诺丁汉髋部骨折评分(NHFS)作为巴西老年人股骨近端骨折后30天死亡率的预测指标。

IF 3.9 2区 综合性期刊 Q1 MULTIDISCIPLINARY SCIENCES
Flávio Cruz Ferro, Marcos Adriano Garcia Campos, Thais Caroline Silva Picolli, Vania de Sá Mayoral, Victoria Moralez Soares, Jessica Caroline Ferreira, Lucas Dias Borges Peres, Theodor Terra Mayer Tibeau, Victor El Chihimi Bernardi, David Nascimento Pereira, David Nicoletti Gumieiro, Emilio Carlos Curcelli, Lais Helena Navarro E Lima, Paulo do Nascimento Junior, Taline Lazzarin, Raquel Simões Ballarin, Marina Politi Okoshi, Marcos Ferreira Minicucci, Sergio Alberto Rupp de Paiva, Adam Lee Gordon, Opinder Sahota, Filipe Welson Leal Pereira, Paula Schmidt Azevedo
{"title":"诺丁汉髋部骨折评分(NHFS)作为巴西老年人股骨近端骨折后30天死亡率的预测指标。","authors":"Flávio Cruz Ferro, Marcos Adriano Garcia Campos, Thais Caroline Silva Picolli, Vania de Sá Mayoral, Victoria Moralez Soares, Jessica Caroline Ferreira, Lucas Dias Borges Peres, Theodor Terra Mayer Tibeau, Victor El Chihimi Bernardi, David Nascimento Pereira, David Nicoletti Gumieiro, Emilio Carlos Curcelli, Lais Helena Navarro E Lima, Paulo do Nascimento Junior, Taline Lazzarin, Raquel Simões Ballarin, Marina Politi Okoshi, Marcos Ferreira Minicucci, Sergio Alberto Rupp de Paiva, Adam Lee Gordon, Opinder Sahota, Filipe Welson Leal Pereira, Paula Schmidt Azevedo","doi":"10.1038/s41598-025-89869-2","DOIUrl":null,"url":null,"abstract":"<p><p>Perioperative risk assessment helps inform clinical practice for older people with hip fractures. This is a cohort study, where perioperative risk screening, including NHFS, was performed at admission, followed by an evaluation of 30-day outcomes. 503 patients were included, 73% female, 79.4 ± 9.3 years old; 58% presented extracapsular and 42% intracapsular fractures, with a 30-day mortality of 9%. The NHFS was higher in the patients who died at 5.6 ± 1.1 compared to survivals at 4.3 ± 1.5 (p-value < 0.001). NHFS > 4 was associated with 30-day mortality observed by Cox regression adjusted by fracture type: HR 4.55 (95% CI 2.10-9.82) (p-value < 0.001) and Kaplan-Meyer Curve (HR 3.94; 95% CI 2.19-7.07; p-value < 0.001). ROC curve showed the accuracy of NHFS in explaining 30-day mortality (AUC 0.74; 95% CI 0.67-0.81). Complications were higher among patients with NHFS > 4. The performance of NHFS was better than the traditional perioperative risk ASA score. Therefore, NHFS can be implemented in real-world clinical practice to estimate the 30-day mortality risk for hip fracture in older patients in Brazil. NHFS > 4 is critical for 30-day mortality and complications; this cutoff helps inform clinical practice. The present study might motivate other centers to consider NHFS in their perioperative risk assessment routine.</p>","PeriodicalId":21811,"journal":{"name":"Scientific Reports","volume":"15 1","pages":"5607"},"PeriodicalIF":3.9000,"publicationDate":"2025-02-15","publicationTypes":"Journal Article","fieldsOfStudy":null,"isOpenAccess":false,"openAccessPdf":"https://www.ncbi.nlm.nih.gov/pmc/articles/PMC11830071/pdf/","citationCount":"0","resultStr":"{\"title\":\"Performance of the Nottingham hip fracture score (NHFS) as a predictor of 30-day mortality after proximal femur fracture in an older people Brazilian cohort.\",\"authors\":\"Flávio Cruz Ferro, Marcos Adriano Garcia Campos, Thais Caroline Silva Picolli, Vania de Sá Mayoral, Victoria Moralez Soares, Jessica Caroline Ferreira, Lucas Dias Borges Peres, Theodor Terra Mayer Tibeau, Victor El Chihimi Bernardi, David Nascimento Pereira, David Nicoletti Gumieiro, Emilio Carlos Curcelli, Lais Helena Navarro E Lima, Paulo do Nascimento Junior, Taline Lazzarin, Raquel Simões Ballarin, Marina Politi Okoshi, Marcos Ferreira Minicucci, Sergio Alberto Rupp de Paiva, Adam Lee Gordon, Opinder Sahota, Filipe Welson Leal Pereira, Paula Schmidt Azevedo\",\"doi\":\"10.1038/s41598-025-89869-2\",\"DOIUrl\":null,\"url\":null,\"abstract\":\"<p><p>Perioperative risk assessment helps inform clinical practice for older people with hip fractures. This is a cohort study, where perioperative risk screening, including NHFS, was performed at admission, followed by an evaluation of 30-day outcomes. 503 patients were included, 73% female, 79.4 ± 9.3 years old; 58% presented extracapsular and 42% intracapsular fractures, with a 30-day mortality of 9%. The NHFS was higher in the patients who died at 5.6 ± 1.1 compared to survivals at 4.3 ± 1.5 (p-value < 0.001). NHFS > 4 was associated with 30-day mortality observed by Cox regression adjusted by fracture type: HR 4.55 (95% CI 2.10-9.82) (p-value < 0.001) and Kaplan-Meyer Curve (HR 3.94; 95% CI 2.19-7.07; p-value < 0.001). ROC curve showed the accuracy of NHFS in explaining 30-day mortality (AUC 0.74; 95% CI 0.67-0.81). Complications were higher among patients with NHFS > 4. The performance of NHFS was better than the traditional perioperative risk ASA score. Therefore, NHFS can be implemented in real-world clinical practice to estimate the 30-day mortality risk for hip fracture in older patients in Brazil. NHFS > 4 is critical for 30-day mortality and complications; this cutoff helps inform clinical practice. The present study might motivate other centers to consider NHFS in their perioperative risk assessment routine.</p>\",\"PeriodicalId\":21811,\"journal\":{\"name\":\"Scientific Reports\",\"volume\":\"15 1\",\"pages\":\"5607\"},\"PeriodicalIF\":3.9000,\"publicationDate\":\"2025-02-15\",\"publicationTypes\":\"Journal Article\",\"fieldsOfStudy\":null,\"isOpenAccess\":false,\"openAccessPdf\":\"https://www.ncbi.nlm.nih.gov/pmc/articles/PMC11830071/pdf/\",\"citationCount\":\"0\",\"resultStr\":null,\"platform\":\"Semanticscholar\",\"paperid\":null,\"PeriodicalName\":\"Scientific Reports\",\"FirstCategoryId\":\"103\",\"ListUrlMain\":\"https://doi.org/10.1038/s41598-025-89869-2\",\"RegionNum\":2,\"RegionCategory\":\"综合性期刊\",\"ArticlePicture\":[],\"TitleCN\":null,\"AbstractTextCN\":null,\"PMCID\":null,\"EPubDate\":\"\",\"PubModel\":\"\",\"JCR\":\"Q1\",\"JCRName\":\"MULTIDISCIPLINARY SCIENCES\",\"Score\":null,\"Total\":0}","platform":"Semanticscholar","paperid":null,"PeriodicalName":"Scientific Reports","FirstCategoryId":"103","ListUrlMain":"https://doi.org/10.1038/s41598-025-89869-2","RegionNum":2,"RegionCategory":"综合性期刊","ArticlePicture":[],"TitleCN":null,"AbstractTextCN":null,"PMCID":null,"EPubDate":"","PubModel":"","JCR":"Q1","JCRName":"MULTIDISCIPLINARY SCIENCES","Score":null,"Total":0}
引用次数: 0

