能否通过监测母体循环中的活化蛋白-1 转录因子来预测分娩过程?

IF 1.9 Q2 OBSTETRICS & GYNECOLOGY
Obstetrics and Gynecology Science Pub Date : 2025-03-01 Epub Date: 2025-02-12 DOI:10.5468/ogs.23288
Toghrul Yahyayev, Tugce Senturk Kirmizitas, Ali Benian, Tuba Gunel
{"title":"能否通过监测母体循环中的活化蛋白-1 转录因子来预测分娩过程?","authors":"Toghrul Yahyayev, Tugce Senturk Kirmizitas, Ali Benian, Tuba Gunel","doi":"10.5468/ogs.23288","DOIUrl":null,"url":null,"abstract":"<p><strong>Objective: </strong>We aimed to compare gene expression levels in myometrial tissues and serum from pregnant women undergoing cesarean section (CS) with and without uterine contractions. The myometrial activator protein-1 (AP-1) transcription factor family (JUN, FOS, and fos-related antigen-2 [FOSL2]) was evaluated as a contraction-related marker in maternal circulation to predict labor timing.</p><p><strong>Methods: </strong>Samples were collected from pregnant women undergoing CS. Uterine contractions were observed in the experimental group (n=10) but not in the control group (n=10). Gene expression of JUN, FOS, and FOSL2 was analyzed in serum and myometrial samples using droplet digital polymerase chain reaction, and statistical analysis was performed using GraphPad software (GraphPad Software, San Diego, CA, USA).</p><p><strong>Results: </strong>Given the non-normal data distribution, JUN, FOS, and FOSL2 gene expression levels increased in the CS group with uterine contractions. However, this increase was not statistically significant in either tissue or serum samples. Nevertheless, the correlation of JUN messenger RNA expression between maternal circulation and myometrial tissue was statistically significant in the CS group with contractions (p<0.01).</p><p><strong>Conclusion: </strong>This is the first study to investigate AP-1 transcription factor expression in matched tissue and serum samples in relation to uterine contractility. The increased expression of JUN, FOS, and FOSL2 in the CS group with contractions suggests these genes may play a key role in initiating or propagating human labor, indicating that contractionassociated AP-1 could serve as a biomarker for labor timing.</p>","PeriodicalId":37602,"journal":{"name":"Obstetrics and Gynecology Science","volume":" ","pages":"139-147"},"PeriodicalIF":1.9000,"publicationDate":"2025-03-01","publicationTypes":"Journal Article","fieldsOfStudy":null,"isOpenAccess":false,"openAccessPdf":"https://www.ncbi.nlm.nih.gov/pmc/articles/PMC11976921/pdf/","citationCount":"0","resultStr":"{\"title\":\"Can activator protein-1 transcription factors be monitored in the maternal circulation to predict set on labor?\",\"authors\":\"Toghrul Yahyayev, Tugce Senturk Kirmizitas, Ali Benian, Tuba Gunel\",\"doi\":\"10.5468/ogs.23288\",\"DOIUrl\":null,\"url\":null,\"abstract\":\"<p><strong>Objective: </strong>We aimed to compare gene expression levels in myometrial tissues and serum from pregnant women undergoing cesarean section (CS) with and without uterine contractions. The myometrial activator protein-1 (AP-1) transcription factor family (JUN, FOS, and fos-related antigen-2 [FOSL2]) was evaluated as a contraction-related marker in maternal circulation to predict labor timing.</p><p><strong>Methods: </strong>Samples were collected from pregnant women undergoing CS. Uterine contractions were observed in the experimental group (n=10) but not in the control group (n=10). Gene expression of JUN, FOS, and FOSL2 was analyzed in serum and myometrial samples using droplet digital polymerase chain reaction, and statistical analysis was performed using GraphPad software (GraphPad Software, San Diego, CA, USA).</p><p><strong>Results: </strong>Given the non-normal data distribution, JUN, FOS, and FOSL2 gene expression levels increased in the CS group with uterine contractions. However, this increase was not statistically significant in either tissue or serum samples. Nevertheless, the correlation of JUN messenger RNA expression between maternal circulation and myometrial tissue was statistically significant in the CS group with contractions (p<0.01).</p><p><strong>Conclusion: </strong>This is the first study to investigate AP-1 transcription factor expression in matched tissue and serum samples in relation to uterine contractility. The increased expression of JUN, FOS, and FOSL2 in the CS group with contractions suggests these genes may play a key role in initiating or propagating human labor, indicating that contractionassociated AP-1 could serve as a biomarker for labor timing.</p>\",\"PeriodicalId\":37602,\"journal\":{\"name\":\"Obstetrics and Gynecology Science\",\"volume\":\" \",\"pages\":\"139-147\"},\"PeriodicalIF\":1.9000,\"publicationDate\":\"2025-03-01\",\"publicationTypes\":\"Journal Article\",\"fieldsOfStudy\":null,\"isOpenAccess\":false,\"openAccessPdf\":\"https://www.ncbi.nlm.nih.gov/pmc/articles/PMC11976921/pdf/\",\"citationCount\":\"0\",\"resultStr\":null,\"platform\":\"Semanticscholar\",\"paperid\":null,\"PeriodicalName\":\"Obstetrics and Gynecology Science\",\"FirstCategoryId\":\"1085\",\"ListUrlMain\":\"https://doi.org/10.5468/ogs.23288\",\"RegionNum\":0,\"RegionCategory\":null,\"ArticlePicture\":[],\"TitleCN\":null,\"AbstractTextCN\":null,\"PMCID\":null,\"EPubDate\":\"2025/2/12 0:00:00\",\"PubModel\":\"Epub\",\"JCR\":\"Q2\",\"JCRName\":\"OBSTETRICS & GYNECOLOGY\",\"Score\":null,\"Total\":0}","platform":"Semanticscholar","paperid":null,"PeriodicalName":"Obstetrics and Gynecology Science","FirstCategoryId":"1085","ListUrlMain":"https://doi.org/10.5468/ogs.23288","RegionNum":0,"RegionCategory":null,"ArticlePicture":[],"TitleCN":null,"AbstractTextCN":null,"PMCID":null,"EPubDate":"2025/2/12 0:00:00","PubModel":"Epub","JCR":"Q2","JCRName":"OBSTETRICS & GYNECOLOGY","Score":null,"Total":0}
引用次数: 0

