机器人步态辅助训练对格林-巴罗综合征患者身体组成、体能和生活质量的影响:1例报告

Physical activity and nutrition Pub Date : 2024-12-01 Epub Date: 2024-12-31 DOI:10.20463/pan.2024.0027
Moon Jin Lee, Sung Jin Yoon
{"title":"机器人步态辅助训练对格林-巴罗综合征患者身体组成、体能和生活质量的影响:1例报告","authors":"Moon Jin Lee, Sung Jin Yoon","doi":"10.20463/pan.2024.0027","DOIUrl":null,"url":null,"abstract":"<p><strong>Purpose: </strong>This case report evaluates changes in body composition, physical fitness, and quality of life in a patient with Guillain-Barre syndrome (GBS) undergoing training with an end-effector gait robotic device.</p><p><strong>Methods: </strong>A 35-year-old man with GBS completed interval training using a robotic gait assistant three times weekly for four weeks. The training intensity was set at 70-75% (Phase 1) and 80-85% (Phase 2) of the target heart rate, calculated using the heart rate reserve. Evaluations included body composition, physical fitness, isometric strength, gait performance, and quality of life indices.</p><p><strong>Results: </strong>Post-intervention, improvements were observed across all parameters. Body weight increased by 1.2%, while body fat percentage and visceral fat decreased by 5.4% and 3.7%, respectively. Muscle mass increased by 3.3%, and isometric strength improved at all tested sites. Gait speed increased from 0.7 to 1.8 km/h (157.1%), and the number of steps per minute increased from 33 to 77 (133.3%). The timed up-and-go (TUG) test improved by 7.1%, and exercise self-efficacy (ESE) scores increased by 29.1%.</p><p><strong>Conclusion: </strong>These findings align with the principles of neuromuscular adaptation, motor learning, and neuroplasticity. Interval training with a robotic gait device may effectively restore physical function and improve quality of life in patients with GBS. However, the limitations of this single case study highlight the need for randomized controlled trials with larger cohorts and long-term effectiveness assessments.</p>","PeriodicalId":74444,"journal":{"name":"Physical activity and nutrition","volume":"28 4","pages":"9-14"},"PeriodicalIF":0.0000,"publicationDate":"2024-12-01","publicationTypes":"Journal Article","fieldsOfStudy":null,"isOpenAccess":false,"openAccessPdf":"https://www.ncbi.nlm.nih.gov/pmc/articles/PMC11811613/pdf/","citationCount":"0","resultStr":"{\"title\":\"Changes in body composition, physical fitness and quality of life on robotic gait assisted training in patients with Guillain-Barré Syndrome: a case report.\",\"authors\":\"Moon Jin Lee, Sung Jin Yoon\",\"doi\":\"10.20463/pan.2024.0027\",\"DOIUrl\":null,\"url\":null,\"abstract\":\"<p><strong>Purpose: </strong>This case report evaluates changes in body composition, physical fitness, and quality of life in a patient with Guillain-Barre syndrome (GBS) undergoing training with an end-effector gait robotic device.</p><p><strong>Methods: </strong>A 35-year-old man with GBS completed interval training using a robotic gait assistant three times weekly for four weeks. The training intensity was set at 70-75% (Phase 1) and 80-85% (Phase 2) of the target heart rate, calculated using the heart rate reserve. Evaluations included body composition, physical fitness, isometric strength, gait performance, and quality of life indices.</p><p><strong>Results: </strong>Post-intervention, improvements were observed across all parameters. Body weight increased by 1.2%, while body fat percentage and visceral fat decreased by 5.4% and 3.7%, respectively. Muscle mass increased by 3.3%, and isometric strength improved at all tested sites. Gait speed increased from 0.7 to 1.8 km/h (157.1%), and the number of steps per minute increased from 33 to 77 (133.3%). The timed up-and-go (TUG) test improved by 7.1%, and exercise self-efficacy (ESE) scores increased by 29.1%.</p><p><strong>Conclusion: </strong>These findings align with the principles of neuromuscular adaptation, motor learning, and neuroplasticity. Interval training with a robotic gait device may effectively restore physical function and improve quality of life in patients with GBS. However, the limitations of this single case study highlight the need for randomized controlled trials with larger cohorts and long-term effectiveness assessments.</p>\",\"PeriodicalId\":74444,\"journal\":{\"name\":\"Physical activity and nutrition\",\"volume\":\"28 4\",\"pages\":\"9-14\"},\"PeriodicalIF\":0.0000,\"publicationDate\":\"2024-12-01\",\"publicationTypes\":\"Journal Article\",\"fieldsOfStudy\":null,\"isOpenAccess\":false,\"openAccessPdf\":\"https://www.ncbi.nlm.nih.gov/pmc/articles/PMC11811613/pdf/\",\"citationCount\":\"0\",\"resultStr\":null,\"platform\":\"Semanticscholar\",\"paperid\":null,\"PeriodicalName\":\"Physical activity and nutrition\",\"FirstCategoryId\":\"1085\",\"ListUrlMain\":\"https://doi.org/10.20463/pan.2024.0027\",\"RegionNum\":0,\"RegionCategory\":null,\"ArticlePicture\":[],\"TitleCN\":null,\"AbstractTextCN\":null,\"PMCID\":null,\"EPubDate\":\"2024/12/31 0:00:00\",\"PubModel\":\"Epub\",\"JCR\":\"\",\"JCRName\":\"\",\"Score\":null,\"Total\":0}","platform":"Semanticscholar","paperid":null,"PeriodicalName":"Physical activity and nutrition","FirstCategoryId":"1085","ListUrlMain":"https://doi.org/10.20463/pan.2024.0027","RegionNum":0,"RegionCategory":null,"ArticlePicture":[],"TitleCN":null,"AbstractTextCN":null,"PMCID":null,"EPubDate":"2024/12/31 0:00:00","PubModel":"Epub","JCR":"","JCRName":"","Score":null,"Total":0}
引用次数: 0

