged 80 years or above or living in a nursing home.</p><p><strong>Results: </strong>Among 460 participants, 36.0% received oral-antidiabetic drugs, 16.7% insulin, 16.2% both and 31.1% received diet/exercise. Overtreatment occurred in 12% of elderly patients with DM2, risk of overtreatment in 24%. Overtreatment was significantly associated with urban residency (OR 2.17). Female elderly patients with DM2 were significantly less often at risk of overtreatment (OR 0.59). Cluster effects were evident between general practices' treatment and monitoring of elderly patients with DM2 in quantitative data.</p><p><strong>Conclusion: </strong>Overtreatment is a relevant problem in elderly patients with DM2 for which GPs should regularly check and start deprescribing. Cluster effects suggest heterogeneity between general practices in diabetes management and monitoring.</p>\",\"PeriodicalId\":54380,\"journal\":{\"name\":\"European Journal of General Practice\",\"volume\":\"31 1\",\"pages\":\"2447723\"},\"PeriodicalIF\":2.5000,\"publicationDate\":\"2025-12-01\",\"publicationTypes\":\"Journal Article\",\"fieldsOfStudy\":null,\"isOpenAccess\":false,\"openAccessPdf\":\"https://www.ncbi.nlm.nih.gov/pmc/articles/PMC11837937/pdf/\",\"citationCount\":\"0\",\"resultStr\":null,\"platform\":\"Semanticscholar\",\"paperid\":null,\"PeriodicalName\":\"European Journal of General Practice\",\"FirstCategoryId\":\"3\",\"ListUrlMain\":\"https://doi.org/10.1080/13814788.2024.2447723\",\"RegionNum\":4,\"RegionCategory\":\"医学\",\"ArticlePicture\":[],\"TitleCN\":null,\"AbstractTextCN\":null,\"PMCID\":null,\"EPubDate\":\"2025/2/18 0:00:00\",\"PubModel\":\"Epub\",\"JCR\":\"Q2\",\"JCRName\":\"MEDICINE, GENERAL & INTERNAL\",\"Score\":null,\"Total\":0}","platform":"Semanticscholar","paperid":null,"PeriodicalName":"European Journal of General Practice","FirstCategoryId":"3","ListUrlMain":"https://doi.org/10.1080/13814788.2024.2447723","RegionNum":4,"RegionCategory":"医学","ArticlePicture":[],"TitleCN":null,"AbstractTextCN":null,"PMCID":null,"EPubDate":"2025/2/18 0:00:00","PubModel":"Epub","JCR":"Q2","JCRName":"MEDICINE, GENERAL & INTERNAL","Score":null,"Total":0}
引用次数: 0

摘要

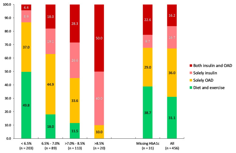
背景:对于全科医生(gp)来说,保护诊断为2型糖尿病(DM2)的老年患者避免过度治疗是非常重要的。目的:分析老年DM2患者的代谢控制及治疗方法。方法:本横断面研究涉及德国联邦州的46个全科诊所。纳入标准为诊断为DM2,年龄70岁及以上,未接受姑息治疗,近6个月内至少有一次执业接触。研究护士随机选取10例符合条件的患者,提取其糖化血红蛋白(HbA1c)、糖尿病治疗、二级预防及GP特征等数据。结果:460名参与者中,36.0%接受口服降糖药治疗,16.7%接受胰岛素治疗,16.2%两者都接受治疗,31.1%接受饮食/运动治疗。老年DM2患者中有过度治疗的占12%,有过度治疗风险的占24%。过度治疗与城市居住显著相关(OR 2.17)。老年女性DM2患者出现过度治疗风险的几率明显降低(OR 0.59)。在定量数据中,全科医生治疗与老年DM2患者监测之间存在明显的聚类效应。结论:过度治疗是老年DM2患者的一个相关问题,全科医生应定期检查并开始处方。聚类效应表明糖尿病管理和监测的一般做法存在异质性。
本文章由计算机程序翻译,如有差异,请以英文原文为准。

Potential overtreatment in elderly patients with diabetes mellitus: Results from a cross-sectional study in German general practice.

