使用美国食品和药物管理局不良事件报告系统对降钙素基因相关肽抑制剂相关的雷诺氏现象进行歧化分析。

IF 3.9 2区 综合性期刊 Q1 MULTIDISCIPLINARY SCIENCES
Nai Lee, Ji Hoon Ok, Su-Jin Rhee, Yun Kim
{"title":"使用美国食品和药物管理局不良事件报告系统对降钙素基因相关肽抑制剂相关的雷诺氏现象进行歧化分析。","authors":"Nai Lee, Ji Hoon Ok, Su-Jin Rhee, Yun Kim","doi":"10.1038/s41598-025-87421-w","DOIUrl":null,"url":null,"abstract":"<p><p>Raynaud's phenomenon is a vascular condition characterized by episodic vasoconstriction, and recent reports suggest a potential link between calcitonin gene-related peptide (CGRP) inhibitors, used for migraine treatment, and the onset of this condition. This study evaluated the association between CGRP inhibitors and Raynaud's phenomenon using data from the FDA Adverse Event Reporting System (FAERS). A retrospective analysis of adverse events from the approval year of each drug through August 2023 was conducted. Disproportionality was assessed using Reporting Odds Ratios (ROR) and Information Components (IC), with significant signals of disproportionate reporting (SDR) identified by a lower 95% confidence interval (CI) for ROR > 1.0 and IC > 0. Intra-class and inter-class analyses were conducted to compare SDRs among CGRP inhibitors and other migraine therapies, including triptans, beta-blockers, and anticonvulsants. CGRP inhibitors demonstrated significant SDRs for Raynaud's phenomenon (ROR 19.12; 95% CI 15.44-23.69), with rimegepant, ubrogepant, and atogepant showing particularly strong signals. Intra-class analysis revealed a significant SDR only for galcanezumab (ROR 2.01; 95% CI 1.28-3.17). Inter-class analysis indicated significant SDRs for CGRP inhibitors compared to beta-blockers, anticonvulsants, and celecoxib, but not triptans. These findings underscore the importance of ongoing pharmacovigilance and further research to validate these associations and ensure patient safety.</p>","PeriodicalId":21811,"journal":{"name":"Scientific Reports","volume":"15 1","pages":"5675"},"PeriodicalIF":3.9000,"publicationDate":"2025-02-15","publicationTypes":"Journal Article","fieldsOfStudy":null,"isOpenAccess":false,"openAccessPdf":"https://www.ncbi.nlm.nih.gov/pmc/articles/PMC11830029/pdf/","citationCount":"0","resultStr":"{\"title\":\"Disproportionality analysis of Raynaud's phenomenon associated with calcitonin gene-related peptide inhibitors using the Food and Drug Administration adverse event reporting system.\",\"authors\":\"Nai Lee, Ji Hoon Ok, Su-Jin Rhee, Yun Kim\",\"doi\":\"10.1038/s41598-025-87421-w\",\"DOIUrl\":null,\"url\":null,\"abstract\":\"<p><p>Raynaud's phenomenon is a vascular condition characterized by episodic vasoconstriction, and recent reports suggest a potential link between calcitonin gene-related peptide (CGRP) inhibitors, used for migraine treatment, and the onset of this condition. This study evaluated the association between CGRP inhibitors and Raynaud's phenomenon using data from the FDA Adverse Event Reporting System (FAERS). A retrospective analysis of adverse events from the approval year of each drug through August 2023 was conducted. Disproportionality was assessed using Reporting Odds Ratios (ROR) and Information Components (IC), with significant signals of disproportionate reporting (SDR) identified by a lower 95% confidence interval (CI) for ROR > 1.0 and IC > 0. Intra-class and inter-class analyses were conducted to compare SDRs among CGRP inhibitors and other migraine therapies, including triptans, beta-blockers, and anticonvulsants. CGRP inhibitors demonstrated significant SDRs for Raynaud's phenomenon (ROR 19.12; 95% CI 15.44-23.69), with rimegepant, ubrogepant, and atogepant showing particularly strong signals. Intra-class analysis revealed a significant SDR only for galcanezumab (ROR 2.01; 95% CI 1.28-3.17). Inter-class analysis indicated significant SDRs for CGRP inhibitors compared to beta-blockers, anticonvulsants, and celecoxib, but not triptans. These findings underscore the importance of ongoing pharmacovigilance and further research to validate these associations and ensure patient safety.</p>\",\"PeriodicalId\":21811,\"journal\":{\"name\":\"Scientific Reports\",\"volume\":\"15 1\",\"pages\":\"5675\"},\"PeriodicalIF\":3.9000,\"publicationDate\":\"2025-02-15\",\"publicationTypes\":\"Journal Article\",\"fieldsOfStudy\":null,\"isOpenAccess\":false,\"openAccessPdf\":\"https://www.ncbi.nlm.nih.gov/pmc/articles/PMC11830029/pdf/\",\"citationCount\":\"0\",\"resultStr\":null,\"platform\":\"Semanticscholar\",\"paperid\":null,\"PeriodicalName\":\"Scientific Reports\",\"FirstCategoryId\":\"103\",\"ListUrlMain\":\"https://doi.org/10.1038/s41598-025-87421-w\",\"RegionNum\":2,\"RegionCategory\":\"综合性期刊\",\"ArticlePicture\":[],\"TitleCN\":null,\"AbstractTextCN\":null,\"PMCID\":null,\"EPubDate\":\"\",\"PubModel\":\"\",\"JCR\":\"Q1\",\"JCRName\":\"MULTIDISCIPLINARY SCIENCES\",\"Score\":null,\"Total\":0}","platform":"Semanticscholar","paperid":null,"PeriodicalName":"Scientific Reports","FirstCategoryId":"103","ListUrlMain":"https://doi.org/10.1038/s41598-025-87421-w","RegionNum":2,"RegionCategory":"综合性期刊","ArticlePicture":[],"TitleCN":null,"AbstractTextCN":null,"PMCID":null,"EPubDate":"","PubModel":"","JCR":"Q1","JCRName":"MULTIDISCIPLINARY SCIENCES","Score":null,"Total":0}
引用次数: 0

