单一夜班对医疗保健专业人员工作能力的影响——一项队列研究。

IF 0.8 4区 医学 Q3 MEDICINE, GENERAL & INTERNAL
Maša Sorić, Milan Milošević
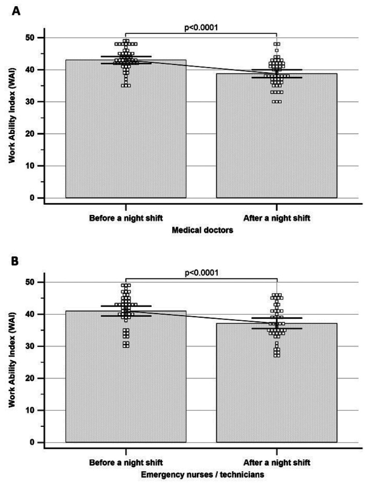
{"title":"单一夜班对医疗保健专业人员工作能力的影响——一项队列研究。","authors":"Maša Sorić, Milan Milošević","doi":"10.20471/acc.2024.63.01.8","DOIUrl":null,"url":null,"abstract":"<p><p>Shift work has many detrimental effects on health and work ability of workers. These effects could increase with age, especially due to workforce aging. The aim of the study was to examine the effect of a single night shift on the Work Ability Index (WAI) scores of hospital healthcare workers. A prospective survey was conducted on a convenience sample of 49 on-call residents working 12- or 16-hour night shifts and 47 nurses working 12-hour night shifts in the emergency department of an urban teaching hospital. The study included analysis of sociodemographic, occupational and medical data collected through a questionnaire during a morning shift change. The participant work capacity was assessed using the short form of the WAI Questionnaire. The mean WAI score for nurses was 40.98 before a night shift and 37.15 after a night shift, which was a statistically significant decrease (p<0.01, 95% CI: 2.39-5.27). Similarly, among residents, the mean WAI score decreased from 43.02 before a night shift to 38.76 after a night shift (p<0.0001, 95% CI: 2.95-5.58). There was a statistically significant difference in WAI scores between nurses and residents (p<0.05). Our results showed that even a single night shift negatively affected the work ability of emergency healthcare workers. We recommend scheduling shift work with fewer night shifts to preserve healthcare worker work ability.</p>","PeriodicalId":7072,"journal":{"name":"Acta clinica Croatica","volume":"63 1","pages":"65-72"},"PeriodicalIF":0.8000,"publicationDate":"2024-04-01","publicationTypes":"Journal Article","fieldsOfStudy":null,"isOpenAccess":false,"openAccessPdf":"https://www.ncbi.nlm.nih.gov/pmc/articles/PMC11827397/pdf/","citationCount":"0","resultStr":"{\"title\":\"EFFECTS OF A SINGLE NIGHT SHIFT ON HEALTHCARE PROFESSIONAL WORK ABILITY - A COHORT STUDY.\",\"authors\":\"Maša Sorić, Milan Milošević\",\"doi\":\"10.20471/acc.2024.63.01.8\",\"DOIUrl\":null,\"url\":null,\"abstract\":\"<p><p>Shift work has many detrimental effects on health and work ability of workers. These effects could increase with age, especially due to workforce aging. The aim of the study was to examine the effect of a single night shift on the Work Ability Index (WAI) scores of hospital healthcare workers. A prospective survey was conducted on a convenience sample of 49 on-call residents working 12- or 16-hour night shifts and 47 nurses working 12-hour night shifts in the emergency department of an urban teaching hospital. The study included analysis of sociodemographic, occupational and medical data collected through a questionnaire during a morning shift change. The participant work capacity was assessed using the short form of the WAI Questionnaire. The mean WAI score for nurses was 40.98 before a night shift and 37.15 after a night shift, which was a statistically significant decrease (p<0.01, 95% CI: 2.39-5.27). Similarly, among residents, the mean WAI score decreased from 43.02 before a night shift to 38.76 after a night shift (p<0.0001, 95% CI: 2.95-5.58). There was a statistically significant difference in WAI scores between nurses and residents (p<0.05). Our results showed that even a single night shift negatively affected the work ability of emergency healthcare workers. We recommend scheduling shift work with fewer night shifts to preserve healthcare worker work ability.</p>\",\"PeriodicalId\":7072,\"journal\":{\"name\":\"Acta clinica Croatica\",\"volume\":\"63 1\",\"pages\":\"65-72\"},\"PeriodicalIF\":0.8000,\"publicationDate\":\"2024-04-01\",\"publicationTypes\":\"Journal Article\",\"fieldsOfStudy\":null,\"isOpenAccess\":false,\"openAccessPdf\":\"https://www.ncbi.nlm.nih.gov/pmc/articles/PMC11827397/pdf/\",\"citationCount\":\"0\",\"resultStr\":null,\"platform\":\"Semanticscholar\",\"paperid\":null,\"PeriodicalName\":\"Acta clinica Croatica\",\"FirstCategoryId\":\"3\",\"ListUrlMain\":\"https://doi.org/10.20471/acc.2024.63.01.8\",\"RegionNum\":4,\"RegionCategory\":\"医学\",\"ArticlePicture\":[],\"TitleCN\":null,\"AbstractTextCN\":null,\"PMCID\":null,\"EPubDate\":\"\",\"PubModel\":\"\",\"JCR\":\"Q3\",\"JCRName\":\"MEDICINE, GENERAL & INTERNAL\",\"Score\":null,\"Total\":0}","platform":"Semanticscholar","paperid":null,"PeriodicalName":"Acta clinica Croatica","FirstCategoryId":"3","ListUrlMain":"https://doi.org/10.20471/acc.2024.63.01.8","RegionNum":4,"RegionCategory":"医学","ArticlePicture":[],"TitleCN":null,"AbstractTextCN":null,"PMCID":null,"EPubDate":"","PubModel":"","JCR":"Q3","JCRName":"MEDICINE, GENERAL & INTERNAL","Score":null,"Total":0}
引用次数: 0