摘要

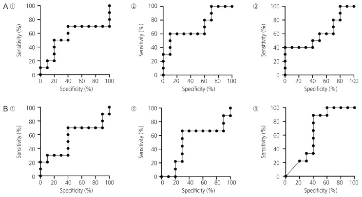
目的:在本研究中,我们旨在比较剖宫产术(CS)中子宫收缩和无子宫收缩孕妇子宫肌组织和血清中的基因表达水平。子宫肌瘤激活蛋白-1 (AP-1)转录因子家族(JUN、FOS和FOS相关抗原-2 [FOSL2])作为母体循环中预测分娩时间的收缩相关转录标志物进行了研究。方法:从行CSs的孕妇中采集样本。实验组有宫缩现象(n=10),对照组无宫缩现象(n=10)。采用液滴数字聚合酶链反应分析血清和子宫肌瘤样品中JUN、FOS和FOSL2的基因表达,并使用GraphPad软件(COMPANY, CITY, STATE, COUNTRY)进行统计分析。结果:数据呈非正态分布,CS组随着子宫收缩,JUN、FOS、FOSL2基因表达水平升高。然而,这种增加在组织或血清样本中没有统计学意义。然而,在CS组子宫收缩中,母体循环与子宫肌组织JUN信使核糖核酸表达的相关性具有统计学意义(p)。结论:本文首次研究了匹配组织和血清样本中AP-1转录因子的表达与子宫收缩的关系。随着子宫收缩,CS组JUN、FOS和FOSL2的表达水平升高,提示这些基因可能在人类分娩的开始或繁殖中起关键作用。本研究表明,子宫收缩相关转录因子AP-1有可能作为母体循环中分娩时间的生物标志物。
本文章由计算机程序翻译,如有差异,请以英文原文为准。

Can activator protein-1 transcription factors be monitored in the maternal circulation to predict set on labor?

