在东亚男性中,下坡跑步后饮酒不会影响肌肉恢复,但会延长疼痛感。

Physical activity and nutrition Pub Date : 2024-12-01 Epub Date: 2024-12-31 DOI:10.20463/pan.2024.0029
Koichiro Hayashi, Hirofumi Tanaka
{"title":"在东亚男性中,下坡跑步后饮酒不会影响肌肉恢复,但会延长疼痛感。","authors":"Koichiro Hayashi, Hirofumi Tanaka","doi":"10.20463/pan.2024.0029","DOIUrl":null,"url":null,"abstract":"<p><strong>Purpose: </strong>Alcoholic beverages are commonly consumed following athletic competitions and strenuous exercise for celebration or relaxation purposes. Whether and how alcohol consumption influences muscle recovery and perceived pain following unaccustomed eccentric exercise is unclear. We aimed to determine the effects of alcohol consumption after downhill running on muscular strength and perceived pain in East Asian men.</p><p><strong>Methods: </strong>Twenty-four young men performed 45 min of downhill (-10%) running at a corresponding speed of 70% VO2 max. Immediately after downhill running and again 24 h later, the participants consumed either an alcoholic beverage (1 g ethanol/kg body weight, alcohol group, n=12) or the same quantity of water (control group, n=12).</p><p><strong>Results: </strong>Peak isometric and concentric muscle contraction torques during knee extension (via the isokinetic dynamometer) and squat jump height decreased 24 h after downhill running (all p&lt;0.05); however, there were no significant differences between the two groups. The visual analog scores for pain (pain scores) in the quadriceps, hamstring, gastrocnemius, and gluteus maximus muscles increased at 24 h and 48 h in both groups (all p&lt;0.05). Pain scores in the quadriceps decreased gradually from 24 h to 48 h in the control group, but no such trend was observed in the alcohol group (group × time interaction effect; F=4.47, p&lt;0.05).</p><p><strong>Conclusion: </strong>Acute alcohol consumption does not seem to affect muscle strength or jump performance during recovery. However, the effects on pain appear to persist longer after alcohol consumption in East Asian men.</p>","PeriodicalId":74444,"journal":{"name":"Physical activity and nutrition","volume":"28 4","pages":"24-30"},"PeriodicalIF":0.0000,"publicationDate":"2024-12-01","publicationTypes":"Journal Article","fieldsOfStudy":null,"isOpenAccess":false,"openAccessPdf":"https://www.ncbi.nlm.nih.gov/pmc/articles/PMC11811611/pdf/","citationCount":"0","resultStr":"{\"title\":\"Alcohol consumption after downhill running does not affect muscle recovery but prolongs pain perception in East Asian men.\",\"authors\":\"Koichiro Hayashi, Hirofumi Tanaka\",\"doi\":\"10.20463/pan.2024.0029\",\"DOIUrl\":null,\"url\":null,\"abstract\":\"<p><strong>Purpose: </strong>Alcoholic beverages are commonly consumed following athletic competitions and strenuous exercise for celebration or relaxation purposes. Whether and how alcohol consumption influences muscle recovery and perceived pain following unaccustomed eccentric exercise is unclear. We aimed to determine the effects of alcohol consumption after downhill running on muscular strength and perceived pain in East Asian men.</p><p><strong>Methods: </strong>Twenty-four young men performed 45 min of downhill (-10%) running at a corresponding speed of 70% VO2 max. Immediately after downhill running and again 24 h later, the participants consumed either an alcoholic beverage (1 g ethanol/kg body weight, alcohol group, n=12) or the same quantity of water (control group, n=12).</p><p><strong>Results: </strong>Peak isometric and concentric muscle contraction torques during knee extension (via the isokinetic dynamometer) and squat jump height decreased 24 h after downhill running (all p&lt;0.05); however, there were no significant differences between the two groups. The visual analog scores for pain (pain scores) in the quadriceps, hamstring, gastrocnemius, and gluteus maximus muscles increased at 24 h and 48 h in both groups (all p&lt;0.05). Pain scores in the quadriceps decreased gradually from 24 h to 48 h in the control group, but no such trend was observed in the alcohol group (group × time interaction effect; F=4.47, p&lt;0.05).</p><p><strong>Conclusion: </strong>Acute alcohol consumption does not seem to affect muscle strength or jump performance during recovery. However, the effects on pain appear to persist longer after alcohol consumption in East Asian men.</p>\",\"PeriodicalId\":74444,\"journal\":{\"name\":\"Physical activity and nutrition\",\"volume\":\"28 4\",\"pages\":\"24-30\"},\"PeriodicalIF\":0.0000,\"publicationDate\":\"2024-12-01\",\"publicationTypes\":\"Journal Article\",\"fieldsOfStudy\":null,\"isOpenAccess\":false,\"openAccessPdf\":\"https://www.ncbi.nlm.nih.gov/pmc/articles/PMC11811611/pdf/\",\"citationCount\":\"0\",\"resultStr\":null,\"platform\":\"Semanticscholar\",\"paperid\":null,\"PeriodicalName\":\"Physical activity and nutrition\",\"FirstCategoryId\":\"1085\",\"ListUrlMain\":\"https://doi.org/10.20463/pan.2024.0029\",\"RegionNum\":0,\"RegionCategory\":null,\"ArticlePicture\":[],\"TitleCN\":null,\"AbstractTextCN\":null,\"PMCID\":null,\"EPubDate\":\"2024/12/31 0:00:00\",\"PubModel\":\"Epub\",\"JCR\":\"\",\"JCRName\":\"\",\"Score\":null,\"Total\":0}","platform":"Semanticscholar","paperid":null,"PeriodicalName":"Physical activity and nutrition","FirstCategoryId":"1085","ListUrlMain":"https://doi.org/10.20463/pan.2024.0029","RegionNum":0,"RegionCategory":null,"ArticlePicture":[],"TitleCN":null,"AbstractTextCN":null,"PMCID":null,"EPubDate":"2024/12/31 0:00:00","PubModel":"Epub","JCR":"","JCRName":"","Score":null,"Total":0}
引用次数: 0

