生物衰老与银屑病之间的关系:三项观察性研究提供的证据。

IF 5.6 2区 医学 Q1 GERIATRICS & GERONTOLOGY
Zheng Lin, Hong-Fei Wang, Lu-Yan Yu, Jia Chen, Cheng-Cheng Kong, Bin Zhang, Xuan Wu, Hao-Nan Wang, Yi Cao, Ping Lin
{"title":"生物衰老与银屑病之间的关系:三项观察性研究提供的证据。","authors":"Zheng Lin, Hong-Fei Wang, Lu-Yan Yu, Jia Chen, Cheng-Cheng Kong, Bin Zhang, Xuan Wu, Hao-Nan Wang, Yi Cao, Ping Lin","doi":"10.1186/s12979-025-00500-4","DOIUrl":null,"url":null,"abstract":"<p><strong>Background: </strong>The relationship between psoriasis and aging remains unclear. Biological age is considered as a tool for strong association with aging, but there is a lack of reports on the relationship between biological age and psoriasis. Therefore, this study aimed to explore the relationship between biological age and psoriasis.</p><p><strong>Methods: </strong>Patients with psoriasis and non-psoriasis were recruited from National Health and Nutrition Examination Survey (NHANES) (12,973 cases), Medical Information Mart for Intensive Care (MIMIC-IV) (558 cases) and The First Clinical Medical College of Zhejiang Chinese Medical University (206 cases). Biological age was calculated using Klemera-Doubal method age (KDM-age) and phenotypic age (PhenoAge). Linear regression and logistic regression were used to explore the association between psoriasis and biological age advance. Cox regression was used to investigate the association between biological age advance and mortality. Finally, biological age advance was used to predict the death of psoriasis patients.</p><p><strong>Results: </strong>In NHANES, linear regression showed that psoriasis led to a 0.54 advance in PhenoAge (Adjust Beta: 0.54, 95CI: 0.12-0.97, p = 0.018). The KDM-age advance due to psoriasis was not statistically significant (p = 0.754). Using data from China, we came to the new conclusion that for every unit rise in Psoriasis Area and Severity Index, PhenoAge advance rose by 0.12 (Beta: 0.12, 95CI: 0.01-0.22, p = 0.031). Using NHANES data, cox regression shows for every unit rise in PhenoAge advance patients had an 8% rise in mortality (Adjust hazard ratio: 1.08, 95CI: 1.04-1.12, p < 0.001). Using MIMIC-IV, logistic regression showed a 13% increase in mortality within 28 days of admission for every 1 unit rise in PhenoAge advance (odds ratio: 1.13, 95CI: 1.09-1.18, P < 0.001). Finally, we used PhenoAge advance to predict death, with an AUC of 0.71 in the NHANES, an ACU of 0.79 for predicting death within 1 years in the general ward of MIMIC-IV. In the ICU of MIMIC-IV, the AUC for predicting death within 28 days was 0.71.</p><p><strong>Conclusion: </strong>Psoriasis leads to accelerated biological aging in patients, which is associated with the severity of psoriasis and more comorbidities. In addition, PhenoAge has the potential to monitor the health status of patients with psoriasis.</p>","PeriodicalId":51289,"journal":{"name":"Immunity & Ageing","volume":"22 1","pages":"6"},"PeriodicalIF":5.6000,"publicationDate":"2025-02-11","publicationTypes":"Journal Article","fieldsOfStudy":null,"isOpenAccess":false,"openAccessPdf":"https://www.ncbi.nlm.nih.gov/pmc/articles/PMC11816997/pdf/","citationCount":"0","resultStr":"{\"title\":\"The relationship between biological aging and psoriasis: evidence from three observational studies.\",\"authors\":\"Zheng Lin, Hong-Fei Wang, Lu-Yan Yu, Jia Chen, Cheng-Cheng Kong, Bin Zhang, Xuan Wu, Hao-Nan Wang, Yi Cao, Ping Lin\",\"doi\":\"10.1186/s12979-025-00500-4\",\"DOIUrl\":null,\"url\":null,\"abstract\":\"<p><strong>Background: </strong>The relationship between psoriasis and aging remains unclear. Biological age is considered as a tool for strong association with aging, but there is a lack of reports on the relationship between biological age and psoriasis. Therefore, this study aimed to explore the relationship between biological age and psoriasis.</p><p><strong>Methods: </strong>Patients with psoriasis and non-psoriasis were recruited from National Health and Nutrition Examination Survey (NHANES) (12,973 cases), Medical Information Mart for Intensive Care (MIMIC-IV) (558 cases) and The First Clinical Medical College of Zhejiang Chinese Medical University (206 cases). Biological age was calculated using Klemera-Doubal method age (KDM-age) and phenotypic age (PhenoAge). Linear regression and logistic regression were used to explore the association between psoriasis and biological age advance. Cox regression was used to investigate the association between biological age advance and mortality. Finally, biological age advance was used to predict the death of psoriasis patients.</p><p><strong>Results: </strong>In NHANES, linear regression showed that psoriasis led to a 0.54 advance in PhenoAge (Adjust Beta: 0.54, 95CI: 0.12-0.97, p = 0.018). The KDM-age advance due to psoriasis was not statistically significant (p = 0.754). Using data from China, we came to the new conclusion that for every unit rise in Psoriasis Area and Severity Index, PhenoAge advance rose by 0.12 (Beta: 0.12, 95CI: 0.01-0.22, p = 0.031). Using NHANES data, cox regression shows for every unit rise in PhenoAge advance patients had an 8% rise in mortality (Adjust hazard ratio: 1.08, 95CI: 1.04-1.12, p < 0.001). Using MIMIC-IV, logistic regression showed a 13% increase in mortality within 28 days of admission for every 1 unit rise in PhenoAge advance (odds ratio: 1.13, 95CI: 1.09-1.18, P < 0.001). Finally, we used PhenoAge advance to predict death, with an AUC of 0.71 in the NHANES, an ACU of 0.79 for predicting death within 1 years in the general ward of MIMIC-IV. In the ICU of MIMIC-IV, the AUC for predicting death within 28 days was 0.71.</p><p><strong>Conclusion: </strong>Psoriasis leads to accelerated biological aging in patients, which is associated with the severity of psoriasis and more comorbidities. In addition, PhenoAge has the potential to monitor the health status of patients with psoriasis.</p>\",\"PeriodicalId\":51289,\"journal\":{\"name\":\"Immunity & Ageing\",\"volume\":\"22 1\",\"pages\":\"6\"},\"PeriodicalIF\":5.6000,\"publicationDate\":\"2025-02-11\",\"publicationTypes\":\"Journal Article\",\"fieldsOfStudy\":null,\"isOpenAccess\":false,\"openAccessPdf\":\"https://www.ncbi.nlm.nih.gov/pmc/articles/PMC11816997/pdf/\",\"citationCount\":\"0\",\"resultStr\":null,\"platform\":\"Semanticscholar\",\"paperid\":null,\"PeriodicalName\":\"Immunity & Ageing\",\"FirstCategoryId\":\"3\",\"ListUrlMain\":\"https://doi.org/10.1186/s12979-025-00500-4\",\"RegionNum\":2,\"RegionCategory\":\"医学\",\"ArticlePicture\":[],\"TitleCN\":null,\"AbstractTextCN\":null,\"PMCID\":null,\"EPubDate\":\"\",\"PubModel\":\"\",\"JCR\":\"Q1\",\"JCRName\":\"GERIATRICS & GERONTOLOGY\",\"Score\":null,\"Total\":0}","platform":"Semanticscholar","paperid":null,"PeriodicalName":"Immunity & Ageing","FirstCategoryId":"3","ListUrlMain":"https://doi.org/10.1186/s12979-025-00500-4","RegionNum":2,"RegionCategory":"医学","ArticlePicture":[],"TitleCN":null,"AbstractTextCN":null,"PMCID":null,"EPubDate":"","PubModel":"","JCR":"Q1","JCRName":"GERIATRICS & GERONTOLOGY","Score":null,"Total":0}
引用次数: 0

