在CAO/ARO/AIO-04随机3期试验中,局部晚期直肠癌患者腹会阴切除术后的预后和生活质量

IF 3.9 2区 综合性期刊 Q1 MULTIDISCIPLINARY SCIENCES
Jochen Gaedcke, Malte Sahrhage, Marcel Ebeling, Azadeh Azizian, Felix Rühlmann, Markus Bernhardt, Marian Grade, Wolf Otto Bechstein, Christoph-Thomas Germer, Robert Grützmann, Pompiliu Piso, Ralf-Dieter Hofheinz, Ludger Staib, Tim Beißbarth, Rebekka Kosmala, Emmanouil Fokas, Claus Rödel, Michael Ghadimi
{"title":"在CAO/ARO/AIO-04随机3期试验中,局部晚期直肠癌患者腹会阴切除术后的预后和生活质量","authors":"Jochen Gaedcke, Malte Sahrhage, Marcel Ebeling, Azadeh Azizian, Felix Rühlmann, Markus Bernhardt, Marian Grade, Wolf Otto Bechstein, Christoph-Thomas Germer, Robert Grützmann, Pompiliu Piso, Ralf-Dieter Hofheinz, Ludger Staib, Tim Beißbarth, Rebekka Kosmala, Emmanouil Fokas, Claus Rödel, Michael Ghadimi","doi":"10.1038/s41598-024-83105-z","DOIUrl":null,"url":null,"abstract":"<p><p>Low anterior resection (LAR) and abdominoperineal resection (APR) are the two main surgical procedures after preoperative chemoradiotherapy (CRT) for locally advanced rectal cancer. APR is associated with poorer prognosis; however existing data do not consider intensified CRT (5-Fluorouracil (5-FU)/Oxaliplatin + radiation) protocols. Clinicopathological data of patients treated with APR and LAR from the CAO/ARO/AIO-04 trial were analysed in terms of prognostic parameters and quality of life (QoL). Based on higher response rate after intensified CRT, subgroup analyses were performed. Data from n = 1173 patients were assessed. APR after preoperative CRT was associated with a significantly worse overall survival (p = 0.0056), disease-free survival (p < 0.0001) and local recurrence rate (p = 0.0047). Clinicopathological data including clinical T stage (p < 0.000001), grading (p = 0.0038), postoperative lymph node (LN) positivity (p = 0.013), and number of positive LN (p = 0.0049) significantly differed between procedures and showed higher values in APR patients. The quality of total mesorectal excision (TME) was significantly better (p < 0.0001) and complete resection rates were higher (p = 0.0022) in LAR compared to APR patients. Subgroup analyses showed worse LR rates in APR patients after standard CRT (5-FU mono and radiation) but not after intensified CRT. After 3 years, role functioning (p = 0.019) and physical functioning (p = 0.001) had a slightly poorer outcome in APR patients. The poorer prognosis of patients undergoing APR for locally advanced rectal cancer may be explained by clinicopathological characteristics. Intensified CRT may compensate for the higher risk of LR after APR in patients with worse TME quality. QoL in APR patients was comparable to LAR patients.</p>","PeriodicalId":21811,"journal":{"name":"Scientific Reports","volume":"15 1","pages":"5401"},"PeriodicalIF":3.9000,"publicationDate":"2025-02-13","publicationTypes":"Journal Article","fieldsOfStudy":null,"isOpenAccess":false,"openAccessPdf":"https://www.ncbi.nlm.nih.gov/pmc/articles/PMC11825916/pdf/","citationCount":"0","resultStr":"{\"title\":\"Prognosis and quality of life in patients with locally advanced rectal cancer after abdominoperineal resection in the CAO/ARO/AIO-04 randomized phase 3 trial.\",\"authors\":\"Jochen Gaedcke, Malte Sahrhage, Marcel Ebeling, Azadeh Azizian, Felix Rühlmann, Markus Bernhardt, Marian Grade, Wolf Otto Bechstein, Christoph-Thomas Germer, Robert Grützmann, Pompiliu Piso, Ralf-Dieter Hofheinz, Ludger Staib, Tim Beißbarth, Rebekka Kosmala, Emmanouil Fokas, Claus Rödel, Michael Ghadimi\",\"doi\":\"10.1038/s41598-024-83105-z\",\"DOIUrl\":null,\"url\":null,\"abstract\":\"<p><p>Low anterior resection (LAR) and abdominoperineal resection (APR) are the two main surgical procedures after preoperative chemoradiotherapy (CRT) for locally advanced rectal cancer. APR is associated with poorer prognosis; however existing data do not consider intensified CRT (5-Fluorouracil (5-FU)/Oxaliplatin + radiation) protocols. Clinicopathological data of patients treated with APR and LAR from the CAO/ARO/AIO-04 trial were analysed in terms of prognostic parameters and quality of life (QoL). Based on higher response rate after intensified CRT, subgroup analyses were performed. Data from n = 1173 patients were assessed. APR after preoperative CRT was associated with a significantly worse overall survival (p = 0.0056), disease-free survival (p < 0.0001) and local recurrence rate (p = 0.0047). Clinicopathological data including clinical T stage (p < 0.000001), grading (p = 0.0038), postoperative lymph node (LN) positivity (p = 0.013), and number of positive LN (p = 0.0049) significantly differed between procedures and showed higher values in APR patients. The quality of total mesorectal excision (TME) was significantly better (p < 0.0001) and complete resection rates were higher (p = 0.0022) in LAR compared to APR patients. Subgroup analyses showed worse LR rates in APR patients after standard CRT (5-FU mono and radiation) but not after intensified CRT. After 3 years, role functioning (p = 0.019) and physical functioning (p = 0.001) had a slightly poorer outcome in APR patients. The poorer prognosis of patients undergoing APR for locally advanced rectal cancer may be explained by clinicopathological characteristics. Intensified CRT may compensate for the higher risk of LR after APR in patients with worse TME quality. QoL in APR patients was comparable to LAR patients.</p>\",\"PeriodicalId\":21811,\"journal\":{\"name\":\"Scientific Reports\",\"volume\":\"15 1\",\"pages\":\"5401\"},\"PeriodicalIF\":3.9000,\"publicationDate\":\"2025-02-13\",\"publicationTypes\":\"Journal Article\",\"fieldsOfStudy\":null,\"isOpenAccess\":false,\"openAccessPdf\":\"https://www.ncbi.nlm.nih.gov/pmc/articles/PMC11825916/pdf/\",\"citationCount\":\"0\",\"resultStr\":null,\"platform\":\"Semanticscholar\",\"paperid\":null,\"PeriodicalName\":\"Scientific Reports\",\"FirstCategoryId\":\"103\",\"ListUrlMain\":\"https://doi.org/10.1038/s41598-024-83105-z\",\"RegionNum\":2,\"RegionCategory\":\"综合性期刊\",\"ArticlePicture\":[],\"TitleCN\":null,\"AbstractTextCN\":null,\"PMCID\":null,\"EPubDate\":\"\",\"PubModel\":\"\",\"JCR\":\"Q1\",\"JCRName\":\"MULTIDISCIPLINARY SCIENCES\",\"Score\":null,\"Total\":0}","platform":"Semanticscholar","paperid":null,"PeriodicalName":"Scientific Reports","FirstCategoryId":"103","ListUrlMain":"https://doi.org/10.1038/s41598-024-83105-z","RegionNum":2,"RegionCategory":"综合性期刊","ArticlePicture":[],"TitleCN":null,"AbstractTextCN":null,"PMCID":null,"EPubDate":"","PubModel":"","JCR":"Q1","JCRName":"MULTIDISCIPLINARY SCIENCES","Score":null,"Total":0}
引用次数: 0

