泰米尔语版更年期评定量表的翻译与验证。

IF 1 Q3 OBSTETRICS & GYNECOLOGY
Journal of Mid-life Health Pub Date : 2024-10-01 Epub Date: 2025-01-02 DOI:10.4103/jmh.jmh_174_24
Chanil Ekanayake, Sakshara Ranasinghe, Arunasalam Pathmeswaran, Kopalasuntharam Muhunthan
{"title":"泰米尔语版更年期评定量表的翻译与验证。","authors":"Chanil Ekanayake, Sakshara Ranasinghe, Arunasalam Pathmeswaran, Kopalasuntharam Muhunthan","doi":"10.4103/jmh.jmh_174_24","DOIUrl":null,"url":null,"abstract":"<p><strong>Introduction: </strong>The Menopause Rating Scale (MRS) is a widely used tool to assess the health-related quality of life (HRQOL) and severity of menopausal symptoms in postmenopausal women. The objective of the present study was to validate a Tamil translation of the MRS, as a Tamil translation is not available.</p><p><strong>Methods: </strong>The Tamil translation of MRS was developed following standard methodology, and a validation study to assess psychometric properties was done at the community level in Mannar, Sri Lanka. Reliability was assessed through internal consistency and test-rest reliability. Validity was assessed using content, discriminatory, and construct validity.</p><p><strong>Results: </strong>Internal consistency using Cronbach's <i>α</i> coefficient ranged from 0.74 to 0.78 and test-retest reliability assessed by weighted kappa (k) ranged from 0.51 to 0.71. Content validity was evaluated by the acceptability of items for a sample of women and gynecologists conversant in Tamil during the translation process. Discriminant validity between symptomatic and asymptomatic women was significant for all three domains: somato-vegetative, sexual, and psychological (<i>P</i> < 0.05). Factor analysis with exploratory principal component analysis revealed three factors that explained 55.9% of the cumulative variance, demonstrating satisfactory construct validity. A MRS total score ≥6 had a sensitivity of 81% and a specificity of 84.7% to identify symptomatic menopausal women.</p><p><strong>Conclusion: </strong>Tamil translation of MRS retained the psychometric properties of the original questionnaire and will be an invaluable tool to assess menopausal symptoms and HRQOL among postmenopausal tamil-speaking women.</p>","PeriodicalId":37717,"journal":{"name":"Journal of Mid-life Health","volume":"15 4","pages":"280-285"},"PeriodicalIF":1.0000,"publicationDate":"2024-10-01","publicationTypes":"Journal Article","fieldsOfStudy":null,"isOpenAccess":false,"openAccessPdf":"https://www.ncbi.nlm.nih.gov/pmc/articles/PMC11824926/pdf/","citationCount":"0","resultStr":"{\"title\":\"Translation and Validation of the Tamil Version of the Menopause Rating Scale.\",\"authors\":\"Chanil Ekanayake, Sakshara Ranasinghe, Arunasalam Pathmeswaran, Kopalasuntharam Muhunthan\",\"doi\":\"10.4103/jmh.jmh_174_24\",\"DOIUrl\":null,\"url\":null,\"abstract\":\"<p><strong>Introduction: </strong>The Menopause Rating Scale (MRS) is a widely used tool to assess the health-related quality of life (HRQOL) and severity of menopausal symptoms in postmenopausal women. The objective of the present study was to validate a Tamil translation of the MRS, as a Tamil translation is not available.</p><p><strong>Methods: </strong>The Tamil translation of MRS was developed following standard methodology, and a validation study to assess psychometric properties was done at the community level in Mannar, Sri Lanka. Reliability was assessed through internal consistency and test-rest reliability. Validity was assessed using content, discriminatory, and construct validity.</p><p><strong>Results: </strong>Internal consistency using Cronbach's <i>α</i> coefficient ranged from 0.74 to 0.78 and test-retest reliability assessed by weighted kappa (k) ranged from 0.51 to 0.71. Content validity was evaluated by the acceptability of items for a sample of women and gynecologists conversant in Tamil during the translation process. Discriminant validity between symptomatic and asymptomatic women was significant for all three domains: somato-vegetative, sexual, and psychological (<i>P</i> < 0.05). Factor analysis with exploratory principal component analysis revealed three factors that explained 55.9% of the cumulative variance, demonstrating satisfactory construct validity. A MRS total score ≥6 had a sensitivity of 81% and a specificity of 84.7% to identify symptomatic menopausal women.</p><p><strong>Conclusion: </strong>Tamil translation of MRS retained the psychometric properties of the original questionnaire and will be an invaluable tool to assess menopausal symptoms and HRQOL among postmenopausal tamil-speaking women.</p>\",\"PeriodicalId\":37717,\"journal\":{\"name\":\"Journal of Mid-life Health\",\"volume\":\"15 4\",\"pages\":\"280-285\"},\"PeriodicalIF\":1.0000,\"publicationDate\":\"2024-10-01\",\"publicationTypes\":\"Journal Article\",\"fieldsOfStudy\":null,\"isOpenAccess\":false,\"openAccessPdf\":\"https://www.ncbi.nlm.nih.gov/pmc/articles/PMC11824926/pdf/\",\"citationCount\":\"0\",\"resultStr\":null,\"platform\":\"Semanticscholar\",\"paperid\":null,\"PeriodicalName\":\"Journal of Mid-life Health\",\"FirstCategoryId\":\"1085\",\"ListUrlMain\":\"https://doi.org/10.4103/jmh.jmh_174_24\",\"RegionNum\":0,\"RegionCategory\":null,\"ArticlePicture\":[],\"TitleCN\":null,\"AbstractTextCN\":null,\"PMCID\":null,\"EPubDate\":\"2025/1/2 0:00:00\",\"PubModel\":\"Epub\",\"JCR\":\"Q3\",\"JCRName\":\"OBSTETRICS & GYNECOLOGY\",\"Score\":null,\"Total\":0}","platform":"Semanticscholar","paperid":null,"PeriodicalName":"Journal of Mid-life Health","FirstCategoryId":"1085","ListUrlMain":"https://doi.org/10.4103/jmh.jmh_174_24","RegionNum":0,"RegionCategory":null,"ArticlePicture":[],"TitleCN":null,"AbstractTextCN":null,"PMCID":null,"EPubDate":"2025/1/2 0:00:00","PubModel":"Epub","JCR":"Q3","JCRName":"OBSTETRICS & GYNECOLOGY","Score":null,"Total":0}
引用次数: 0