Potential overtreatment in elderly patients with diabetes mellitus: Results from a cross-sectional study in German general practice.

Potential overtreatment in elderly patients with diabetes mellitus: Results from a cross-sectional study in German general practice.

Potential overtreatment in elderly patients with diabetes mellitus: Results from a cross-sectional study in German general practice.

Background: It is important for general practitioners (GPs) to protect elderly patients with diagnosis of diabetes type 2 (DM2) from overtreatment.

Objective: To analyse the metabolic control and treatment of elderly patients with DM2 in general practices.

Methods: This cross-sectional study involved 46 general practices in a federal state of Germany. Inclusion criteria for patients were diagnosis of DM2, age of 70 years or above, no palliative care and at least one practice contact within the last six months. A study nurse randomly selected 10 eligible patients and extracted data on haemoglobin A1c (HbA1c), diabetes treatment, secondary prevention and GP's characteristics. Risk of overtreatment was defined as having a HbA1c <47.5 mmol/mol (6.5%) and receiving glucose-lowering drugs, and overtreatment as being at risk of overtreatment and being aged 80 years or above or living in a nursing home.

Results: Among 460 participants, 36.0% received oral-antidiabetic drugs, 16.7% insulin, 16.2% both and 31.1% received diet/exercise. Overtreatment occurred in 12% of elderly patients with DM2, risk of overtreatment in 24%. Overtreatment was significantly associated with urban residency (OR 2.17). Female elderly patients with DM2 were significantly less often at risk of overtreatment (OR 0.59). Cluster effects were evident between general practices' treatment and monitoring of elderly patients with DM2 in quantitative data.

Conclusion: Overtreatment is a relevant problem in elderly patients with DM2 for which GPs should regularly check and start deprescribing. Cluster effects suggest heterogeneity between general practices in diabetes management and monitoring.

求助全文
通过发布文献求助,成功后即可免费获取论文全文。 去求助
来源期刊
European Journal of General Practice
European Journal of General Practice PRIMARY HEALTH CARE-MEDICINE, GENERAL & INTERNAL
CiteScore
5.10
自引率
5.90%
发文量
31
审稿时长
>12 weeks
期刊介绍: The EJGP aims to: foster scientific research in primary care medicine (family medicine, general practice) in Europe stimulate education and debate, relevant for the development of primary care medicine in Europe. Scope The EJGP publishes original research papers, review articles and clinical case reports on all aspects of primary care medicine (family medicine, general practice), providing new knowledge on medical decision-making, healthcare delivery, medical education, and research methodology. Areas covered include primary care epidemiology, prevention, diagnosis, pharmacotherapy, non-drug interventions, multi- and comorbidity, palliative care, shared decision making, inter-professional collaboration, quality and safety, training and teaching, and quantitative and qualitative research methods.
×
引用
GB/T 7714-2015
复制
MLA
复制
APA
复制
导出至
BibTeX EndNote RefMan NoteFirst NoteExpress
×
提示
您的信息不完整,为了账户安全,请先补充。
现在去补充
×
提示
您因"违规操作"
具体请查看互助需知
我知道了
×
提示
确定
请完成安全验证×
copy
已复制链接
快去分享给好友吧!
我知道了
右上角分享
点击右上角分享
0
联系我们:info@booksci.cn Book学术提供免费学术资源搜索服务,方便国内外学者检索中英文文献。致力于提供最便捷和优质的服务体验。 Copyright © 2023 布克学术 All rights reserved.
京ICP备2023020795号-1
ghs 京公网安备 11010802042870号
Book学术文献互助
Book学术文献互助群
群 号:604180095
Book学术官方微信