甲基丙二酸与美国成年人抑郁症患病率之间的关系:来自NHANES 2011-2014的证据

IF 4.1 2区 医学 Q1 PSYCHIATRY
Siqi Li, Wenbin Nan, Zhenyu Peng, Qiong Huang, Qiong Chen, Baimei He
{"title":"甲基丙二酸与美国成年人抑郁症患病率之间的关系:来自NHANES 2011-2014的证据","authors":"Siqi Li, Wenbin Nan, Zhenyu Peng, Qiong Huang, Qiong Chen, Baimei He","doi":"10.1080/20008066.2025.2450109","DOIUrl":null,"url":null,"abstract":"<p><p><b>Background</b>: Depression is a prevalent mental disorder with high morbidity and mortality globally. Methylmalonic acid (MMA) is involved in the pathogenesis of numerous diseases. However, it is unclear whether there is an association between MMA and the prevalence of depression.<b>Methods</b>: This study enrolled 7866 US adults from the 2011-2014 survey of the National Health and Nutrition Examination Survey (NHANES). Individuals were categorized into depression group and non-depression group based on Patient's Health Questionnaire-9 (PHQ-9) score. The association between MMA concentrations and prevalence of depression was analysed by multivariate logistic and linear regression, restricted cubic spline regression, and subgroup analysis. Mediation analysis was used to explore the role of inflammation in the relationship between MMA and depression.<b>Results</b>: MMA concentrations were higher in participants with depression than those without depression. There was a positive and linear relationship of MMA concentrations with PHQ-9 score and depression risk, respectively. Moreover, the association was stable in most subgroups. Furthermore, inflammatory factors were positively correlated to MMA concentrations and prevalence of depression. In addition, white blood cell, neutrophil and alkaline phosphatase (ALP) mediated the relationship between MMA and depression.<b>Conclusion:</b> Our findings revealed that there was a linear and positive correlation between MMA and the prevalence of depression in US adults, which might be mediated by inflammation.</p>","PeriodicalId":12055,"journal":{"name":"European Journal of Psychotraumatology","volume":"16 1","pages":"2450109"},"PeriodicalIF":4.1000,"publicationDate":"2025-12-01","publicationTypes":"Journal Article","fieldsOfStudy":null,"isOpenAccess":false,"openAccessPdf":"https://www.ncbi.nlm.nih.gov/pmc/articles/PMC11827031/pdf/","citationCount":"0","resultStr":"{\"title\":\"Association between methylmalonic acid and prevalence of depression in US adults: evidence from NHANES 2011-2014.\",\"authors\":\"Siqi Li, Wenbin Nan, Zhenyu Peng, Qiong Huang, Qiong Chen, Baimei He\",\"doi\":\"10.1080/20008066.2025.2450109\",\"DOIUrl\":null,\"url\":null,\"abstract\":\"<p><p><b>Background</b>: Depression is a prevalent mental disorder with high morbidity and mortality globally. Methylmalonic acid (MMA) is involved in the pathogenesis of numerous diseases. However, it is unclear whether there is an association between MMA and the prevalence of depression.<b>Methods</b>: This study enrolled 7866 US adults from the 2011-2014 survey of the National Health and Nutrition Examination Survey (NHANES). Individuals were categorized into depression group and non-depression group based on Patient's Health Questionnaire-9 (PHQ-9) score. The association between MMA concentrations and prevalence of depression was analysed by multivariate logistic and linear regression, restricted cubic spline regression, and subgroup analysis. Mediation analysis was used to explore the role of inflammation in the relationship between MMA and depression.<b>Results</b>: MMA concentrations were higher in participants with depression than those without depression. There was a positive and linear relationship of MMA concentrations with PHQ-9 score and depression risk, respectively. Moreover, the association was stable in most subgroups. Furthermore, inflammatory factors were positively correlated to MMA concentrations and prevalence of depression. In addition, white blood cell, neutrophil and alkaline phosphatase (ALP) mediated the relationship between MMA and depression.<b>Conclusion:</b> Our findings revealed that there was a linear and positive correlation between MMA and the prevalence of depression in US adults, which might be mediated by inflammation.</p>\",\"PeriodicalId\":12055,\"journal\":{\"name\":\"European Journal of Psychotraumatology\",\"volume\":\"16 1\",\"pages\":\"2450109\"},\"PeriodicalIF\":4.1000,\"publicationDate\":\"2025-12-01\",\"publicationTypes\":\"Journal Article\",\"fieldsOfStudy\":null,\"isOpenAccess\":false,\"openAccessPdf\":\"https://www.ncbi.nlm.nih.gov/pmc/articles/PMC11827031/pdf/\",\"citationCount\":\"0\",\"resultStr\":null,\"platform\":\"Semanticscholar\",\"paperid\":null,\"PeriodicalName\":\"European Journal of Psychotraumatology\",\"FirstCategoryId\":\"3\",\"ListUrlMain\":\"https://doi.org/10.1080/20008066.2025.2450109\",\"RegionNum\":2,\"RegionCategory\":\"医学\",\"ArticlePicture\":[],\"TitleCN\":null,\"AbstractTextCN\":null,\"PMCID\":null,\"EPubDate\":\"2025/2/13 0:00:00\",\"PubModel\":\"Epub\",\"JCR\":\"Q1\",\"JCRName\":\"PSYCHIATRY\",\"Score\":null,\"Total\":0}","platform":"Semanticscholar","paperid":null,"PeriodicalName":"European Journal of Psychotraumatology","FirstCategoryId":"3","ListUrlMain":"https://doi.org/10.1080/20008066.2025.2450109","RegionNum":2,"RegionCategory":"医学","ArticlePicture":[],"TitleCN":null,"AbstractTextCN":null,"PMCID":null,"EPubDate":"2025/2/13 0:00:00","PubModel":"Epub","JCR":"Q1","JCRName":"PSYCHIATRY","Score":null,"Total":0}
引用次数: 0

