COVID-19恢复后8-9个月功能性sars - cov -2特异性免疫记忆和T细胞反应的持久性

IF 3.6 3区 医学 Q2 IMMUNOLOGY
Journal of Immunology Research Pub Date : 2025-02-10 eCollection Date: 2025-01-01 DOI:10.1155/jimr/9743866
Diptee Trimbake, Dharmendra Singh, Yogesh Gurav K, Prasad Babar, Varsha Dange S, Anuradha S Tripathy
{"title":"COVID-19恢复后8-9个月功能性sars - cov -2特异性免疫记忆和T细胞反应的持久性","authors":"Diptee Trimbake, Dharmendra Singh, Yogesh Gurav K, Prasad Babar, Varsha Dange S, Anuradha S Tripathy","doi":"10.1155/jimr/9743866","DOIUrl":null,"url":null,"abstract":"<p><p>Research on long-term follow-up in individuals who have recovered from coronavirus disease-19 (COVID-19) would yield insights regarding their immunity status and identify those who need booster vaccinations. This study evaluated the longevity of severe acute respiratory syndrome coronavirus 2 (SARS-CoV-2)-specific cellular and humoral memory responses, as well as T cell effector functionalities, at 1-2 months (<i>n</i> = 40), 8-9 months (<i>n</i> = 40), and 12 months/1 year (<i>n</i> = 27) following recovery from SARS-CoV-2 infection. CTL response by enzyme-linked immunospot (ELISPOT); levels of cytokine by Bio-Plex, natural killer (NK), CD4+ helper, and CD8+ cytotoxic T cell functionalities using flow cytometry; anti-SARS-CoV-2 IgG by ELISA; and levels of neutralizing antibodies (NAbs) by surrogate virus NAb assay were assessed. The levels of SARS-CoV-2-specific IgG and NAb at 1-2 and 8-9 months postrecovery were hand in hand and appeared declining. SARS-CoV-2-specific B, memory B and plasma cells, and T cells sustained up to 8-9 months. Increased expression of CD107a/IFN-γ by NK cells and cytotoxic T cells at 8-9 months could be indicative of SARS-CoV-2-specific effector functions. Recovered individuals with positive and negative IgG antibody status displayed T cell response up to 1 year and 8-9 months, respectively, emphasizing the durabilty of effector immunity up to 8-9 months regardless of IgG antibody status. Overall, the recovered individuals exhibited robust immunological memory, sustained T cell response with effector functionality against SARS-CoV-2 that persists for at least 8-9 months.</p>","PeriodicalId":15952,"journal":{"name":"Journal of Immunology Research","volume":"2025 ","pages":"9743866"},"PeriodicalIF":3.6000,"publicationDate":"2025-02-10","publicationTypes":"Journal Article","fieldsOfStudy":null,"isOpenAccess":false,"openAccessPdf":"https://www.ncbi.nlm.nih.gov/pmc/articles/PMC11832264/pdf/","citationCount":"0","resultStr":"{\"title\":\"Durability of Functional SARS-CoV-2-Specific Immunological Memory and T Cell Response up to 8-9 Months Postrecovery From COVID-19.\",\"authors\":\"Diptee Trimbake, Dharmendra Singh, Yogesh Gurav K, Prasad Babar, Varsha Dange S, Anuradha S Tripathy\",\"doi\":\"10.1155/jimr/9743866\",\"DOIUrl\":null,\"url\":null,\"abstract\":\"<p><p>Research on long-term follow-up in individuals who have recovered from coronavirus disease-19 (COVID-19) would yield insights regarding their immunity status and identify those who need booster vaccinations. This study evaluated the longevity of severe acute respiratory syndrome coronavirus 2 (SARS-CoV-2)-specific cellular and humoral memory responses, as well as T cell effector functionalities, at 1-2 months (<i>n</i> = 40), 8-9 months (<i>n</i> = 40), and 12 months/1 year (<i>n</i> = 27) following recovery from SARS-CoV-2 infection. CTL response by enzyme-linked immunospot (ELISPOT); levels of cytokine by Bio-Plex, natural killer (NK), CD4+ helper, and CD8+ cytotoxic T cell functionalities using flow cytometry; anti-SARS-CoV-2 IgG by ELISA; and levels of neutralizing antibodies (NAbs) by surrogate virus NAb assay were assessed. The levels of SARS-CoV-2-specific IgG and NAb at 1-2 and 8-9 months postrecovery were hand in hand and appeared declining. SARS-CoV-2-specific B, memory B and plasma cells, and T cells sustained up to 8-9 months. Increased expression of CD107a/IFN-γ by NK cells and cytotoxic T cells at 8-9 months could be indicative of SARS-CoV-2-specific effector functions. Recovered individuals with positive and negative IgG antibody status displayed T cell response up to 1 year and 8-9 months, respectively, emphasizing the durabilty of effector immunity up to 8-9 months regardless of IgG antibody status. Overall, the recovered individuals exhibited robust immunological memory, sustained T cell response with effector functionality against SARS-CoV-2 that persists for at least 8-9 months.</p>\",\"PeriodicalId\":15952,\"journal\":{\"name\":\"Journal of Immunology Research\",\"volume\":\"2025 \",\"pages\":\"9743866\"},\"PeriodicalIF\":3.6000,\"publicationDate\":\"2025-02-10\",\"publicationTypes\":\"Journal Article\",\"fieldsOfStudy\":null,\"isOpenAccess\":false,\"openAccessPdf\":\"https://www.ncbi.nlm.nih.gov/pmc/articles/PMC11832264/pdf/\",\"citationCount\":\"0\",\"resultStr\":null,\"platform\":\"Semanticscholar\",\"paperid\":null,\"PeriodicalName\":\"Journal of Immunology Research\",\"FirstCategoryId\":\"3\",\"ListUrlMain\":\"https://doi.org/10.1155/jimr/9743866\",\"RegionNum\":3,\"RegionCategory\":\"医学\",\"ArticlePicture\":[],\"TitleCN\":null,\"AbstractTextCN\":null,\"PMCID\":null,\"EPubDate\":\"2025/1/1 0:00:00\",\"PubModel\":\"eCollection\",\"JCR\":\"Q2\",\"JCRName\":\"IMMUNOLOGY\",\"Score\":null,\"Total\":0}","platform":"Semanticscholar","paperid":null,"PeriodicalName":"Journal of Immunology Research","FirstCategoryId":"3","ListUrlMain":"https://doi.org/10.1155/jimr/9743866","RegionNum":3,"RegionCategory":"医学","ArticlePicture":[],"TitleCN":null,"AbstractTextCN":null,"PMCID":null,"EPubDate":"2025/1/1 0:00:00","PubModel":"eCollection","JCR":"Q2","JCRName":"IMMUNOLOGY","Score":null,"Total":0}
引用次数: 0

