多发性硬化症患者报告的自体造血干细胞移植前后的生活质量结果。

IF 5 2区 医学 Q1 CLINICAL NEUROLOGY
Multiple Sclerosis Journal Pub Date : 2025-04-01 Epub Date: 2025-02-17 DOI:10.1177/13524585251315363
Ann-Christine Mitrache Desaga, Yassine Noui, Thomas Silfverberg, Kristina Carlson, Joachim Burman
{"title":"多发性硬化症患者报告的自体造血干细胞移植前后的生活质量结果。","authors":"Ann-Christine Mitrache Desaga, Yassine Noui, Thomas Silfverberg, Kristina Carlson, Joachim Burman","doi":"10.1177/13524585251315363","DOIUrl":null,"url":null,"abstract":"<p><strong>Background: </strong>Autologous hematopoietic stem cell transplantation (AHSCT) is a therapeutic intervention for multiple sclerosis (MS) that has gained increased attention in the last decade. The impact of this intervention on the quality of life (QoL) of patients with MS remains unclear.</p><p><strong>Objective: </strong>The aim of this study was to investigate the impact of AHSCT on QoL in patients with MS using Multiple Sclerosis Impact Scale (MSIS-29) scores.</p><p><strong>Methods: </strong>In this observational retrospective cohort study, patients with relapsing-remitting MS treated with AHSCT in Sweden from 2004, when the first transplant was performed, until 31 December 2019, were considered for participation. Anonymized outcome data were extracted from the Swedish MS registry in May 2022.</p><p><strong>Results: </strong>Out of 213 patients assessed for eligibility in the study, 96 were included in the final analysis. After a median follow-up of 5.2 (IQR 3.2-6.8) years, 58% improved, 14% remained unchanged and 28% worsened in the physical domain of the MSIS-29. In the psychological domain, 63% improved, 18% remained unchanged and 19% worsened. Improvements in both domains occurred early, within the first year following intervention.</p><p><strong>Conclusions: </strong>Treatment intervention with AHSCT is associated with a clinically meaningful improvement in QoL.</p>","PeriodicalId":18874,"journal":{"name":"Multiple Sclerosis Journal","volume":" ","pages":"455-463"},"PeriodicalIF":5.0000,"publicationDate":"2025-04-01","publicationTypes":"Journal Article","fieldsOfStudy":null,"isOpenAccess":false,"openAccessPdf":"https://www.ncbi.nlm.nih.gov/pmc/articles/PMC11956378/pdf/","citationCount":"0","resultStr":"{\"title\":\"Patient-reported outcomes of quality of life before and after autologous hematopoietic stem cell transplantation for multiple sclerosis.\",\"authors\":\"Ann-Christine Mitrache Desaga, Yassine Noui, Thomas Silfverberg, Kristina Carlson, Joachim Burman\",\"doi\":\"10.1177/13524585251315363\",\"DOIUrl\":null,\"url\":null,\"abstract\":\"<p><strong>Background: </strong>Autologous hematopoietic stem cell transplantation (AHSCT) is a therapeutic intervention for multiple sclerosis (MS) that has gained increased attention in the last decade. The impact of this intervention on the quality of life (QoL) of patients with MS remains unclear.</p><p><strong>Objective: </strong>The aim of this study was to investigate the impact of AHSCT on QoL in patients with MS using Multiple Sclerosis Impact Scale (MSIS-29) scores.</p><p><strong>Methods: </strong>In this observational retrospective cohort study, patients with relapsing-remitting MS treated with AHSCT in Sweden from 2004, when the first transplant was performed, until 31 December 2019, were considered for participation. Anonymized outcome data were extracted from the Swedish MS registry in May 2022.</p><p><strong>Results: </strong>Out of 213 patients assessed for eligibility in the study, 96 were included in the final analysis. After a median follow-up of 5.2 (IQR 3.2-6.8) years, 58% improved, 14% remained unchanged and 28% worsened in the physical domain of the MSIS-29. In the psychological domain, 63% improved, 18% remained unchanged and 19% worsened. Improvements in both domains occurred early, within the first year following intervention.</p><p><strong>Conclusions: </strong>Treatment intervention with AHSCT is associated with a clinically meaningful improvement in QoL.</p>\",\"PeriodicalId\":18874,\"journal\":{\"name\":\"Multiple Sclerosis Journal\",\"volume\":\" \",\"pages\":\"455-463\"},\"PeriodicalIF\":5.0000,\"publicationDate\":\"2025-04-01\",\"publicationTypes\":\"Journal Article\",\"fieldsOfStudy\":null,\"isOpenAccess\":false,\"openAccessPdf\":\"https://www.ncbi.nlm.nih.gov/pmc/articles/PMC11956378/pdf/\",\"citationCount\":\"0\",\"resultStr\":null,\"platform\":\"Semanticscholar\",\"paperid\":null,\"PeriodicalName\":\"Multiple Sclerosis Journal\",\"FirstCategoryId\":\"3\",\"ListUrlMain\":\"https://doi.org/10.1177/13524585251315363\",\"RegionNum\":2,\"RegionCategory\":\"医学\",\"ArticlePicture\":[],\"TitleCN\":null,\"AbstractTextCN\":null,\"PMCID\":null,\"EPubDate\":\"2025/2/17 0:00:00\",\"PubModel\":\"Epub\",\"JCR\":\"Q1\",\"JCRName\":\"CLINICAL NEUROLOGY\",\"Score\":null,\"Total\":0}","platform":"Semanticscholar","paperid":null,"PeriodicalName":"Multiple Sclerosis Journal","FirstCategoryId":"3","ListUrlMain":"https://doi.org/10.1177/13524585251315363","RegionNum":2,"RegionCategory":"医学","ArticlePicture":[],"TitleCN":null,"AbstractTextCN":null,"PMCID":null,"EPubDate":"2025/2/17 0:00:00","PubModel":"Epub","JCR":"Q1","JCRName":"CLINICAL NEUROLOGY","Score":null,"Total":0}
引用次数: 0

