医疗服务利用的道德困境:基于中国城乡居民医疗保险政策整合的视角

IF 3.3 3区 经济学 Q1 ECONOMICS
Hui Yuan, Jubo Han, Ruifeng Luo
{"title":"医疗服务利用的道德困境:基于中国城乡居民医疗保险政策整合的视角","authors":"Hui Yuan, Jubo Han, Ruifeng Luo","doi":"10.1186/s13561-025-00591-1","DOIUrl":null,"url":null,"abstract":"<p><p>Patient moral hazard is a significant issue in healthcare system reform and a prominent factor affecting the efficiency of healthcare services in China. Based on the consolidation of urban and rural resident health insurance, this paper employs a staggered DID model to analyze the impact of patient moral hazard on the healthcare service utilization. The findings are as follows. First, the healthcare service utilization significantly increases after the consolidation of urban and rural resident health insurance. This conclusion remains robust when subjected to the placebo test, the mitigation of non-random policy effects, and the exclusion of other insurance type interference. Second, after considering the effects of patient healthcare demand release, supplier-induced demand, and collusion between doctors and patients, we find the evidence of patient moral hazard leading to increased healthcare service utilization. Third, patient moral hazard is mainly manifested in the heightened utilization of patients with general illnesses and middle income, indicating the phenomena of \"over-treatment for minor ailments\". The study is limited by its focus on expanded reimbursement in urban and rural insurance consolidation, excluding details like fund management changes. Future research should incorporate more policy details and longer time horizons.</p>","PeriodicalId":46936,"journal":{"name":"Health Economics Review","volume":"15 1","pages":"10"},"PeriodicalIF":3.3000,"publicationDate":"2025-02-18","publicationTypes":"Journal Article","fieldsOfStudy":null,"isOpenAccess":false,"openAccessPdf":"https://www.ncbi.nlm.nih.gov/pmc/articles/PMC11837384/pdf/","citationCount":"0","resultStr":"{\"title\":\"The moral dilemma of healthcare service utilization: a perspective from the consolidation of urban and rural resident health insurance policy in China.\",\"authors\":\"Hui Yuan, Jubo Han, Ruifeng Luo\",\"doi\":\"10.1186/s13561-025-00591-1\",\"DOIUrl\":null,\"url\":null,\"abstract\":\"<p><p>Patient moral hazard is a significant issue in healthcare system reform and a prominent factor affecting the efficiency of healthcare services in China. Based on the consolidation of urban and rural resident health insurance, this paper employs a staggered DID model to analyze the impact of patient moral hazard on the healthcare service utilization. The findings are as follows. First, the healthcare service utilization significantly increases after the consolidation of urban and rural resident health insurance. This conclusion remains robust when subjected to the placebo test, the mitigation of non-random policy effects, and the exclusion of other insurance type interference. Second, after considering the effects of patient healthcare demand release, supplier-induced demand, and collusion between doctors and patients, we find the evidence of patient moral hazard leading to increased healthcare service utilization. Third, patient moral hazard is mainly manifested in the heightened utilization of patients with general illnesses and middle income, indicating the phenomena of \\\"over-treatment for minor ailments\\\". The study is limited by its focus on expanded reimbursement in urban and rural insurance consolidation, excluding details like fund management changes. Future research should incorporate more policy details and longer time horizons.</p>\",\"PeriodicalId\":46936,\"journal\":{\"name\":\"Health Economics Review\",\"volume\":\"15 1\",\"pages\":\"10\"},\"PeriodicalIF\":3.3000,\"publicationDate\":\"2025-02-18\",\"publicationTypes\":\"Journal Article\",\"fieldsOfStudy\":null,\"isOpenAccess\":false,\"openAccessPdf\":\"https://www.ncbi.nlm.nih.gov/pmc/articles/PMC11837384/pdf/\",\"citationCount\":\"0\",\"resultStr\":null,\"platform\":\"Semanticscholar\",\"paperid\":null,\"PeriodicalName\":\"Health Economics Review\",\"FirstCategoryId\":\"96\",\"ListUrlMain\":\"https://doi.org/10.1186/s13561-025-00591-1\",\"RegionNum\":3,\"RegionCategory\":\"经济学\",\"ArticlePicture\":[],\"TitleCN\":null,\"AbstractTextCN\":null,\"PMCID\":null,\"EPubDate\":\"\",\"PubModel\":\"\",\"JCR\":\"Q1\",\"JCRName\":\"ECONOMICS\",\"Score\":null,\"Total\":0}","platform":"Semanticscholar","paperid":null,"PeriodicalName":"Health Economics Review","FirstCategoryId":"96","ListUrlMain":"https://doi.org/10.1186/s13561-025-00591-1","RegionNum":3,"RegionCategory":"经济学","ArticlePicture":[],"TitleCN":null,"AbstractTextCN":null,"PMCID":null,"EPubDate":"","PubModel":"","JCR":"Q1","JCRName":"ECONOMICS","Score":null,"Total":0}
引用次数: 0

