利用粪便激素分析对圈养狮子(Panthera leo)的应激和繁殖进行无创评估。

IF 1.4 4区 生物学 Q3 VETERINARY SCIENCES
Zoo Biology Pub Date : 2025-05-01 Epub Date: 2025-02-18 DOI:10.1002/zoo.21891
Paula Serres-Corral, Vanessa Almagro, Conrad Ensenyat, Loles Carbonell, Santiago Borragán, Eva Martínez-Nevado, Miguel Angel Quevedo, Hugo Fernández-Bellon, Annaïs Carbajal, Manel López-Béjar
{"title":"利用粪便激素分析对圈养狮子(Panthera leo)的应激和繁殖进行无创评估。","authors":"Paula Serres-Corral, Vanessa Almagro, Conrad Ensenyat, Loles Carbonell, Santiago Borragán, Eva Martínez-Nevado, Miguel Angel Quevedo, Hugo Fernández-Bellon, Annaïs Carbajal, Manel López-Béjar","doi":"10.1002/zoo.21891","DOIUrl":null,"url":null,"abstract":"<p><p>Assessing steroid hormones through feces provides invaluable insight on the stress and reproductive physiology of wildlife, and has been broadly applied to monitor the health and welfare of wild animals managed under human care. This study utilized fecal hormone monitoring to evaluate adrenal and gonadal activity in 18 captive lions (Panthera leo) across five Spanish zoological institutions, focusing on how biological and management factors affect these metrics. We analyzed fecal glucocorticoid metabolites (FGM) concentrations and, additionally in females, fecal progesterone (FPM), estradiol (FEM), and androgen (FAM) metabolites in relation to their reproductive status. Results indicated significant variability in FGM levels among individuals, with no consistent trends influenced by sex or zoo environment, including changes in the frequency of providing environmental enrichment at two zoos. Importantly, reproductive status significantly impacted adrenal and gonadal hormone levels; ovariectomized lionesses showed lower concentrations of FGM, FPM, and FEM compared to intact and deslorelin-implanted females, the latter of which exhibited higher and more variable FAM levels. These findings advance our understanding of hormone patterns in lions and suggest implications for their management in captivity.</p>","PeriodicalId":24035,"journal":{"name":"Zoo Biology","volume":" ","pages":"248-261"},"PeriodicalIF":1.4000,"publicationDate":"2025-05-01","publicationTypes":"Journal Article","fieldsOfStudy":null,"isOpenAccess":false,"openAccessPdf":"https://www.ncbi.nlm.nih.gov/pmc/articles/PMC12131674/pdf/","citationCount":"0","resultStr":"{\"title\":\"Noninvasive Assessment of Stress and Reproduction in Captive Lions (Panthera leo) Using Fecal Hormone Analysis.\",\"authors\":\"Paula Serres-Corral, Vanessa Almagro, Conrad Ensenyat, Loles Carbonell, Santiago Borragán, Eva Martínez-Nevado, Miguel Angel Quevedo, Hugo Fernández-Bellon, Annaïs Carbajal, Manel López-Béjar\",\"doi\":\"10.1002/zoo.21891\",\"DOIUrl\":null,\"url\":null,\"abstract\":\"<p><p>Assessing steroid hormones through feces provides invaluable insight on the stress and reproductive physiology of wildlife, and has been broadly applied to monitor the health and welfare of wild animals managed under human care. This study utilized fecal hormone monitoring to evaluate adrenal and gonadal activity in 18 captive lions (Panthera leo) across five Spanish zoological institutions, focusing on how biological and management factors affect these metrics. We analyzed fecal glucocorticoid metabolites (FGM) concentrations and, additionally in females, fecal progesterone (FPM), estradiol (FEM), and androgen (FAM) metabolites in relation to their reproductive status. Results indicated significant variability in FGM levels among individuals, with no consistent trends influenced by sex or zoo environment, including changes in the frequency of providing environmental enrichment at two zoos. Importantly, reproductive status significantly impacted adrenal and gonadal hormone levels; ovariectomized lionesses showed lower concentrations of FGM, FPM, and FEM compared to intact and deslorelin-implanted females, the latter of which exhibited higher and more variable FAM levels. These findings advance our understanding of hormone patterns in lions and suggest implications for their management in captivity.</p>\",\"PeriodicalId\":24035,\"journal\":{\"name\":\"Zoo Biology\",\"volume\":\" \",\"pages\":\"248-261\"},\"PeriodicalIF\":1.4000,\"publicationDate\":\"2025-05-01\",\"publicationTypes\":\"Journal Article\",\"fieldsOfStudy\":null,\"isOpenAccess\":false,\"openAccessPdf\":\"https://www.ncbi.nlm.nih.gov/pmc/articles/PMC12131674/pdf/\",\"citationCount\":\"0\",\"resultStr\":null,\"platform\":\"Semanticscholar\",\"paperid\":null,\"PeriodicalName\":\"Zoo Biology\",\"FirstCategoryId\":\"99\",\"ListUrlMain\":\"https://doi.org/10.1002/zoo.21891\",\"RegionNum\":4,\"RegionCategory\":\"生物学\",\"ArticlePicture\":[],\"TitleCN\":null,\"AbstractTextCN\":null,\"PMCID\":null,\"EPubDate\":\"2025/2/18 0:00:00\",\"PubModel\":\"Epub\",\"JCR\":\"Q3\",\"JCRName\":\"VETERINARY SCIENCES\",\"Score\":null,\"Total\":0}","platform":"Semanticscholar","paperid":null,"PeriodicalName":"Zoo Biology","FirstCategoryId":"99","ListUrlMain":"https://doi.org/10.1002/zoo.21891","RegionNum":4,"RegionCategory":"生物学","ArticlePicture":[],"TitleCN":null,"AbstractTextCN":null,"PMCID":null,"EPubDate":"2025/2/18 0:00:00","PubModel":"Epub","JCR":"Q3","JCRName":"VETERINARY SCIENCES","Score":null,"Total":0}
引用次数: 0

