儿童精氨酸抗利尿激素缺乏症——基于25年单中心回顾性分析的诊断和治疗方法以提高患者的生活质量

Q3 Medicine
Dorota Roztoczyńska, Anna Iwańska, Anna Wędrychowicz, Dominika Januś, Agata Zygmunt-Górska, Małgorzata Wójcik, Jerzy Starzyk
{"title":"儿童精氨酸抗利尿激素缺乏症——基于25年单中心回顾性分析的诊断和治疗方法以提高患者的生活质量","authors":"Dorota Roztoczyńska, Anna Iwańska, Anna Wędrychowicz, Dominika Januś, Agata Zygmunt-Górska, Małgorzata Wójcik, Jerzy Starzyk","doi":"10.5114/pedm.2024.146684","DOIUrl":null,"url":null,"abstract":"<p><strong>Introduction: </strong>Arginine vasopressin deficiency (AVD) encompasses disorders marked by polyuria, polydipsia, hypernatraemia, and hyperosmolality. This study aims to refine diagnostic and therapeutic strategies to enhance the quality of life for AVD patients.</p><p><strong>Material and methods: </strong>We conducted a 25-year retrospective analysis of imaging, hormonal, auxological, and densitometric data from 31 children diagnosed with AVD at the Department of Paediatric and Adolescent Endocrinology, Children's Hospital in Krakow between 1998 and 2023.</p><p><strong>Results: </strong>The average duration from the onset of symptoms to AVD diagnosis was 10 months (range: 1-86 months), and from diagnosis to aetiology determination was 14 months (range: 0-86 months). Causes of AVD included idiopathic (9.7%), central nervous system tumours (61%), pituitary adenoma (5.2%), central nervous system malformations (9.7%), head trauma (6.5%), haemorrhage or hydrocephalus (6.5%), familial AVD (3.2%), and inflammatory central nervous system conditions (3.2%). Growth retardation was observed in 48.4% of cases, obesity in 41.9%, hormonal disorders in 61.3%, and low bone mass in 16.1%.</p><p><strong>Conclusions: </strong>We developed a diagnostic and metabolic evaluation scheme for AVD that facilitates earlier aetiology identification and helps prevent hormonal, metabolic, and bone complications. This approach is crucial for improving the quality of life in both developmental and adult stages for these patients.</p>","PeriodicalId":39165,"journal":{"name":"Pediatric Endocrinology, Diabetes and Metabolism","volume":"30 4","pages":"198-210"},"PeriodicalIF":0.0000,"publicationDate":"2024-01-01","publicationTypes":"Journal Article","fieldsOfStudy":null,"isOpenAccess":false,"openAccessPdf":"https://www.ncbi.nlm.nih.gov/pmc/articles/PMC11809552/pdf/","citationCount":"0","resultStr":"{\"title\":\"Deficiency of arginine vasopressin in children - diagnostic and therapeutic approaches to improve patients' quality of life based on a 25-year, single-centre retrospective analysis.\",\"authors\":\"Dorota Roztoczyńska, Anna Iwańska, Anna Wędrychowicz, Dominika Januś, Agata Zygmunt-Górska, Małgorzata Wójcik, Jerzy Starzyk\",\"doi\":\"10.5114/pedm.2024.146684\",\"DOIUrl\":null,\"url\":null,\"abstract\":\"<p><strong>Introduction: </strong>Arginine vasopressin deficiency (AVD) encompasses disorders marked by polyuria, polydipsia, hypernatraemia, and hyperosmolality. This study aims to refine diagnostic and therapeutic strategies to enhance the quality of life for AVD patients.</p><p><strong>Material and methods: </strong>We conducted a 25-year retrospective analysis of imaging, hormonal, auxological, and densitometric data from 31 children diagnosed with AVD at the Department of Paediatric and Adolescent Endocrinology, Children's Hospital in Krakow between 1998 and 2023.</p><p><strong>Results: </strong>The average duration from the onset of symptoms to AVD diagnosis was 10 months (range: 1-86 months), and from diagnosis to aetiology determination was 14 months (range: 0-86 months). Causes of AVD included idiopathic (9.7%), central nervous system tumours (61%), pituitary adenoma (5.2%), central nervous system malformations (9.7%), head trauma (6.5%), haemorrhage or hydrocephalus (6.5%), familial AVD (3.2%), and inflammatory central nervous system conditions (3.2%). Growth retardation was observed in 48.4% of cases, obesity in 41.9%, hormonal disorders in 61.3%, and low bone mass in 16.1%.</p><p><strong>Conclusions: </strong>We developed a diagnostic and metabolic evaluation scheme for AVD that facilitates earlier aetiology identification and helps prevent hormonal, metabolic, and bone complications. This approach is crucial for improving the quality of life in both developmental and adult stages for these patients.</p>\",\"PeriodicalId\":39165,\"journal\":{\"name\":\"Pediatric Endocrinology, Diabetes and Metabolism\",\"volume\":\"30 4\",\"pages\":\"198-210\"},\"PeriodicalIF\":0.0000,\"publicationDate\":\"2024-01-01\",\"publicationTypes\":\"Journal Article\",\"fieldsOfStudy\":null,\"isOpenAccess\":false,\"openAccessPdf\":\"https://www.ncbi.nlm.nih.gov/pmc/articles/PMC11809552/pdf/\",\"citationCount\":\"0\",\"resultStr\":null,\"platform\":\"Semanticscholar\",\"paperid\":null,\"PeriodicalName\":\"Pediatric Endocrinology, Diabetes and Metabolism\",\"FirstCategoryId\":\"1085\",\"ListUrlMain\":\"https://doi.org/10.5114/pedm.2024.146684\",\"RegionNum\":0,\"RegionCategory\":null,\"ArticlePicture\":[],\"TitleCN\":null,\"AbstractTextCN\":null,\"PMCID\":null,\"EPubDate\":\"\",\"PubModel\":\"\",\"JCR\":\"Q3\",\"JCRName\":\"Medicine\",\"Score\":null,\"Total\":0}","platform":"Semanticscholar","paperid":null,"PeriodicalName":"Pediatric Endocrinology, Diabetes and Metabolism","FirstCategoryId":"1085","ListUrlMain":"https://doi.org/10.5114/pedm.2024.146684","RegionNum":0,"RegionCategory":null,"ArticlePicture":[],"TitleCN":null,"AbstractTextCN":null,"PMCID":null,"EPubDate":"","PubModel":"","JCR":"Q3","JCRName":"Medicine","Score":null,"Total":0}
引用次数: 0