摘要

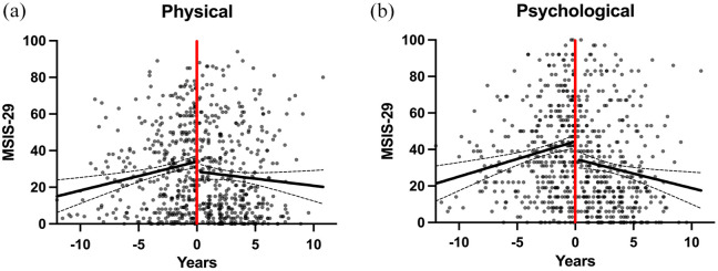
背景:自体造血干细胞移植(AHSCT)是一种治疗多发性硬化症(MS)的干预手段,在过去十年中受到越来越多的关注。这种干预对MS患者生活质量(QoL)的影响尚不清楚。目的:本研究的目的是利用多发性硬化症影响量表(MSIS-29)评分,探讨AHSCT对MS患者生活质量的影响。方法:在这项观察性回顾性队列研究中,从2004年瑞典进行第一次移植手术到2019年12月31日,接受AHSCT治疗的复发-缓解型多发性硬化症患者被考虑参与。匿名结果数据于2022年5月从瑞典多发性硬化症登记处提取。结果:213例患者中,96例被纳入最终分析。在中位随访5.2年(IQR 3.2-6.8)年后,MSIS-29的物理领域有58%的改善,14%保持不变,28%恶化。在心理领域,63%的人有所改善,18%保持不变,19%恶化。在干预后的第一年,这两个领域的改善都很早就出现了。结论:AHSCT治疗干预与临床意义上的生活质量改善相关。
本文章由计算机程序翻译,如有差异,请以英文原文为准。

Patient-reported outcomes of quality of life before and after autologous hematopoietic stem cell transplantation for multiple sclerosis.

Patient-reported outcomes of quality of life before and after autologous hematopoietic stem cell transplantation for multiple sclerosis.

Patient-reported outcomes of quality of life before and after autologous hematopoietic stem cell transplantation for multiple sclerosis.

Patient-reported outcomes of quality of life before and after autologous hematopoietic stem cell transplantation for multiple sclerosis.

Background: Autologous hematopoietic stem cell transplantation (AHSCT) is a therapeutic intervention for multiple sclerosis (MS) that has gained increased attention in the last decade. The impact of this intervention on the quality of life (QoL) of patients with MS remains unclear.

Objective: The aim of this study was to investigate the impact of AHSCT on QoL in patients with MS using Multiple Sclerosis Impact Scale (MSIS-29) scores.

Methods: In this observational retrospective cohort study, patients with relapsing-remitting MS treated with AHSCT in Sweden from 2004, when the first transplant was performed, until 31 December 2019, were considered for participation. Anonymized outcome data were extracted from the Swedish MS registry in May 2022.

Results: Out of 213 patients assessed for eligibility in the study, 96 were included in the final analysis. After a median follow-up of 5.2 (IQR 3.2-6.8) years, 58% improved, 14% remained unchanged and 28% worsened in the physical domain of the MSIS-29. In the psychological domain, 63% improved, 18% remained unchanged and 19% worsened. Improvements in both domains occurred early, within the first year following intervention.

Conclusions: Treatment intervention with AHSCT is associated with a clinically meaningful improvement in QoL.

求助全文
通过发布文献求助,成功后即可免费获取论文全文。 去求助
来源期刊
Multiple Sclerosis Journal
Multiple Sclerosis Journal 医学-临床神经学
CiteScore
10.90
自引率
6.90%
发文量
186
审稿时长
3-8 weeks
期刊介绍: Multiple Sclerosis Journal is a peer-reviewed international journal that focuses on all aspects of multiple sclerosis, neuromyelitis optica and other related autoimmune diseases of the central nervous system. The journal for your research in the following areas: * __Biologic basis:__ pathology, myelin biology, pathophysiology of the blood/brain barrier, axo-glial pathobiology, remyelination, virology and microbiome, immunology, proteomics * __Epidemology and genetics:__ genetics epigenetics, epidemiology * __Clinical and Neuroimaging:__ clinical neurology, biomarkers, neuroimaging and clinical outcome measures * __Therapeutics and rehabilitation:__ therapeutics, rehabilitation, psychology, neuroplasticity, neuroprotection, and systematic management Print ISSN: 1352-4585
×
引用
GB/T 7714-2015
复制
MLA
复制
APA
复制
导出至
BibTeX EndNote RefMan NoteFirst NoteExpress
×
提示
您的信息不完整,为了账户安全,请先补充。
现在去补充
×
提示
您因"违规操作"
具体请查看互助需知
我知道了
×
提示
确定
请完成安全验证×
copy
已复制链接
快去分享给好友吧!
我知道了
右上角分享
点击右上角分享
0
联系我们:info@booksci.cn Book学术提供免费学术资源搜索服务,方便国内外学者检索中英文文献。致力于提供最便捷和优质的服务体验。 Copyright © 2023 布克学术 All rights reserved.
京ICP备2023020795号-1
ghs 京公网安备 11010802042870号
Book学术文献互助
Book学术文献互助群
群 号:604180095
Book学术官方微信