摘要

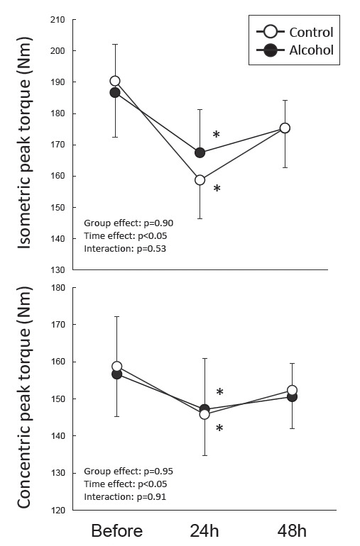
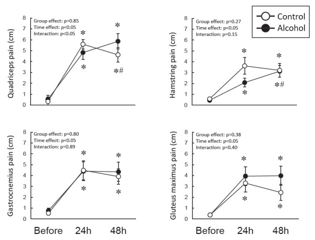
用途:酒精饮料通常在体育比赛和剧烈运动后饮用,用于庆祝或放松。饮酒是否以及如何影响不习惯的偏心运动后的肌肉恢复和感知疼痛尚不清楚。我们的目的是确定东亚男性下坡跑步后饮酒对肌肉力量和感知疼痛的影响。方法:24名青年男子以70%最大摄氧量的相应速度进行45分钟的下坡(-10%)跑步。在下坡跑步后和24小时后,参与者分别饮用含酒精饮料(每公斤体重1克乙醇,酒精组,n=12)或等量水(对照组,n=12)。结果:下坡跑24 h后,膝关节伸展(通过等速测功仪)和深蹲跳高时的峰值等距和同心圆肌收缩力矩下降(p < 0.05);然而,两组之间没有显著差异。在24 h和48 h,两组的股四头肌、腘绳肌、腓肠肌和臀大肌的疼痛视觉模拟评分(疼痛评分)均升高(p < 0.05)。从24 h到48 h,对照组股四头肌疼痛评分逐渐下降,但酒精组无此趋势(组×时间交互作用;F = 4.47,术中;0.05)。结论:急性饮酒似乎不影响肌肉力量或跳跃性能在恢复期间。然而,在东亚男性中,酒精对疼痛的影响似乎在饮酒后持续的时间更长。
本文章由计算机程序翻译,如有差异,请以英文原文为准。

Alcohol consumption after downhill running does not affect muscle recovery but prolongs pain perception in East Asian men.

Alcohol consumption after downhill running does not affect muscle recovery but prolongs pain perception in East Asian men.

Alcohol consumption after downhill running does not affect muscle recovery but prolongs pain perception in East Asian men.

Alcohol consumption after downhill running does not affect muscle recovery but prolongs pain perception in East Asian men.

Purpose: Alcoholic beverages are commonly consumed following athletic competitions and strenuous exercise for celebration or relaxation purposes. Whether and how alcohol consumption influences muscle recovery and perceived pain following unaccustomed eccentric exercise is unclear. We aimed to determine the effects of alcohol consumption after downhill running on muscular strength and perceived pain in East Asian men.

Methods: Twenty-four young men performed 45 min of downhill (-10%) running at a corresponding speed of 70% VO2 max. Immediately after downhill running and again 24 h later, the participants consumed either an alcoholic beverage (1 g ethanol/kg body weight, alcohol group, n=12) or the same quantity of water (control group, n=12).

Results: Peak isometric and concentric muscle contraction torques during knee extension (via the isokinetic dynamometer) and squat jump height decreased 24 h after downhill running (all p<0.05); however, there were no significant differences between the two groups. The visual analog scores for pain (pain scores) in the quadriceps, hamstring, gastrocnemius, and gluteus maximus muscles increased at 24 h and 48 h in both groups (all p<0.05). Pain scores in the quadriceps decreased gradually from 24 h to 48 h in the control group, but no such trend was observed in the alcohol group (group × time interaction effect; F=4.47, p<0.05).

Conclusion: Acute alcohol consumption does not seem to affect muscle strength or jump performance during recovery. However, the effects on pain appear to persist longer after alcohol consumption in East Asian men.

求助全文
通过发布文献求助,成功后即可免费获取论文全文。 去求助
来源期刊
CiteScore
2.00
自引率
0.00%
发文量
0
×
引用
GB/T 7714-2015
复制
MLA
复制
APA
复制
导出至
BibTeX EndNote RefMan NoteFirst NoteExpress
×
提示
您的信息不完整,为了账户安全,请先补充。
现在去补充
×
提示
您因"违规操作"
具体请查看互助需知
我知道了
×
提示
确定
请完成安全验证×
copy
已复制链接
快去分享给好友吧!
我知道了
右上角分享
点击右上角分享
0
联系我们:info@booksci.cn Book学术提供免费学术资源搜索服务,方便国内外学者检索中英文文献。致力于提供最便捷和优质的服务体验。 Copyright © 2023 布克学术 All rights reserved.
京ICP备2023020795号-1
ghs 京公网安备 11010802042870号
Book学术文献互助
Book学术文献互助群
群 号:604180095
Book学术官方微信