摘要

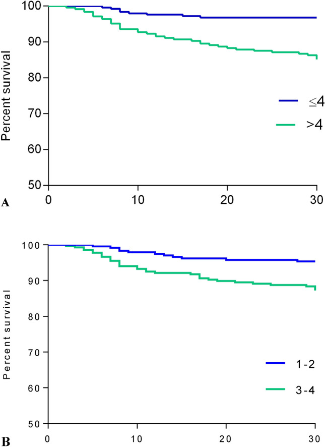
围手术期风险评估有助于为老年髋部骨折患者的临床实践提供信息。这是一项队列研究,入院时进行围手术期风险筛查,包括NHFS,然后对30天的结果进行评估。纳入503例患者,女性73%,年龄79.4±9.3岁;58%为囊外骨折,42%为囊内骨折,30天死亡率为9%。死亡5.6±1.1的患者的NHFS高于存活4.3±1.5的患者(经骨折类型校正的Cox回归观察,p值4与30天死亡率相关:HR 4.55 (95% CI 2.10-9.82) (p值4)。NHFS评分优于传统围手术期风险ASA评分。因此,NHFS可以在现实世界的临床实践中实施,以估计巴西老年患者髋部骨折的30天死亡风险。NHFS bbb4对30天死亡率和并发症至关重要;这有助于告知临床实践。本研究可能会激励其他中心在围手术期风险评估常规中考虑NHFS。
本文章由计算机程序翻译,如有差异,请以英文原文为准。

Performance of the Nottingham hip fracture score (NHFS) as a predictor of 30-day mortality after proximal femur fracture in an older people Brazilian cohort.