摘要

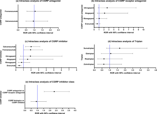
雷诺氏现象是一种以间歇性血管收缩为特征的血管疾病,最近的报道表明,用于偏头痛治疗的降钙素基因相关肽(CGRP)抑制剂与这种疾病的发病之间存在潜在联系。本研究利用FDA不良事件报告系统(FAERS)的数据评估CGRP抑制剂与雷诺氏现象之间的关系。回顾性分析了每种药物从批准年度到2023年8月的不良事件。使用报告比值比(ROR)和信息成分(IC)来评估不相称性,通过较低的95%置信区间(CI)来识别不相称性报告(SDR)的显著信号,ROR为1.0,IC为0。进行了类内和类间分析,比较CGRP抑制剂和其他偏头痛治疗(包括曲坦类、β受体阻滞剂和抗惊厥药)的sdr。CGRP抑制剂对雷诺现象表现出显著的sdr (ROR 19.12;95% CI 15.44-23.69),伴孕剂、富孕剂和同孕剂表现出特别强烈的信号。类内分析显示,只有galcanezumab具有显著的SDR (ROR 2.01;95% ci 1.28-3.17)。类间分析显示CGRP抑制剂与-受体阻滞剂、抗惊厥药和塞来昔布相比有显著的特别表现,但曲坦类没有。这些发现强调了持续进行药物警戒和进一步研究以验证这些关联并确保患者安全的重要性。
本文章由计算机程序翻译,如有差异,请以英文原文为准。

Disproportionality analysis of Raynaud's phenomenon associated with calcitonin gene-related peptide inhibitors using the Food and Drug Administration adverse event reporting system.

Disproportionality analysis of Raynaud's phenomenon associated with calcitonin gene-related peptide inhibitors using the Food and Drug Administration adverse event reporting system.

Disproportionality analysis of Raynaud's phenomenon associated with calcitonin gene-related peptide inhibitors using the Food and Drug Administration adverse event reporting system.