摘要

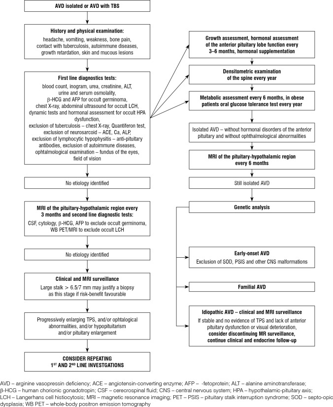
简介:精氨酸抗利尿素缺乏症(AVD)包括以多尿、多饮、高钠血症和高渗透压为特征的疾病。本研究旨在完善诊断和治疗策略,以提高AVD患者的生活质量。材料和方法:我们对1998年至2023年在克拉科夫儿童医院儿科和青少年内分泌科诊断为AVD的31名儿童的影像、激素、生理和密度数据进行了25年的回顾性分析。结果:从症状出现到AVD诊断平均时间为10个月(范围:1 ~ 86个月),从诊断到病因确定平均时间为14个月(范围:0 ~ 86个月)。AVD的病因包括特发性(9.7%)、中枢神经系统肿瘤(61%)、垂体腺瘤(5.2%)、中枢神经系统畸形(9.7%)、头部外伤(6.5%)、出血或脑积水(6.5%)、家族性AVD(3.2%)和炎症性中枢神经系统疾病(3.2%)。生长发育迟缓占48.4%,肥胖占41.9%,激素失调占61.3%,骨量低占16.1%。结论:我们开发了AVD的诊断和代谢评估方案,有助于早期病因识别,并有助于预防激素、代谢和骨骼并发症。这种方法对于改善这些患者在发育和成年阶段的生活质量至关重要。
本文章由计算机程序翻译,如有差异,请以英文原文为准。

Deficiency of arginine vasopressin in children - diagnostic and therapeutic approaches to improve patients' quality of life based on a 25-year, single-centre retrospective analysis.

Deficiency of arginine vasopressin in children - diagnostic and therapeutic approaches to improve patients' quality of life based on a 25-year, single-centre retrospective analysis.

Deficiency of arginine vasopressin in children - diagnostic and therapeutic approaches to improve patients' quality of life based on a 25-year, single-centre retrospective analysis.

Deficiency of arginine vasopressin in children - diagnostic and therapeutic approaches to improve patients' quality of life based on a 25-year, single-centre retrospective analysis.

Introduction: Arginine vasopressin deficiency (AVD) encompasses disorders marked by polyuria, polydipsia, hypernatraemia, and hyperosmolality. This study aims to refine diagnostic and therapeutic strategies to enhance the quality of life for AVD patients.

Material and methods: We conducted a 25-year retrospective analysis of imaging, hormonal, auxological, and densitometric data from 31 children diagnosed with AVD at the Department of Paediatric and Adolescent Endocrinology, Children's Hospital in Krakow between 1998 and 2023.

Results: The average duration from the onset of symptoms to AVD diagnosis was 10 months (range: 1-86 months), and from diagnosis to aetiology determination was 14 months (range: 0-86 months). Causes of AVD included idiopathic (9.7%), central nervous system tumours (61%), pituitary adenoma (5.2%), central nervous system malformations (9.7%), head trauma (6.5%), haemorrhage or hydrocephalus (6.5%), familial AVD (3.2%), and inflammatory central nervous system conditions (3.2%). Growth retardation was observed in 48.4% of cases, obesity in 41.9%, hormonal disorders in 61.3%, and low bone mass in 16.1%.

Conclusions: We developed a diagnostic and metabolic evaluation scheme for AVD that facilitates earlier aetiology identification and helps prevent hormonal, metabolic, and bone complications. This approach is crucial for improving the quality of life in both developmental and adult stages for these patients.

求助全文
通过发布文献求助,成功后即可免费获取论文全文。 去求助
来源期刊
Pediatric Endocrinology, Diabetes and Metabolism
Pediatric Endocrinology, Diabetes and Metabolism Medicine-Pediatrics, Perinatology and Child Health
CiteScore
2.00
自引率
0.00%
发文量
36
×
引用
GB/T 7714-2015
复制
MLA
复制
APA
复制
导出至
BibTeX EndNote RefMan NoteFirst NoteExpress
×
提示
您的信息不完整,为了账户安全,请先补充。
现在去补充
×
提示
您因"违规操作"
具体请查看互助需知
我知道了
×
提示
确定
请完成安全验证×
copy
已复制链接
快去分享给好友吧!
我知道了
右上角分享
点击右上角分享
0
联系我们:info@booksci.cn Book学术提供免费学术资源搜索服务,方便国内外学者检索中英文文献。致力于提供最便捷和优质的服务体验。 Copyright © 2023 布克学术 All rights reserved.
京ICP备2023020795号-1
ghs 京公网安备 11010802042870号
Book学术文献互助
Book学术文献互助群
群 号:604180095
Book学术官方微信