球场网球训练结合HIIT与RST对年轻网球运动员有氧能力、速度、敏捷性、跳跃能力和内部负荷的影响。

IF 2.8 3区 医学 Q2 SPORT SCIENCES
Journal of Human Kinetics Pub Date : 2024-12-06 eCollection Date: 2025-01-01 DOI:10.5114/jhk/189691
Jorge E Morais, Bulent Kilit, Ersan Arslan, Jose A Bragada, Yusuf Soylu, Daniel A Marinho
{"title":"球场网球训练结合HIIT与RST对年轻网球运动员有氧能力、速度、敏捷性、跳跃能力和内部负荷的影响。","authors":"Jorge E Morais, Bulent Kilit, Ersan Arslan, Jose A Bragada, Yusuf Soylu, Daniel A Marinho","doi":"10.5114/jhk/189691","DOIUrl":null,"url":null,"abstract":"<p><p>The purpose of this study was to compare the effects of on-court tennis training (OTT) combined with high-intensity interval training (HIIT) or repeated sprint training (RST) on the physiological, kinematic, kinetic, and perceptual responses of young tennis players. Twenty-four male tennis players (age 13.6 ± 0.3 years) were randomly assigned to either the OTT + HIIT group (n = 12) or the OTT + RST group (n = 12) three times per week for six weeks. Both groups trained for the same total training time with passive rest in each session. A number of physiological, performance and perceptual responses were measured before and after the 6-week training intervention. All variables showed a significant improvement over time, with maximal oxygen uptake showing the greatest improvement (p < 0.001, η<sup>2</sup> = 0.97). The 5-m sprint (p = 0.044, η<sup>2</sup> = 0.17), repeated sprint ability (p = 0.021, η<sup>2</sup> = 0.22), and T-drill agility (p = 0.048, η<sup>2</sup> = 0.17) showed a significant group effect. The OTT + RST group had a lower internal training load (better scores), a lower rate of perceived exertion (better scores), and higher scores in the Physical Activity Enjoyment Scale (PACES) at both times compared to the OTT + HITT group. These results demonstrate that OTT + RST appears to be a more effective training approach to improve speed and agility-based performance responses with more enjoyment in young tennis players.</p>","PeriodicalId":16055,"journal":{"name":"Journal of Human Kinetics","volume":"95 ","pages":"173-185"},"PeriodicalIF":2.8000,"publicationDate":"2024-12-06","publicationTypes":"Journal Article","fieldsOfStudy":null,"isOpenAccess":false,"openAccessPdf":"https://www.ncbi.nlm.nih.gov/pmc/articles/PMC11812157/pdf/","citationCount":"0","resultStr":"{\"title\":\"Effects of On-Court Tennis Training Combined with HIIT versus RST on Aerobic Capacity, Speed, Agility, Jumping Ability, and Internal Loads in Young Tennis Players.\",\"authors\":\"Jorge E Morais, Bulent Kilit, Ersan Arslan, Jose A Bragada, Yusuf Soylu, Daniel A Marinho\",\"doi\":\"10.5114/jhk/189691\",\"DOIUrl\":null,\"url\":null,\"abstract\":\"<p><p>The purpose of this study was to compare the effects of on-court tennis training (OTT) combined with high-intensity interval training (HIIT) or repeated sprint training (RST) on the physiological, kinematic, kinetic, and perceptual responses of young tennis players. Twenty-four male tennis players (age 13.6 ± 0.3 years) were randomly assigned to either the OTT + HIIT group (n = 12) or the OTT + RST group (n = 12) three times per week for six weeks. Both groups trained for the same total training time with passive rest in each session. A number of physiological, performance and perceptual responses were measured before and after the 6-week training intervention. All variables showed a significant improvement over time, with maximal oxygen uptake showing the greatest improvement (p < 0.001, η<sup>2</sup> = 0.97). The 5-m sprint (p = 0.044, η<sup>2</sup> = 0.17), repeated sprint ability (p = 0.021, η<sup>2</sup> = 0.22), and T-drill agility (p = 0.048, η<sup>2</sup> = 0.17) showed a significant group effect. The OTT + RST group had a lower internal training load (better scores), a lower rate of perceived exertion (better scores), and higher scores in the Physical Activity Enjoyment Scale (PACES) at both times compared to the OTT + HITT group. These results demonstrate that OTT + RST appears to be a more effective training approach to improve speed and agility-based performance responses with more enjoyment in young tennis players.</p>\",\"PeriodicalId\":16055,\"journal\":{\"name\":\"Journal of Human Kinetics\",\"volume\":\"95 \",\"pages\":\"173-185\"},\"PeriodicalIF\":2.8000,\"publicationDate\":\"2024-12-06\",\"publicationTypes\":\"Journal Article\",\"fieldsOfStudy\":null,\"isOpenAccess\":false,\"openAccessPdf\":\"https://www.ncbi.nlm.nih.gov/pmc/articles/PMC11812157/pdf/\",\"citationCount\":\"0\",\"resultStr\":null,\"platform\":\"Semanticscholar\",\"paperid\":null,\"PeriodicalName\":\"Journal of Human Kinetics\",\"FirstCategoryId\":\"3\",\"ListUrlMain\":\"https://doi.org/10.5114/jhk/189691\",\"RegionNum\":3,\"RegionCategory\":\"医学\",\"ArticlePicture\":[],\"TitleCN\":null,\"AbstractTextCN\":null,\"PMCID\":null,\"EPubDate\":\"2025/1/1 0:00:00\",\"PubModel\":\"eCollection\",\"JCR\":\"Q2\",\"JCRName\":\"SPORT SCIENCES\",\"Score\":null,\"Total\":0}","platform":"Semanticscholar","paperid":null,"PeriodicalName":"Journal of Human Kinetics","FirstCategoryId":"3","ListUrlMain":"https://doi.org/10.5114/jhk/189691","RegionNum":3,"RegionCategory":"医学","ArticlePicture":[],"TitleCN":null,"AbstractTextCN":null,"PMCID":null,"EPubDate":"2025/1/1 0:00:00","PubModel":"eCollection","JCR":"Q2","JCRName":"SPORT SCIENCES","Score":null,"Total":0}
引用次数: 0