Disproportionality analysis of Raynaud's phenomenon associated with calcitonin gene-related peptide inhibitors using the Food and Drug Administration adverse event reporting system.

Raynaud's phenomenon is a vascular condition characterized by episodic vasoconstriction, and recent reports suggest a potential link between calcitonin gene-related peptide (CGRP) inhibitors, used for migraine treatment, and the onset of this condition. This study evaluated the association between CGRP inhibitors and Raynaud's phenomenon using data from the FDA Adverse Event Reporting System (FAERS). A retrospective analysis of adverse events from the approval year of each drug through August 2023 was conducted. Disproportionality was assessed using Reporting Odds Ratios (ROR) and Information Components (IC), with significant signals of disproportionate reporting (SDR) identified by a lower 95% confidence interval (CI) for ROR > 1.0 and IC > 0. Intra-class and inter-class analyses were conducted to compare SDRs among CGRP inhibitors and other migraine therapies, including triptans, beta-blockers, and anticonvulsants. CGRP inhibitors demonstrated significant SDRs for Raynaud's phenomenon (ROR 19.12; 95% CI 15.44-23.69), with rimegepant, ubrogepant, and atogepant showing particularly strong signals. Intra-class analysis revealed a significant SDR only for galcanezumab (ROR 2.01; 95% CI 1.28-3.17). Inter-class analysis indicated significant SDRs for CGRP inhibitors compared to beta-blockers, anticonvulsants, and celecoxib, but not triptans. These findings underscore the importance of ongoing pharmacovigilance and further research to validate these associations and ensure patient safety.

求助全文
通过发布文献求助,成功后即可免费获取论文全文。 去求助
来源期刊
Scientific Reports
Scientific Reports Natural Science Disciplines-
CiteScore
7.50
自引率
4.30%
发文量
19567
审稿时长
3.9 months
期刊介绍: We publish original research from all areas of the natural sciences, psychology, medicine and engineering. You can learn more about what we publish by browsing our specific scientific subject areas below or explore Scientific Reports by browsing all articles and collections. Scientific Reports has a 2-year impact factor: 4.380 (2021), and is the 6th most-cited journal in the world, with more than 540,000 citations in 2020 (Clarivate Analytics, 2021). •Engineering Engineering covers all aspects of engineering, technology, and applied science. It plays a crucial role in the development of technologies to address some of the world''s biggest challenges, helping to save lives and improve the way we live. •Physical sciences Physical sciences are those academic disciplines that aim to uncover the underlying laws of nature — often written in the language of mathematics. It is a collective term for areas of study including astronomy, chemistry, materials science and physics. •Earth and environmental sciences Earth and environmental sciences cover all aspects of Earth and planetary science and broadly encompass solid Earth processes, surface and atmospheric dynamics, Earth system history, climate and climate change, marine and freshwater systems, and ecology. It also considers the interactions between humans and these systems. •Biological sciences Biological sciences encompass all the divisions of natural sciences examining various aspects of vital processes. The concept includes anatomy, physiology, cell biology, biochemistry and biophysics, and covers all organisms from microorganisms, animals to plants. •Health sciences The health sciences study health, disease and healthcare. This field of study aims to develop knowledge, interventions and technology for use in healthcare to improve the treatment of patients.
×
引用
GB/T 7714-2015
复制
MLA
复制
APA
复制
导出至
BibTeX EndNote RefMan NoteFirst NoteExpress
×
提示
您的信息不完整,为了账户安全,请先补充。
现在去补充
×
提示
您因"违规操作"
具体请查看互助需知
我知道了
×
提示
确定
请完成安全验证×
copy
已复制链接
快去分享给好友吧!
我知道了
右上角分享
点击右上角分享
0
联系我们:info@booksci.cn Book学术提供免费学术资源搜索服务,方便国内外学者检索中英文文献。致力于提供最便捷和优质的服务体验。 Copyright © 2023 布克学术 All rights reserved.
京ICP备2023020795号-1
ghs 京公网安备 11010802042870号
Book学术文献互助
Book学术文献互助群
群 号:604180095
Book学术官方微信