摘要

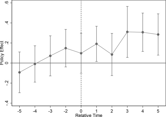
患者道德风险是医疗卫生体制改革中的一个重要问题,也是影响中国医疗卫生服务效率的一个突出因素。基于城乡居民医疗保险整合,采用交错DID模型分析患者道德风险对医疗服务利用的影响。研究结果如下。首先,城乡居民医疗保险合并后,医疗服务利用率显著提高。这一结论在接受安慰剂检验、缓解非随机政策效应和排除其他保险类型干扰时仍然是稳健的。其次,在考虑了患者医疗需求释放、供方诱导需求和医患合谋的影响后,我们发现了患者道德风险导致医疗服务利用率提高的证据。第三,患者道德风险主要表现在对一般疾病和中等收入患者的利用率提高,出现“小病滥医”现象。这项研究的局限性在于,它关注的是城乡保险合并中扩大的报销范围,不包括基金管理变化等细节。未来的研究应纳入更多的政策细节和更长的时间范围。
本文章由计算机程序翻译,如有差异,请以英文原文为准。

The moral dilemma of healthcare service utilization: a perspective from the consolidation of urban and rural resident health insurance policy in China.

The moral dilemma of healthcare service utilization: a perspective from the consolidation of urban and rural resident health insurance policy in China.

The moral dilemma of healthcare service utilization: a perspective from the consolidation of urban and rural resident health insurance policy in China.

The moral dilemma of healthcare service utilization: a perspective from the consolidation of urban and rural resident health insurance policy in China.

Patient moral hazard is a significant issue in healthcare system reform and a prominent factor affecting the efficiency of healthcare services in China. Based on the consolidation of urban and rural resident health insurance, this paper employs a staggered DID model to analyze the impact of patient moral hazard on the healthcare service utilization. The findings are as follows. First, the healthcare service utilization significantly increases after the consolidation of urban and rural resident health insurance. This conclusion remains robust when subjected to the placebo test, the mitigation of non-random policy effects, and the exclusion of other insurance type interference. Second, after considering the effects of patient healthcare demand release, supplier-induced demand, and collusion between doctors and patients, we find the evidence of patient moral hazard leading to increased healthcare service utilization. Third, patient moral hazard is mainly manifested in the heightened utilization of patients with general illnesses and middle income, indicating the phenomena of "over-treatment for minor ailments". The study is limited by its focus on expanded reimbursement in urban and rural insurance consolidation, excluding details like fund management changes. Future research should incorporate more policy details and longer time horizons.

求助全文
通过发布文献求助,成功后即可免费获取论文全文。 去求助
来源期刊
CiteScore
3.90
自引率
4.20%
发文量
59
审稿时长
13 weeks
期刊介绍: Health Economics Review is an international high-quality journal covering all fields of Health Economics. A broad range of theoretical contributions, empirical studies and analyses of health policy with a health economic focus will be considered for publication. Its scope includes macro- and microeconomics of health care financing, health insurance and reimbursement as well as health economic evaluation, health services research and health policy analysis. Further research topics are the individual and institutional aspects of health care management and the growing importance of health care in developing countries.
×
引用
GB/T 7714-2015
复制
MLA
复制
APA
复制
导出至
BibTeX EndNote RefMan NoteFirst NoteExpress
×
提示
您的信息不完整,为了账户安全,请先补充。
现在去补充
×
提示
您因"违规操作"
具体请查看互助需知
我知道了
×
提示
确定
请完成安全验证×
copy
已复制链接
快去分享给好友吧!
我知道了
右上角分享
点击右上角分享
0
联系我们:info@booksci.cn Book学术提供免费学术资源搜索服务,方便国内外学者检索中英文文献。致力于提供最便捷和优质的服务体验。 Copyright © 2023 布克学术 All rights reserved.
京ICP备2023020795号-1
ghs 京公网安备 11010802042870号
Book学术文献互助
Book学术文献互助群
群 号:604180095
Book学术官方微信