摘要

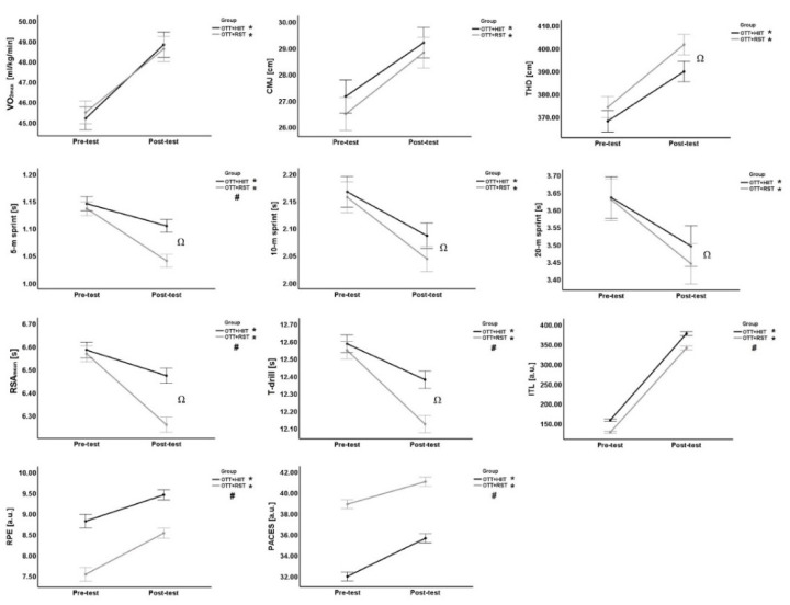
本研究的目的是比较球场网球训练(OTT)与高强度间歇训练(HIIT)或重复冲刺训练(RST)对年轻网球运动员生理、运动学、动力学和知觉反应的影响。24名男性网球运动员(年龄13.6±0.3岁)被随机分配到OTT + HIIT组(n = 12)或OTT + RST组(n = 12),每周3次,持续6周。两组训练的总时间相同,每次训练都是被动休息。在为期6周的训练干预前后,测量了许多生理、表现和知觉反应。随着时间的推移,所有变量均有显著改善,最大摄氧量改善最大(p < 0.001, η2 = 0.97)。5米冲刺(p = 0.044, η2 = 0.17)、重复冲刺能力(p = 0.021, η2 = 0.22)和T-drill敏捷性(p = 0.048, η2 = 0.17)组效应显著。与OTT + HITT组相比,OTT + RST组两次的内部训练负荷较低(得分较高),感知运动率较低(得分较高),身体活动享受量表(PACES)得分较高。这些结果表明,OTT + RST似乎是一种更有效的训练方法,可以提高年轻网球运动员的速度和敏捷性,并带来更多的乐趣。
本文章由计算机程序翻译,如有差异,请以英文原文为准。