摘要

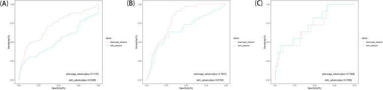
背景:银屑病与衰老之间的关系尚不清楚。生物年龄被认为是与衰老密切相关的工具,但生物年龄与牛皮癣之间的关系缺乏报道。因此,本研究旨在探讨生物年龄与银屑病的关系。方法:从全国健康与营养调查(NHANES)(12973例)、重症监护医学信息集市(MIMIC-IV)(558例)和浙江中医药大学第一临床医学院(206例)中招募银屑病和非银屑病患者。采用klemera - double法计算生物年龄(KDM-age)和表型年龄(PhenoAge)。采用线性回归和logistic回归探讨银屑病与生物年龄提前的关系。采用Cox回归分析研究生物年龄提前与死亡率之间的关系。最后,采用生物年龄提前预测银屑病患者的死亡。结果:在NHANES中,线性回归显示银屑病导致表型年龄提前0.54(调整β: 0.54, 95CI: 0.12-0.97, p = 0.018)。银屑病导致的kdm年龄提前无统计学意义(p = 0.754)。利用中国的数据,我们得出了新的结论,银屑病面积和严重程度指数每增加一个单位,表型提前增加0.12 (Beta: 0.12, 95CI: 0.01-0.22, p = 0.031)。使用NHANES数据,cox回归显示,每增加一个单位,患者的死亡率增加8%(调整风险比:1.08,95CI: 1.04-1.12, p)。结论:银屑病导致患者生物衰老加速,这与银屑病的严重程度和更多的合并症有关。此外,PhenoAge还具有监测牛皮癣患者健康状况的潜力。
本文章由计算机程序翻译,如有差异,请以英文原文为准。

The relationship between biological aging and psoriasis: evidence from three observational studies.