摘要

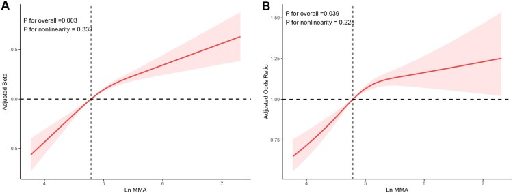
背景:抑郁症是一种普遍存在的精神障碍,在全球范围内具有很高的发病率和死亡率。甲基丙二酸(MMA)参与了许多疾病的发病机制。然而,目前尚不清楚MMA与抑郁症患病率之间是否存在关联。方法:本研究从2011-2014年美国国家健康与营养检查调查(NHANES)中招募了7866名美国成年人。根据患者健康问卷-9 (PHQ-9)得分将个体分为抑郁组和非抑郁组。MMA浓度与抑郁症患病率之间的关系通过多变量logistic和线性回归、限制三次样条回归和亚组分析进行分析。采用中介分析探讨炎症在MMA与抑郁关系中的作用。结果:抑郁症患者的MMA浓度高于无抑郁症患者。MMA浓度与PHQ-9评分和抑郁风险分别呈正相关和线性相关。此外,这种关联在大多数亚组中是稳定的。此外,炎症因子与MMA浓度和抑郁症患病率呈正相关。此外,白细胞、中性粒细胞和碱性磷酸酶(ALP)介导了MMA与抑郁症的关系。结论:我们的研究结果表明,MMA与美国成年人抑郁症患病率之间存在线性正相关,这可能是由炎症介导的。
本文章由计算机程序翻译,如有差异,请以英文原文为准。

Association between methylmalonic acid and prevalence of depression in US adults: evidence from NHANES 2011-2014.

Association between methylmalonic acid and prevalence of depression in US adults: evidence from NHANES 2011-2014.

Association between methylmalonic acid and prevalence of depression in US adults: evidence from NHANES 2011-2014.