Effects of On-Court Tennis Training Combined with HIIT versus RST on Aerobic Capacity, Speed, Agility, Jumping Ability, and Internal Loads in Young Tennis Players.

Effects of On-Court Tennis Training Combined with HIIT versus RST on Aerobic Capacity, Speed, Agility, Jumping Ability, and Internal Loads in Young Tennis Players.

Effects of On-Court Tennis Training Combined with HIIT versus RST on Aerobic Capacity, Speed, Agility, Jumping Ability, and Internal Loads in Young Tennis Players.

The purpose of this study was to compare the effects of on-court tennis training (OTT) combined with high-intensity interval training (HIIT) or repeated sprint training (RST) on the physiological, kinematic, kinetic, and perceptual responses of young tennis players. Twenty-four male tennis players (age 13.6 ± 0.3 years) were randomly assigned to either the OTT + HIIT group (n = 12) or the OTT + RST group (n = 12) three times per week for six weeks. Both groups trained for the same total training time with passive rest in each session. A number of physiological, performance and perceptual responses were measured before and after the 6-week training intervention. All variables showed a significant improvement over time, with maximal oxygen uptake showing the greatest improvement (p < 0.001, η2 = 0.97). The 5-m sprint (p = 0.044, η2 = 0.17), repeated sprint ability (p = 0.021, η2 = 0.22), and T-drill agility (p = 0.048, η2 = 0.17) showed a significant group effect. The OTT + RST group had a lower internal training load (better scores), a lower rate of perceived exertion (better scores), and higher scores in the Physical Activity Enjoyment Scale (PACES) at both times compared to the OTT + HITT group. These results demonstrate that OTT + RST appears to be a more effective training approach to improve speed and agility-based performance responses with more enjoyment in young tennis players.

求助全文
通过发布文献求助,成功后即可免费获取论文全文。 去求助
来源期刊
Journal of Human Kinetics
Journal of Human Kinetics 医学-运动科学
CiteScore
4.80
自引率
0.00%
发文量
83
审稿时长
3 months
期刊介绍: The Journal of Human Kinetics is an open access interdisciplinary periodical offering the latest research in the science of human movement studies. This comprehensive professional journal features articles and research notes encompassing such topic areas as: Kinesiology, Exercise Physiology and Nutrition, Sports Training and Behavioural Sciences in Sport, but especially considering elite and competitive aspects of sport. The journal publishes original papers, invited reviews, short communications and letters to the Editors. Manuscripts submitted to the journal must contain novel data on theoretical or experimental research or on practical applications in the field of sport sciences. The Journal of Human Kinetics is published in March, June, September and December. We encourage scientists from around the world to submit their papers to our periodical.
×
引用
GB/T 7714-2015
复制
MLA
复制
APA
复制
导出至
BibTeX EndNote RefMan NoteFirst NoteExpress
×
提示
您的信息不完整,为了账户安全,请先补充。
现在去补充
×
提示
您因"违规操作"
具体请查看互助需知
我知道了
×
提示
确定
请完成安全验证×
copy
已复制链接
快去分享给好友吧!
我知道了
右上角分享
点击右上角分享
0
联系我们:info@booksci.cn Book学术提供免费学术资源搜索服务,方便国内外学者检索中英文文献。致力于提供最便捷和优质的服务体验。 Copyright © 2023 布克学术 All rights reserved.
京ICP备2023020795号-1
ghs 京公网安备 11010802042870号
Book学术文献互助
Book学术文献互助群
群 号:604180095
Book学术官方微信