摘要

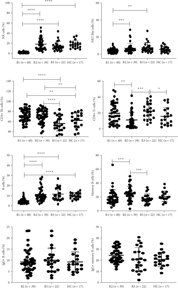
对从冠状病毒病-19 (COVID-19)中康复的个体进行长期随访研究,将有助于了解他们的免疫状况,并确定哪些人需要加强疫苗接种。本研究评估了SARS-CoV-2感染恢复后1-2个月(n = 40)、8-9个月(n = 40)和12个月/1年(n = 27)时,SARS-CoV-2特异性细胞和体液记忆反应的寿命以及T细胞效应功能。酶联免疫斑点法检测CTL反应;利用流式细胞术检测Bio-Plex、自然杀伤细胞(NK)、CD4+辅助细胞和CD8+细胞毒性T细胞功能的细胞因子水平;ELISA检测抗sars - cov -2 IgG;用替代病毒NAb法测定中和抗体(NAb)水平。sars - cov -2特异性IgG和NAb水平在恢复后1-2个月和8-9个月同时出现下降。sars - cov -2特异性B细胞、记忆B细胞、浆细胞和T细胞可维持8-9个月。NK细胞和细胞毒性T细胞在8-9个月时CD107a/IFN-γ的表达增加可能指示sars - cov -2特异性效应功能。IgG抗体阳性和IgG抗体阴性的康复个体分别表现出长达1年和8-9个月的T细胞应答,强调无论IgG抗体状态如何,效应免疫的持久性可达8-9个月。总体而言,康复个体表现出强大的免疫记忆,对SARS-CoV-2具有效应功能的持续T细胞反应持续至少8-9个月。
本文章由计算机程序翻译,如有差异,请以英文原文为准。