摘要

轮班工作对工人的健康和工作能力有许多不利影响。这些影响可能会随着年龄的增长而增加,尤其是由于劳动力老龄化。本研究的目的是检验单一夜班对医院医护人员工作能力指数(WAI)分数的影响。一项前瞻性调查是在一个城市教学医院的急诊部对49名夜班工作12或16小时的随叫随到的住院医生和47名夜班工作12小时的护士进行的方便样本。这项研究包括对社会人口统计、职业和医疗数据的分析,这些数据是在早班期间通过问卷调查收集的。使用WAI问卷的简短形式评估参与者的工作能力。护士夜班前的平均WAI得分为40.98分,夜班后的平均WAI得分为37.15分,差异有统计学意义(p
本文章由计算机程序翻译,如有差异,请以英文原文为准。

EFFECTS OF A SINGLE NIGHT SHIFT ON HEALTHCARE PROFESSIONAL WORK ABILITY - A COHORT STUDY.

EFFECTS OF A SINGLE NIGHT SHIFT ON HEALTHCARE PROFESSIONAL WORK ABILITY - A COHORT STUDY.

Shift work has many detrimental effects on health and work ability of workers. These effects could increase with age, especially due to workforce aging. The aim of the study was to examine the effect of a single night shift on the Work Ability Index (WAI) scores of hospital healthcare workers. A prospective survey was conducted on a convenience sample of 49 on-call residents working 12- or 16-hour night shifts and 47 nurses working 12-hour night shifts in the emergency department of an urban teaching hospital. The study included analysis of sociodemographic, occupational and medical data collected through a questionnaire during a morning shift change. The participant work capacity was assessed using the short form of the WAI Questionnaire. The mean WAI score for nurses was 40.98 before a night shift and 37.15 after a night shift, which was a statistically significant decrease (p<0.01, 95% CI: 2.39-5.27). Similarly, among residents, the mean WAI score decreased from 43.02 before a night shift to 38.76 after a night shift (p<0.0001, 95% CI: 2.95-5.58). There was a statistically significant difference in WAI scores between nurses and residents (p<0.05). Our results showed that even a single night shift negatively affected the work ability of emergency healthcare workers. We recommend scheduling shift work with fewer night shifts to preserve healthcare worker work ability.

求助全文
通过发布文献求助,成功后即可免费获取论文全文。 去求助
来源期刊
Acta clinica Croatica
Acta clinica Croatica 医学-医学:内科
CiteScore
1.10
自引率
16.70%
发文量
38
审稿时长
6-12 weeks
期刊介绍: Acta Clinica Croatica is a peer reviewed general medical journal that publishes original articles that advance and improve medical science and practice and that serve the purpose of transfer of original and valuable information to journal readers. Acta Clinica Croatica is published in English four times a year.
×
引用
GB/T 7714-2015
复制
MLA
复制
APA
复制
导出至
BibTeX EndNote RefMan NoteFirst NoteExpress
×
提示
您的信息不完整,为了账户安全,请先补充。
现在去补充
×
提示
您因"违规操作"
具体请查看互助需知
我知道了
×
提示
确定
请完成安全验证×
copy
已复制链接
快去分享给好友吧!
我知道了
右上角分享
点击右上角分享
0
联系我们:info@booksci.cn Book学术提供免费学术资源搜索服务,方便国内外学者检索中英文文献。致力于提供最便捷和优质的服务体验。 Copyright © 2023 布克学术 All rights reserved.
京ICP备2023020795号-1
ghs 京公网安备 11010802042870号
Book学术文献互助
Book学术文献互助群
群 号:604180095
Book学术官方微信