茉莉酸(Jasmonic Acid, JA)信号通路在水稻抗辣椒病中的应用

IF 5 1区 农林科学 Q1 AGRONOMY
Rice Pub Date : 2025-02-18 DOI:10.1186/s12284-025-00761-z
Andrews Danso Ofori, Wei Su, Tengda Zheng, Osmond Datsomor, John Kwame Titriku, Xing Xiang, Abdul Ghani Kandhro, Muhammad Irfan Ahmed, Edzesi Wisdom Mawuli, Richard Tuyee Awuah, Aiping Zheng
{"title":"茉莉酸(Jasmonic Acid, JA)信号通路在水稻抗辣椒病中的应用","authors":"Andrews Danso Ofori, Wei Su, Tengda Zheng, Osmond Datsomor, John Kwame Titriku, Xing Xiang, Abdul Ghani Kandhro, Muhammad Irfan Ahmed, Edzesi Wisdom Mawuli, Richard Tuyee Awuah, Aiping Zheng","doi":"10.1186/s12284-025-00761-z","DOIUrl":null,"url":null,"abstract":"<p><p>Jasmonic acid (JA) signaling plays a crucial role in rice defense against the striped stem borer, Chilo suppressalis, a notorious pest causing significant yield losses. This review explores the current understanding of JA-mediated defense mechanisms in rice, focusing on the molecular basis, regulatory elements, and practical implications for pest management. JA biosynthesis and signaling pathways are induced upon C. suppressalis infestation, leading to the activation of various defense responses. These include upregulation of JA-responsive genes involved in the production of proteinase inhibitors, volatile organic compounds, and other defensive compounds. The review also discusses the crosstalk between JA and other hormonal pathways, such as salicylic acid and ethylene, in fine-tuning defense responses. Structural modifications in rice plants, such as cell wall reinforcement and accumulation of secondary metabolites, have been highlighted as key components of JA-mediated defense against C. suppressalis. Furthermore, the practical applications of this knowledge in breeding insect-resistant rice varieties and developing sustainable pest management strategies were explored. Future research directions are proposed to further elucidate the complexities of JA signaling in rice-insect interactions and harness this knowledge to enhance crop protection.</p>","PeriodicalId":21408,"journal":{"name":"Rice","volume":"18 1","pages":"7"},"PeriodicalIF":5.0000,"publicationDate":"2025-02-18","publicationTypes":"Journal Article","fieldsOfStudy":null,"isOpenAccess":false,"openAccessPdf":"https://www.ncbi.nlm.nih.gov/pmc/articles/PMC11836255/pdf/","citationCount":"0","resultStr":"{\"title\":\"Jasmonic Acid (JA) Signaling Pathway in Rice Defense Against Chilo suppressalis Infestation.\",\"authors\":\"Andrews Danso Ofori, Wei Su, Tengda Zheng, Osmond Datsomor, John Kwame Titriku, Xing Xiang, Abdul Ghani Kandhro, Muhammad Irfan Ahmed, Edzesi Wisdom Mawuli, Richard Tuyee Awuah, Aiping Zheng\",\"doi\":\"10.1186/s12284-025-00761-z\",\"DOIUrl\":null,\"url\":null,\"abstract\":\"<p><p>Jasmonic acid (JA) signaling plays a crucial role in rice defense against the striped stem borer, Chilo suppressalis, a notorious pest causing significant yield losses. This review explores the current understanding of JA-mediated defense mechanisms in rice, focusing on the molecular basis, regulatory elements, and practical implications for pest management. JA biosynthesis and signaling pathways are induced upon C. suppressalis infestation, leading to the activation of various defense responses. These include upregulation of JA-responsive genes involved in the production of proteinase inhibitors, volatile organic compounds, and other defensive compounds. The review also discusses the crosstalk between JA and other hormonal pathways, such as salicylic acid and ethylene, in fine-tuning defense responses. Structural modifications in rice plants, such as cell wall reinforcement and accumulation of secondary metabolites, have been highlighted as key components of JA-mediated defense against C. suppressalis. Furthermore, the practical applications of this knowledge in breeding insect-resistant rice varieties and developing sustainable pest management strategies were explored. Future research directions are proposed to further elucidate the complexities of JA signaling in rice-insect interactions and harness this knowledge to enhance crop protection.</p>\",\"PeriodicalId\":21408,\"journal\":{\"name\":\"Rice\",\"volume\":\"18 1\",\"pages\":\"7\"},\"PeriodicalIF\":5.0000,\"publicationDate\":\"2025-02-18\",\"publicationTypes\":\"Journal Article\",\"fieldsOfStudy\":null,\"isOpenAccess\":false,\"openAccessPdf\":\"https://www.ncbi.nlm.nih.gov/pmc/articles/PMC11836255/pdf/\",\"citationCount\":\"0\",\"resultStr\":null,\"platform\":\"Semanticscholar\",\"paperid\":null,\"PeriodicalName\":\"Rice\",\"FirstCategoryId\":\"97\",\"ListUrlMain\":\"https://doi.org/10.1186/s12284-025-00761-z\",\"RegionNum\":1,\"RegionCategory\":\"农林科学\",\"ArticlePicture\":[],\"TitleCN\":null,\"AbstractTextCN\":null,\"PMCID\":null,\"EPubDate\":\"\",\"PubModel\":\"\",\"JCR\":\"Q1\",\"JCRName\":\"AGRONOMY\",\"Score\":null,\"Total\":0}","platform":"Semanticscholar","paperid":null,"PeriodicalName":"Rice","FirstCategoryId":"97","ListUrlMain":"https://doi.org/10.1186/s12284-025-00761-z","RegionNum":1,"RegionCategory":"农林科学","ArticlePicture":[],"TitleCN":null,"AbstractTextCN":null,"PMCID":null,"EPubDate":"","PubModel":"","JCR":"Q1","JCRName":"AGRONOMY","Score":null,"Total":0}
引用次数: 0