摘要

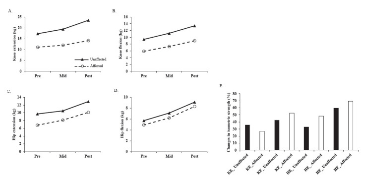
目的:本病例报告评估吉兰-巴雷综合征(GBS)患者接受末端执行器步态机器人装置训练后身体组成、体能和生活质量的变化。方法:一名35岁的GBS患者使用机器人步态辅助器完成间歇训练,每周三次,持续四周。训练强度设定为目标心率的70-75%(阶段1)和80-85%(阶段2),使用心率储备计算。评估包括身体组成、体能、等长肌力、步态表现和生活质量指数。结果:干预后,所有参数均有改善。体重增加1.2%,体脂率和内脏脂肪率分别下降5.4%和3.7%。肌肉质量增加了3.3%,所有测试部位的等长强度都有所提高。步态速度从0.7 km/h增加到1.8 km/h(157.1%),每分钟步数从33步增加到77步(133.3%)。而运动自我效能(ESE)得分则提高了29.1%。结论:这些发现与神经肌肉适应、运动学习和神经可塑性的原理一致。使用机器人步态装置进行间歇训练可以有效地恢复GBS患者的身体功能并改善生活质量。然而,这一单一病例研究的局限性突出了随机对照试验的必要性,需要更大的队列和长期有效性评估。
本文章由计算机程序翻译,如有差异,请以英文原文为准。

Changes in body composition, physical fitness and quality of life on robotic gait assisted training in patients with Guillain-Barré Syndrome: a case report.

Changes in body composition, physical fitness and quality of life on robotic gait assisted training in patients with Guillain-Barré Syndrome: a case report.

Changes in body composition, physical fitness and quality of life on robotic gait assisted training in patients with Guillain-Barré Syndrome: a case report.

Changes in body composition, physical fitness and quality of life on robotic gait assisted training in patients with Guillain-Barré Syndrome: a case report.

Purpose: This case report evaluates changes in body composition, physical fitness, and quality of life in a patient with Guillain-Barre syndrome (GBS) undergoing training with an end-effector gait robotic device.

Methods: A 35-year-old man with GBS completed interval training using a robotic gait assistant three times weekly for four weeks. The training intensity was set at 70-75% (Phase 1) and 80-85% (Phase 2) of the target heart rate, calculated using the heart rate reserve. Evaluations included body composition, physical fitness, isometric strength, gait performance, and quality of life indices.

Results: Post-intervention, improvements were observed across all parameters. Body weight increased by 1.2%, while body fat percentage and visceral fat decreased by 5.4% and 3.7%, respectively. Muscle mass increased by 3.3%, and isometric strength improved at all tested sites. Gait speed increased from 0.7 to 1.8 km/h (157.1%), and the number of steps per minute increased from 33 to 77 (133.3%). The timed up-and-go (TUG) test improved by 7.1%, and exercise self-efficacy (ESE) scores increased by 29.1%.

Conclusion: These findings align with the principles of neuromuscular adaptation, motor learning, and neuroplasticity. Interval training with a robotic gait device may effectively restore physical function and improve quality of life in patients with GBS. However, the limitations of this single case study highlight the need for randomized controlled trials with larger cohorts and long-term effectiveness assessments.

求助全文
通过发布文献求助,成功后即可免费获取论文全文。 去求助
来源期刊
CiteScore
2.00
自引率
0.00%
发文量
0
×
引用
GB/T 7714-2015
复制
MLA
复制
APA
复制
导出至
BibTeX EndNote RefMan NoteFirst NoteExpress
×
提示
您的信息不完整,为了账户安全,请先补充。
现在去补充
×
提示
您因"违规操作"
具体请查看互助需知
我知道了
×
提示
确定
请完成安全验证×
copy
已复制链接
快去分享给好友吧!
我知道了
右上角分享
点击右上角分享
0
联系我们:info@booksci.cn Book学术提供免费学术资源搜索服务,方便国内外学者检索中英文文献。致力于提供最便捷和优质的服务体验。 Copyright © 2023 布克学术 All rights reserved.
京ICP备2023020795号-1
ghs 京公网安备 11010802042870号
Book学术文献互助
Book学术文献互助群
群 号:604180095
Book学术官方微信