摘要

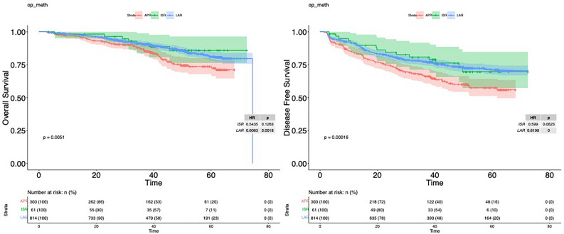
低位前切除术(LAR)和腹会阴切除术(APR)是局部晚期直肠癌术前放化疗(CRT)后的两种主要手术方式。APR与较差的预后相关;然而,现有数据不考虑强化CRT(5-氟尿嘧啶(5-FU)/奥沙利铂+放疗)方案。从预后参数和生活质量(QoL)方面分析CAO/ARO/AIO-04试验中APR和LAR患者的临床病理资料。基于强化后有效率较高,进行亚组分析。对n = 1173例患者的数据进行了评估。术前CRT后APR与总生存期(p = 0.0056)和无病生存期(p = 0.0056)相关
本文章由计算机程序翻译,如有差异,请以英文原文为准。

Prognosis and quality of life in patients with locally advanced rectal cancer after abdominoperineal resection in the CAO/ARO/AIO-04 randomized phase 3 trial.