摘要

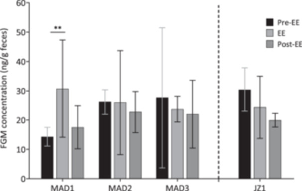
通过粪便评估类固醇激素为了解野生动物的应激和生殖生理提供了宝贵的见解,并已广泛应用于监测在人类护理下管理的野生动物的健康和福利。本研究利用粪便激素监测来评估西班牙5家动物机构18只圈养狮子(Panthera leo)的肾上腺和性腺活动,重点研究生物和管理因素如何影响这些指标。我们分析了粪便中糖皮质激素代谢物(FGM)的浓度,以及雌性粪便中孕酮(FPM)、雌二醇(FEM)和雄激素(FAM)代谢物与生殖状态的关系。结果表明,个体间女性外阴残割水平存在显著差异,性别或动物园环境对其影响趋势不一致,包括两个动物园提供环境富集的频率的变化。重要的是,生殖状态显著影响肾上腺素和性腺激素水平;与未切除卵巢和植入地洛林的雌狮相比,切除卵巢的雌狮的FGM、FPM和FEM浓度较低,后者的FAM水平更高,且变化更大。这些发现促进了我们对狮子激素模式的理解,并对圈养狮子的管理提出了建议。
本文章由计算机程序翻译,如有差异,请以英文原文为准。

Noninvasive Assessment of Stress and Reproduction in Captive Lions (Panthera leo) Using Fecal Hormone Analysis.

Noninvasive Assessment of Stress and Reproduction in Captive Lions (Panthera leo) Using Fecal Hormone Analysis.

Noninvasive Assessment of Stress and Reproduction in Captive Lions (Panthera leo) Using Fecal Hormone Analysis.

Noninvasive Assessment of Stress and Reproduction in Captive Lions (Panthera leo) Using Fecal Hormone Analysis.

Assessing steroid hormones through feces provides invaluable insight on the stress and reproductive physiology of wildlife, and has been broadly applied to monitor the health and welfare of wild animals managed under human care. This study utilized fecal hormone monitoring to evaluate adrenal and gonadal activity in 18 captive lions (Panthera leo) across five Spanish zoological institutions, focusing on how biological and management factors affect these metrics. We analyzed fecal glucocorticoid metabolites (FGM) concentrations and, additionally in females, fecal progesterone (FPM), estradiol (FEM), and androgen (FAM) metabolites in relation to their reproductive status. Results indicated significant variability in FGM levels among individuals, with no consistent trends influenced by sex or zoo environment, including changes in the frequency of providing environmental enrichment at two zoos. Importantly, reproductive status significantly impacted adrenal and gonadal hormone levels; ovariectomized lionesses showed lower concentrations of FGM, FPM, and FEM compared to intact and deslorelin-implanted females, the latter of which exhibited higher and more variable FAM levels. These findings advance our understanding of hormone patterns in lions and suggest implications for their management in captivity.

求助全文
通过发布文献求助,成功后即可免费获取论文全文。 去求助
来源期刊
Zoo Biology
Zoo Biology 生物-动物学
CiteScore
2.50
自引率
15.40%
发文量
85
审稿时长
6-12 weeks
期刊介绍: Zoo Biology is concerned with reproduction, demographics, genetics, behavior, medicine, husbandry, nutrition, conservation and all empirical aspects of the exhibition and maintenance of wild animals in wildlife parks, zoos, and aquariums. This diverse journal offers a forum for effectively communicating scientific findings, original ideas, and critical thinking related to the role of wildlife collections and their unique contribution to conservation.
×
引用
GB/T 7714-2015
复制
MLA
复制
APA
复制
导出至
BibTeX EndNote RefMan NoteFirst NoteExpress
×
提示
您的信息不完整,为了账户安全,请先补充。
现在去补充
×
提示
您因"违规操作"
具体请查看互助需知
我知道了
×
提示
确定
请完成安全验证×
copy
已复制链接
快去分享给好友吧!
我知道了
右上角分享
点击右上角分享
0
联系我们:info@booksci.cn Book学术提供免费学术资源搜索服务,方便国内外学者检索中英文文献。致力于提供最便捷和优质的服务体验。 Copyright © 2023 布克学术 All rights reserved.
京ICP备2023020795号-1
ghs 京公网安备 11010802042870号
Book学术文献互助
Book学术文献互助群
群 号:604180095
Book学术官方微信