Association between methylmalonic acid and prevalence of depression in US adults: evidence from NHANES 2011-2014.

Background: Depression is a prevalent mental disorder with high morbidity and mortality globally. Methylmalonic acid (MMA) is involved in the pathogenesis of numerous diseases. However, it is unclear whether there is an association between MMA and the prevalence of depression.Methods: This study enrolled 7866 US adults from the 2011-2014 survey of the National Health and Nutrition Examination Survey (NHANES). Individuals were categorized into depression group and non-depression group based on Patient's Health Questionnaire-9 (PHQ-9) score. The association between MMA concentrations and prevalence of depression was analysed by multivariate logistic and linear regression, restricted cubic spline regression, and subgroup analysis. Mediation analysis was used to explore the role of inflammation in the relationship between MMA and depression.Results: MMA concentrations were higher in participants with depression than those without depression. There was a positive and linear relationship of MMA concentrations with PHQ-9 score and depression risk, respectively. Moreover, the association was stable in most subgroups. Furthermore, inflammatory factors were positively correlated to MMA concentrations and prevalence of depression. In addition, white blood cell, neutrophil and alkaline phosphatase (ALP) mediated the relationship between MMA and depression.Conclusion: Our findings revealed that there was a linear and positive correlation between MMA and the prevalence of depression in US adults, which might be mediated by inflammation.

求助全文
通过发布文献求助,成功后即可免费获取论文全文。 去求助
来源期刊
CiteScore
7.60
自引率
12.00%
发文量
153
审稿时长
18 weeks
期刊介绍: The European Journal of Psychotraumatology (EJPT) is a peer-reviewed open access interdisciplinary journal owned by the European Society of Traumatic Stress Studies (ESTSS). The European Journal of Psychotraumatology (EJPT) aims to engage scholars, clinicians and researchers in the vital issues of how to understand, prevent and treat the consequences of stress and trauma, including but not limited to, posttraumatic stress disorder (PTSD), depressive disorders, substance abuse, burnout, and neurobiological or physical consequences, using the latest research or clinical experience in these areas. The journal shares ESTSS’ mission to advance and disseminate scientific knowledge about traumatic stress. Papers may address individual events, repeated or chronic (complex) trauma, large scale disasters, or violence. Being open access, the European Journal of Psychotraumatology is also evidence of ESTSS’ stand on free accessibility of research publications to a wider community via the web. The European Journal of Psychotraumatology seeks to attract contributions from academics and practitioners from diverse professional backgrounds, including, but not restricted to, those in mental health, social sciences, and health and welfare services. Contributions from outside Europe are welcome. The journal welcomes original basic and clinical research articles that consolidate and expand the theoretical and professional basis of the field of traumatic stress; Review articles including meta-analyses; short communications presenting new ideas or early-stage promising research; study protocols that describe proposed or ongoing research; case reports examining a single individual or event in a real‑life context; clinical practice papers sharing experience from the clinic; letters to the Editor debating articles already published in the Journal; inaugural Lectures; conference abstracts and book reviews. Both quantitative and qualitative research is welcome.
×
引用
GB/T 7714-2015
复制
MLA
复制
APA
复制
导出至
BibTeX EndNote RefMan NoteFirst NoteExpress
×
提示
您的信息不完整,为了账户安全,请先补充。
现在去补充
×
提示
您因"违规操作"
具体请查看互助需知
我知道了
×
提示
确定
请完成安全验证×
copy
已复制链接
快去分享给好友吧!
我知道了
右上角分享
点击右上角分享
0
联系我们:info@booksci.cn Book学术提供免费学术资源搜索服务,方便国内外学者检索中英文文献。致力于提供最便捷和优质的服务体验。 Copyright © 2023 布克学术 All rights reserved.
京ICP备2023020795号-1
ghs 京公网安备 11010802042870号
Book学术文献互助
Book学术文献互助群
群 号:604180095
Book学术官方微信