Prognosis and quality of life in patients with locally advanced rectal cancer after abdominoperineal resection in the CAO/ARO/AIO-04 randomized phase 3 trial.

Prognosis and quality of life in patients with locally advanced rectal cancer after abdominoperineal resection in the CAO/ARO/AIO-04 randomized phase 3 trial.

Low anterior resection (LAR) and abdominoperineal resection (APR) are the two main surgical procedures after preoperative chemoradiotherapy (CRT) for locally advanced rectal cancer. APR is associated with poorer prognosis; however existing data do not consider intensified CRT (5-Fluorouracil (5-FU)/Oxaliplatin + radiation) protocols. Clinicopathological data of patients treated with APR and LAR from the CAO/ARO/AIO-04 trial were analysed in terms of prognostic parameters and quality of life (QoL). Based on higher response rate after intensified CRT, subgroup analyses were performed. Data from n = 1173 patients were assessed. APR after preoperative CRT was associated with a significantly worse overall survival (p = 0.0056), disease-free survival (p < 0.0001) and local recurrence rate (p = 0.0047). Clinicopathological data including clinical T stage (p < 0.000001), grading (p = 0.0038), postoperative lymph node (LN) positivity (p = 0.013), and number of positive LN (p = 0.0049) significantly differed between procedures and showed higher values in APR patients. The quality of total mesorectal excision (TME) was significantly better (p < 0.0001) and complete resection rates were higher (p = 0.0022) in LAR compared to APR patients. Subgroup analyses showed worse LR rates in APR patients after standard CRT (5-FU mono and radiation) but not after intensified CRT. After 3 years, role functioning (p = 0.019) and physical functioning (p = 0.001) had a slightly poorer outcome in APR patients. The poorer prognosis of patients undergoing APR for locally advanced rectal cancer may be explained by clinicopathological characteristics. Intensified CRT may compensate for the higher risk of LR after APR in patients with worse TME quality. QoL in APR patients was comparable to LAR patients.

求助全文
通过发布文献求助,成功后即可免费获取论文全文。 去求助
来源期刊
Scientific Reports
Scientific Reports Natural Science Disciplines-
CiteScore
7.50
自引率
4.30%
发文量
19567
审稿时长
3.9 months
期刊介绍: We publish original research from all areas of the natural sciences, psychology, medicine and engineering. You can learn more about what we publish by browsing our specific scientific subject areas below or explore Scientific Reports by browsing all articles and collections. Scientific Reports has a 2-year impact factor: 4.380 (2021), and is the 6th most-cited journal in the world, with more than 540,000 citations in 2020 (Clarivate Analytics, 2021). •Engineering Engineering covers all aspects of engineering, technology, and applied science. It plays a crucial role in the development of technologies to address some of the world''s biggest challenges, helping to save lives and improve the way we live. •Physical sciences Physical sciences are those academic disciplines that aim to uncover the underlying laws of nature — often written in the language of mathematics. It is a collective term for areas of study including astronomy, chemistry, materials science and physics. •Earth and environmental sciences Earth and environmental sciences cover all aspects of Earth and planetary science and broadly encompass solid Earth processes, surface and atmospheric dynamics, Earth system history, climate and climate change, marine and freshwater systems, and ecology. It also considers the interactions between humans and these systems. •Biological sciences Biological sciences encompass all the divisions of natural sciences examining various aspects of vital processes. The concept includes anatomy, physiology, cell biology, biochemistry and biophysics, and covers all organisms from microorganisms, animals to plants. •Health sciences The health sciences study health, disease and healthcare. This field of study aims to develop knowledge, interventions and technology for use in healthcare to improve the treatment of patients.
×
引用
GB/T 7714-2015
复制
MLA
复制
APA
复制
导出至
BibTeX EndNote RefMan NoteFirst NoteExpress
×
提示
您的信息不完整,为了账户安全,请先补充。
现在去补充
×
提示
您因"违规操作"
具体请查看互助需知
我知道了
×
提示
确定
请完成安全验证×
copy
已复制链接
快去分享给好友吧!
我知道了
右上角分享
点击右上角分享
0
联系我们:info@booksci.cn Book学术提供免费学术资源搜索服务,方便国内外学者检索中英文文献。致力于提供最便捷和优质的服务体验。 Copyright © 2023 布克学术 All rights reserved.
京ICP备2023020795号-1
ghs 京公网安备 11010802042870号
Book学术文献互助
Book学术文献互助群
群 号:604180095
Book学术官方微信