摘要

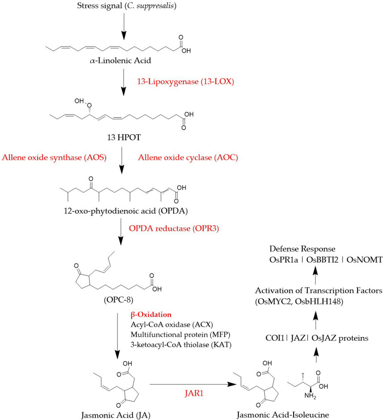
茉莉酸(Jasmonic acid, JA)信号在水稻抵御条纹茎螟虫(Chilo suppressalis)中起着至关重要的作用,条纹茎螟虫是一种造成重大产量损失的臭名昭著的害虫。本文综述了目前对ja介导的水稻防御机制的认识,重点介绍了分子基础、调控元件以及对害虫防治的实际意义。抑菌C. suppressalis侵染诱导JA生物合成和信号通路,导致各种防御反应的激活。其中包括参与蛋白酶抑制剂、挥发性有机化合物和其他防御性化合物产生的ja反应性基因的上调。本文还讨论了茉莉酸与水杨酸、乙烯等其他激素通路在调节防御反应中的相互作用。水稻的结构修饰,如细胞壁的增强和次生代谢物的积累,已经被强调为ja介导的对C. suppressalis的防御的关键组成部分。此外,还探讨了这些知识在培育抗虫水稻品种和制定可持续虫害管理策略方面的实际应用。未来的研究方向是进一步阐明水稻-昆虫相互作用中JA信号的复杂性,并利用这些知识来加强作物保护。
本文章由计算机程序翻译,如有差异,请以英文原文为准。

Jasmonic Acid (JA) Signaling Pathway in Rice Defense Against Chilo suppressalis Infestation.

Jasmonic Acid (JA) Signaling Pathway in Rice Defense Against Chilo suppressalis Infestation.

Jasmonic Acid (JA) Signaling Pathway in Rice Defense Against Chilo suppressalis Infestation.

Jasmonic acid (JA) signaling plays a crucial role in rice defense against the striped stem borer, Chilo suppressalis, a notorious pest causing significant yield losses. This review explores the current understanding of JA-mediated defense mechanisms in rice, focusing on the molecular basis, regulatory elements, and practical implications for pest management. JA biosynthesis and signaling pathways are induced upon C. suppressalis infestation, leading to the activation of various defense responses. These include upregulation of JA-responsive genes involved in the production of proteinase inhibitors, volatile organic compounds, and other defensive compounds. The review also discusses the crosstalk between JA and other hormonal pathways, such as salicylic acid and ethylene, in fine-tuning defense responses. Structural modifications in rice plants, such as cell wall reinforcement and accumulation of secondary metabolites, have been highlighted as key components of JA-mediated defense against C. suppressalis. Furthermore, the practical applications of this knowledge in breeding insect-resistant rice varieties and developing sustainable pest management strategies were explored. Future research directions are proposed to further elucidate the complexities of JA signaling in rice-insect interactions and harness this knowledge to enhance crop protection.

求助全文
通过发布文献求助,成功后即可免费获取论文全文。 去求助
来源期刊
Rice
Rice AGRONOMY-
CiteScore
10.10
自引率
3.60%
发文量
60
审稿时长
>12 weeks
期刊介绍: Rice aims to fill a glaring void in basic and applied plant science journal publishing. This journal is the world''s only high-quality serial publication for reporting current advances in rice genetics, structural and functional genomics, comparative genomics, molecular biology and physiology, molecular breeding and comparative biology. Rice welcomes review articles and original papers in all of the aforementioned areas and serves as the primary source of newly published information for researchers and students in rice and related research.
×
引用
GB/T 7714-2015
复制
MLA
复制
APA
复制
导出至
BibTeX EndNote RefMan NoteFirst NoteExpress
×
提示
您的信息不完整,为了账户安全,请先补充。
现在去补充
×
提示
您因"违规操作"
具体请查看互助需知
我知道了
×
提示
确定
请完成安全验证×
copy
已复制链接
快去分享给好友吧!
我知道了
右上角分享
点击右上角分享
0
联系我们:info@booksci.cn Book学术提供免费学术资源搜索服务,方便国内外学者检索中英文文献。致力于提供最便捷和优质的服务体验。 Copyright © 2023 布克学术 All rights reserved.
京ICP备2023020795号-1
ghs 京公网安备 11010802042870号
Book学术文献互助
Book学术文献互助群
群 号:604180095
Book学术官方微信