The relationship between biological aging and psoriasis: evidence from three observational studies.

The relationship between biological aging and psoriasis: evidence from three observational studies.

The relationship between biological aging and psoriasis: evidence from three observational studies.

Background: The relationship between psoriasis and aging remains unclear. Biological age is considered as a tool for strong association with aging, but there is a lack of reports on the relationship between biological age and psoriasis. Therefore, this study aimed to explore the relationship between biological age and psoriasis.

Methods: Patients with psoriasis and non-psoriasis were recruited from National Health and Nutrition Examination Survey (NHANES) (12,973 cases), Medical Information Mart for Intensive Care (MIMIC-IV) (558 cases) and The First Clinical Medical College of Zhejiang Chinese Medical University (206 cases). Biological age was calculated using Klemera-Doubal method age (KDM-age) and phenotypic age (PhenoAge). Linear regression and logistic regression were used to explore the association between psoriasis and biological age advance. Cox regression was used to investigate the association between biological age advance and mortality. Finally, biological age advance was used to predict the death of psoriasis patients.

Results: In NHANES, linear regression showed that psoriasis led to a 0.54 advance in PhenoAge (Adjust Beta: 0.54, 95CI: 0.12-0.97, p = 0.018). The KDM-age advance due to psoriasis was not statistically significant (p = 0.754). Using data from China, we came to the new conclusion that for every unit rise in Psoriasis Area and Severity Index, PhenoAge advance rose by 0.12 (Beta: 0.12, 95CI: 0.01-0.22, p = 0.031). Using NHANES data, cox regression shows for every unit rise in PhenoAge advance patients had an 8% rise in mortality (Adjust hazard ratio: 1.08, 95CI: 1.04-1.12, p < 0.001). Using MIMIC-IV, logistic regression showed a 13% increase in mortality within 28 days of admission for every 1 unit rise in PhenoAge advance (odds ratio: 1.13, 95CI: 1.09-1.18, P < 0.001). Finally, we used PhenoAge advance to predict death, with an AUC of 0.71 in the NHANES, an ACU of 0.79 for predicting death within 1 years in the general ward of MIMIC-IV. In the ICU of MIMIC-IV, the AUC for predicting death within 28 days was 0.71.

Conclusion: Psoriasis leads to accelerated biological aging in patients, which is associated with the severity of psoriasis and more comorbidities. In addition, PhenoAge has the potential to monitor the health status of patients with psoriasis.

求助全文
通过发布文献求助,成功后即可免费获取论文全文。 去求助
来源期刊
Immunity & Ageing
Immunity & Ageing GERIATRICS & GERONTOLOGY-IMMUNOLOGY
CiteScore
10.20
自引率
3.80%
发文量
55
期刊介绍: Immunity & Ageing is a specialist open access journal that was first published in 2004. The journal focuses on the impact of ageing on immune systems, the influence of aged immune systems on organismal well-being and longevity, age-associated diseases with immune etiology, and potential immune interventions to increase health span. All articles published in Immunity & Ageing are indexed in the following databases: Biological Abstracts, BIOSIS, CAS, Citebase, DOAJ, Embase, Google Scholar, Journal Citation Reports/Science Edition, OAIster, PubMed, PubMed Central, Science Citation Index Expanded, SCImago, Scopus, SOCOLAR, and Zetoc.
×
引用
GB/T 7714-2015
复制
MLA
复制
APA
复制
导出至
BibTeX EndNote RefMan NoteFirst NoteExpress
×
提示
您的信息不完整,为了账户安全,请先补充。
现在去补充
×
提示
您因"违规操作"
具体请查看互助需知
我知道了
×
提示
确定
请完成安全验证×
copy
已复制链接
快去分享给好友吧!
我知道了
右上角分享
点击右上角分享
0
联系我们:info@booksci.cn Book学术提供免费学术资源搜索服务,方便国内外学者检索中英文文献。致力于提供最便捷和优质的服务体验。 Copyright © 2023 布克学术 All rights reserved.
京ICP备2023020795号-1
ghs 京公网安备 11010802042870号
Book学术文献互助
Book学术文献互助群
群 号:604180095
Book学术官方微信