Can activator protein-1 transcription factors be monitored in the maternal circulation to predict set on labor?

Can activator protein-1 transcription factors be monitored in the maternal circulation to predict set on labor?

Can activator protein-1 transcription factors be monitored in the maternal circulation to predict set on labor?

Objective: We aimed to compare gene expression levels in myometrial tissues and serum from pregnant women undergoing cesarean section (CS) with and without uterine contractions. The myometrial activator protein-1 (AP-1) transcription factor family (JUN, FOS, and fos-related antigen-2 [FOSL2]) was evaluated as a contraction-related marker in maternal circulation to predict labor timing.

Methods: Samples were collected from pregnant women undergoing CS. Uterine contractions were observed in the experimental group (n=10) but not in the control group (n=10). Gene expression of JUN, FOS, and FOSL2 was analyzed in serum and myometrial samples using droplet digital polymerase chain reaction, and statistical analysis was performed using GraphPad software (GraphPad Software, San Diego, CA, USA).

Results: Given the non-normal data distribution, JUN, FOS, and FOSL2 gene expression levels increased in the CS group with uterine contractions. However, this increase was not statistically significant in either tissue or serum samples. Nevertheless, the correlation of JUN messenger RNA expression between maternal circulation and myometrial tissue was statistically significant in the CS group with contractions (p<0.01).

Conclusion: This is the first study to investigate AP-1 transcription factor expression in matched tissue and serum samples in relation to uterine contractility. The increased expression of JUN, FOS, and FOSL2 in the CS group with contractions suggests these genes may play a key role in initiating or propagating human labor, indicating that contractionassociated AP-1 could serve as a biomarker for labor timing.

求助全文
通过发布文献求助,成功后即可免费获取论文全文。 去求助
来源期刊
Obstetrics and Gynecology Science
Obstetrics and Gynecology Science Medicine-Obstetrics and Gynecology
CiteScore
3.80
自引率
15.80%
发文量
58
审稿时长
16 weeks
期刊介绍: Obstetrics & Gynecology Science (NLM title: Obstet Gynecol Sci) is an international peer-review journal that published basic, translational, clinical research, and clinical practice guideline to promote women’s health and prevent obstetric and gynecologic disorders. The journal has an international editorial board and is published in English on the 15th day of every other month. Submitted manuscripts should not contain previously published material and should not be under consideration for publication elsewhere. The journal has been publishing articles since 1958. The aim of the journal is to publish original articles, reviews, case reports, short communications, letters to the editor, and video articles that have the potential to change the practices in women''s health care. The journal’s main focus is the diagnosis, treatment, prediction, and prevention of obstetric and gynecologic disorders. Because the life expectancy of Korean and Asian women is increasing, the journal''s editors are particularly interested in the health of elderly women in these population groups. The journal also publishes articles about reproductive biology, stem cell research, and artificial intelligence research for women; additionally, it provides insights into the physiology and mechanisms of obstetric and gynecologic diseases.
×
引用
GB/T 7714-2015
复制
MLA
复制
APA
复制
导出至
BibTeX EndNote RefMan NoteFirst NoteExpress
×
提示
您的信息不完整,为了账户安全,请先补充。
现在去补充
×
提示
您因"违规操作"
具体请查看互助需知
我知道了
×
提示
确定
请完成安全验证×
copy
已复制链接
快去分享给好友吧!
我知道了
右上角分享
点击右上角分享
0
联系我们:info@booksci.cn Book学术提供免费学术资源搜索服务,方便国内外学者检索中英文文献。致力于提供最便捷和优质的服务体验。 Copyright © 2023 布克学术 All rights reserved.
京ICP备2023020795号-1
ghs 京公网安备 11010802042870号
Book学术文献互助
Book学术文献互助群
群 号:604180095
Book学术官方微信