摘要

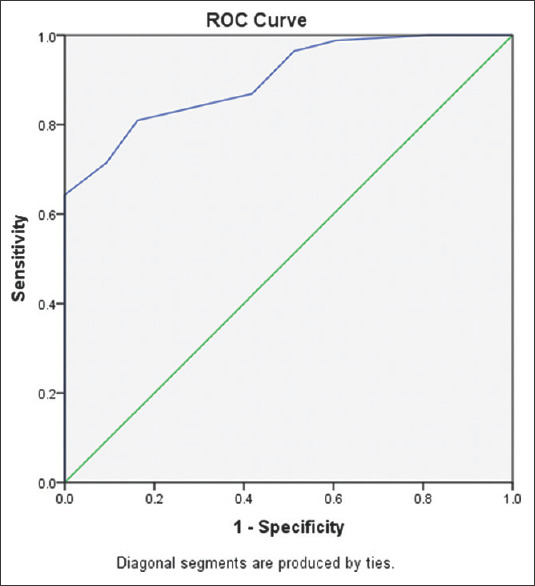
绝经评定量表(MRS)是一种广泛应用于评估绝经后妇女健康相关生活质量(HRQOL)和更年期症状严重程度的工具。本研究的目的是验证MRS的泰米尔语翻译,因为泰米尔语翻译是不可用的。方法:按照标准方法开发了MRS的泰米尔语翻译,并在斯里兰卡马纳尔的社区层面进行了一项评估心理测量特性的验证研究。信度通过内部一致性和test-rest信度进行评估。效度评估采用内容效度、区别效度和构念效度。结果:内部一致性(Cronbach's α系数)为0.74 ~ 0.78,重测信度(加权kappa (k))为0.51 ~ 0.71。在翻译过程中,通过对熟悉泰米尔语的妇女和妇科医生样本的可接受性来评估内容效度。有症状和无症状女性在躯体-植物、性和心理三个领域的判别效度均显著(P < 0.05)。探索性主成分分析的因子分析显示,三个因子解释了55.9%的累积方差,证明了令人满意的结构效度。MRS总分≥6分识别有症状的绝经妇女的敏感性为81%,特异性为84.7%。结论:泰米尔语翻译的MRS保留了原始问卷的心理测量特性,将成为评估绝经后泰米尔语妇女更年期症状和HRQOL的宝贵工具。
本文章由计算机程序翻译,如有差异,请以英文原文为准。