Durability of Functional SARS-CoV-2-Specific Immunological Memory and T Cell Response up to 8-9 Months Postrecovery From COVID-19.

Durability of Functional SARS-CoV-2-Specific Immunological Memory and T Cell Response up to 8-9 Months Postrecovery From COVID-19.

Durability of Functional SARS-CoV-2-Specific Immunological Memory and T Cell Response up to 8-9 Months Postrecovery From COVID-19.

Durability of Functional SARS-CoV-2-Specific Immunological Memory and T Cell Response up to 8-9 Months Postrecovery From COVID-19.

Research on long-term follow-up in individuals who have recovered from coronavirus disease-19 (COVID-19) would yield insights regarding their immunity status and identify those who need booster vaccinations. This study evaluated the longevity of severe acute respiratory syndrome coronavirus 2 (SARS-CoV-2)-specific cellular and humoral memory responses, as well as T cell effector functionalities, at 1-2 months (n = 40), 8-9 months (n = 40), and 12 months/1 year (n = 27) following recovery from SARS-CoV-2 infection. CTL response by enzyme-linked immunospot (ELISPOT); levels of cytokine by Bio-Plex, natural killer (NK), CD4+ helper, and CD8+ cytotoxic T cell functionalities using flow cytometry; anti-SARS-CoV-2 IgG by ELISA; and levels of neutralizing antibodies (NAbs) by surrogate virus NAb assay were assessed. The levels of SARS-CoV-2-specific IgG and NAb at 1-2 and 8-9 months postrecovery were hand in hand and appeared declining. SARS-CoV-2-specific B, memory B and plasma cells, and T cells sustained up to 8-9 months. Increased expression of CD107a/IFN-γ by NK cells and cytotoxic T cells at 8-9 months could be indicative of SARS-CoV-2-specific effector functions. Recovered individuals with positive and negative IgG antibody status displayed T cell response up to 1 year and 8-9 months, respectively, emphasizing the durabilty of effector immunity up to 8-9 months regardless of IgG antibody status. Overall, the recovered individuals exhibited robust immunological memory, sustained T cell response with effector functionality against SARS-CoV-2 that persists for at least 8-9 months.

求助全文
通过发布文献求助,成功后即可免费获取论文全文。 去求助
来源期刊
CiteScore
6.90
自引率
2.40%
发文量
423
审稿时长
15 weeks
期刊介绍: Journal of Immunology Research is a peer-reviewed, Open Access journal that provides a platform for scientists and clinicians working in different areas of immunology and therapy. The journal publishes research articles, review articles, as well as clinical studies related to classical immunology, molecular immunology, clinical immunology, cancer immunology, transplantation immunology, immune pathology, immunodeficiency, autoimmune diseases, immune disorders, and immunotherapy.
×
引用
GB/T 7714-2015
复制
MLA
复制
APA
复制
导出至
BibTeX EndNote RefMan NoteFirst NoteExpress
×
提示
您的信息不完整,为了账户安全,请先补充。
现在去补充
×
提示
您因"违规操作"
具体请查看互助需知
我知道了
×
提示
确定
请完成安全验证×
copy
已复制链接
快去分享给好友吧!
我知道了
右上角分享
点击右上角分享
0
联系我们:info@booksci.cn Book学术提供免费学术资源搜索服务,方便国内外学者检索中英文文献。致力于提供最便捷和优质的服务体验。 Copyright © 2023 布克学术 All rights reserved.
京ICP备2023020795号-1
ghs 京公网安备 11010802042870号
Book学术文献互助
Book学术文献互助群
群 号:604180095
Book学术官方微信