Performance of the Nottingham hip fracture score (NHFS) as a predictor of 30-day mortality after proximal femur fracture in an older people Brazilian cohort.

Performance of the Nottingham hip fracture score (NHFS) as a predictor of 30-day mortality after proximal femur fracture in an older people Brazilian cohort.

Performance of the Nottingham hip fracture score (NHFS) as a predictor of 30-day mortality after proximal femur fracture in an older people Brazilian cohort.

Perioperative risk assessment helps inform clinical practice for older people with hip fractures. This is a cohort study, where perioperative risk screening, including NHFS, was performed at admission, followed by an evaluation of 30-day outcomes. 503 patients were included, 73% female, 79.4 ± 9.3 years old; 58% presented extracapsular and 42% intracapsular fractures, with a 30-day mortality of 9%. The NHFS was higher in the patients who died at 5.6 ± 1.1 compared to survivals at 4.3 ± 1.5 (p-value < 0.001). NHFS > 4 was associated with 30-day mortality observed by Cox regression adjusted by fracture type: HR 4.55 (95% CI 2.10-9.82) (p-value < 0.001) and Kaplan-Meyer Curve (HR 3.94; 95% CI 2.19-7.07; p-value < 0.001). ROC curve showed the accuracy of NHFS in explaining 30-day mortality (AUC 0.74; 95% CI 0.67-0.81). Complications were higher among patients with NHFS > 4. The performance of NHFS was better than the traditional perioperative risk ASA score. Therefore, NHFS can be implemented in real-world clinical practice to estimate the 30-day mortality risk for hip fracture in older patients in Brazil. NHFS > 4 is critical for 30-day mortality and complications; this cutoff helps inform clinical practice. The present study might motivate other centers to consider NHFS in their perioperative risk assessment routine.

求助全文
通过发布文献求助,成功后即可免费获取论文全文。 去求助
来源期刊
Scientific Reports
Scientific Reports Natural Science Disciplines-
CiteScore
7.50
自引率
4.30%
发文量
19567
审稿时长
3.9 months
期刊介绍: We publish original research from all areas of the natural sciences, psychology, medicine and engineering. You can learn more about what we publish by browsing our specific scientific subject areas below or explore Scientific Reports by browsing all articles and collections. Scientific Reports has a 2-year impact factor: 4.380 (2021), and is the 6th most-cited journal in the world, with more than 540,000 citations in 2020 (Clarivate Analytics, 2021). •Engineering Engineering covers all aspects of engineering, technology, and applied science. It plays a crucial role in the development of technologies to address some of the world''s biggest challenges, helping to save lives and improve the way we live. •Physical sciences Physical sciences are those academic disciplines that aim to uncover the underlying laws of nature — often written in the language of mathematics. It is a collective term for areas of study including astronomy, chemistry, materials science and physics. •Earth and environmental sciences Earth and environmental sciences cover all aspects of Earth and planetary science and broadly encompass solid Earth processes, surface and atmospheric dynamics, Earth system history, climate and climate change, marine and freshwater systems, and ecology. It also considers the interactions between humans and these systems. •Biological sciences Biological sciences encompass all the divisions of natural sciences examining various aspects of vital processes. The concept includes anatomy, physiology, cell biology, biochemistry and biophysics, and covers all organisms from microorganisms, animals to plants. •Health sciences The health sciences study health, disease and healthcare. This field of study aims to develop knowledge, interventions and technology for use in healthcare to improve the treatment of patients.
×
引用
GB/T 7714-2015
复制
MLA
复制
APA
复制
导出至
BibTeX EndNote RefMan NoteFirst NoteExpress
×
提示
您的信息不完整,为了账户安全,请先补充。
现在去补充
×
提示
您因"违规操作"
具体请查看互助需知
我知道了
×
提示
确定
请完成安全验证×
copy
已复制链接
快去分享给好友吧!
我知道了
右上角分享
点击右上角分享
0
联系我们:info@booksci.cn Book学术提供免费学术资源搜索服务,方便国内外学者检索中英文文献。致力于提供最便捷和优质的服务体验。 Copyright © 2023 布克学术 All rights reserved.
京ICP备2023020795号-1
ghs 京公网安备 11010802042870号
Book学术文献互助
Book学术文献互助群
群 号:604180095
Book学术官方微信