Translation and Validation of the Tamil Version of the Menopause Rating Scale.

Translation and Validation of the Tamil Version of the Menopause Rating Scale.

Translation and Validation of the Tamil Version of the Menopause Rating Scale.

Introduction: The Menopause Rating Scale (MRS) is a widely used tool to assess the health-related quality of life (HRQOL) and severity of menopausal symptoms in postmenopausal women. The objective of the present study was to validate a Tamil translation of the MRS, as a Tamil translation is not available.

Methods: The Tamil translation of MRS was developed following standard methodology, and a validation study to assess psychometric properties was done at the community level in Mannar, Sri Lanka. Reliability was assessed through internal consistency and test-rest reliability. Validity was assessed using content, discriminatory, and construct validity.

Results: Internal consistency using Cronbach's α coefficient ranged from 0.74 to 0.78 and test-retest reliability assessed by weighted kappa (k) ranged from 0.51 to 0.71. Content validity was evaluated by the acceptability of items for a sample of women and gynecologists conversant in Tamil during the translation process. Discriminant validity between symptomatic and asymptomatic women was significant for all three domains: somato-vegetative, sexual, and psychological (P < 0.05). Factor analysis with exploratory principal component analysis revealed three factors that explained 55.9% of the cumulative variance, demonstrating satisfactory construct validity. A MRS total score ≥6 had a sensitivity of 81% and a specificity of 84.7% to identify symptomatic menopausal women.

Conclusion: Tamil translation of MRS retained the psychometric properties of the original questionnaire and will be an invaluable tool to assess menopausal symptoms and HRQOL among postmenopausal tamil-speaking women.

求助全文
通过发布文献求助,成功后即可免费获取论文全文。 去求助
来源期刊
Journal of Mid-life Health
Journal of Mid-life Health Social Sciences-Health (social science)
CiteScore
1.70
自引率
9.10%
发文量
39
审稿时长
43 weeks
期刊介绍: Journal of mid-life health is the official journal of the Indian Menopause society published Quarterly in January, April, July and October. It is peer reviewed, scientific journal of mid-life health and its problems. It includes all aspects of mid-life health, preventive as well as curative. The journal publishes on subjects such as gynecology, neurology, geriatrics, psychiatry, endocrinology, urology, andrology, psychology, healthy ageing, cardiovascular health, bone health, quality of life etc. as relevant of men and women in their midlife. The Journal provides a visible platform to the researchers as well as clinicians to publish their experiences in this area thereby helping in the promotion of mid-life health leading to healthy ageing, growing need due to increasing life expectancy. The Editorial team has maintained high standards and published original research papers, case reports and review articles from the best of the best contributors both national & international, consistently so that now, it has become a great tool in the hands of menopause practitioners.
×
引用
GB/T 7714-2015
复制
MLA
复制
APA
复制
导出至
BibTeX EndNote RefMan NoteFirst NoteExpress
×
提示
您的信息不完整,为了账户安全,请先补充。
现在去补充
×
提示
您因"违规操作"
具体请查看互助需知
我知道了
×
提示
确定
请完成安全验证×
copy
已复制链接
快去分享给好友吧!
我知道了
右上角分享
点击右上角分享
0
联系我们:info@booksci.cn Book学术提供免费学术资源搜索服务,方便国内外学者检索中英文文献。致力于提供最便捷和优质的服务体验。 Copyright © 2023 布克学术 All rights reserved.
京ICP备2023020795号-1
ghs 京公网安备 11010802042870号
Book学术文献互助
Book学术文献互助群
群 号:604180095
Book学术官方微信