罕见和常见的单核苷酸变异在儿童期发病的系统性红斑狼疮。

IF 3.5 2区 医学 Q1 RHEUMATOLOGY
Ahmed Sayadi, Johanna K Sandling, Maija-Leena Eloranta, Andreas Jönsen, Iva Gunnarsson, Solbritt Rantapää-Dahlqvist, Christopher Sjöwall, Anders A Bengtsson, Elisabet Svenungsson, Kerstin Lindblad-Toh, Dag Leonard, Lars Rönnblom
{"title":"罕见和常见的单核苷酸变异在儿童期发病的系统性红斑狼疮。","authors":"Ahmed Sayadi, Johanna K Sandling, Maija-Leena Eloranta, Andreas Jönsen, Iva Gunnarsson, Solbritt Rantapää-Dahlqvist, Christopher Sjöwall, Anders A Bengtsson, Elisabet Svenungsson, Kerstin Lindblad-Toh, Dag Leonard, Lars Rönnblom","doi":"10.1136/lupus-2024-001436","DOIUrl":null,"url":null,"abstract":"<p><strong>Background: </strong>SLE is a systemic autoimmune disease with a large number of common risk gene variants, but several rare gene variants can cause monogenic SLE. The relationship between common and rare variants in SLE is unclear. We therefore investigated the occurrence of rare deleterious variants in patients with childhood-onset SLE (cSLE) and adult-onset SLE (aSLE) and compared the frequency of these variants with their individual SLE polygenic risk score (PRS).</p><p><strong>Materials and methods: </strong>Targeted sequencing of 1832 gene regions, including coding regions of 31 genes associated with monogenic SLE, was performed in 958 patients with SLE and 1026 healthy individuals. A total of 116 patients with SLE had disease onset before the age of 18 (cSLE). An SLE common variant PRS was created from 37 SLE genome-wide association study single nucleotide variants (SNVs).</p><p><strong>Results: </strong>Rare coding deleterious SNVs (RD SNVs) were observed in 23 of the monogenic SLE-associated genes. Six per cent of patients with cSLE, compared with 3.2% of controls and 4.6% of patients with aSLE, carried rare deleterious alleles. In cSLE, RD SNVs were observed in the <i>C1S</i>, <i>DDX58</i>, <i>IFIH1</i>, <i>IKZF1</i>, <i>RNASEH2A</i> and <i>C8A</i> genes. A PRS analysis showed that patients with cSLE with any of these gene variants had a similar average PRS as control individuals.</p><p><strong>Conclusion: </strong>RD SNVs were observed in a small proportion of cSLE and carriers of these RD SNVs had a PRS similar to healthy individuals, suggesting the importance of rare coding heterozygous variants in driving disease risk in a subset of children with SLE.</p>","PeriodicalId":18126,"journal":{"name":"Lupus Science & Medicine","volume":"12 1","pages":""},"PeriodicalIF":3.5000,"publicationDate":"2025-02-11","publicationTypes":"Journal Article","fieldsOfStudy":null,"isOpenAccess":false,"openAccessPdf":"https://www.ncbi.nlm.nih.gov/pmc/articles/PMC11815458/pdf/","citationCount":"0","resultStr":"{\"title\":\"Rare and common single nucleotide variants in childhood-onset systemic lupus erythematosus.\",\"authors\":\"Ahmed Sayadi, Johanna K Sandling, Maija-Leena Eloranta, Andreas Jönsen, Iva Gunnarsson, Solbritt Rantapää-Dahlqvist, Christopher Sjöwall, Anders A Bengtsson, Elisabet Svenungsson, Kerstin Lindblad-Toh, Dag Leonard, Lars Rönnblom\",\"doi\":\"10.1136/lupus-2024-001436\",\"DOIUrl\":null,\"url\":null,\"abstract\":\"<p><strong>Background: </strong>SLE is a systemic autoimmune disease with a large number of common risk gene variants, but several rare gene variants can cause monogenic SLE. The relationship between common and rare variants in SLE is unclear. We therefore investigated the occurrence of rare deleterious variants in patients with childhood-onset SLE (cSLE) and adult-onset SLE (aSLE) and compared the frequency of these variants with their individual SLE polygenic risk score (PRS).</p><p><strong>Materials and methods: </strong>Targeted sequencing of 1832 gene regions, including coding regions of 31 genes associated with monogenic SLE, was performed in 958 patients with SLE and 1026 healthy individuals. A total of 116 patients with SLE had disease onset before the age of 18 (cSLE). An SLE common variant PRS was created from 37 SLE genome-wide association study single nucleotide variants (SNVs).</p><p><strong>Results: </strong>Rare coding deleterious SNVs (RD SNVs) were observed in 23 of the monogenic SLE-associated genes. Six per cent of patients with cSLE, compared with 3.2% of controls and 4.6% of patients with aSLE, carried rare deleterious alleles. In cSLE, RD SNVs were observed in the <i>C1S</i>, <i>DDX58</i>, <i>IFIH1</i>, <i>IKZF1</i>, <i>RNASEH2A</i> and <i>C8A</i> genes. A PRS analysis showed that patients with cSLE with any of these gene variants had a similar average PRS as control individuals.</p><p><strong>Conclusion: </strong>RD SNVs were observed in a small proportion of cSLE and carriers of these RD SNVs had a PRS similar to healthy individuals, suggesting the importance of rare coding heterozygous variants in driving disease risk in a subset of children with SLE.</p>\",\"PeriodicalId\":18126,\"journal\":{\"name\":\"Lupus Science & Medicine\",\"volume\":\"12 1\",\"pages\":\"\"},\"PeriodicalIF\":3.5000,\"publicationDate\":\"2025-02-11\",\"publicationTypes\":\"Journal Article\",\"fieldsOfStudy\":null,\"isOpenAccess\":false,\"openAccessPdf\":\"https://www.ncbi.nlm.nih.gov/pmc/articles/PMC11815458/pdf/\",\"citationCount\":\"0\",\"resultStr\":null,\"platform\":\"Semanticscholar\",\"paperid\":null,\"PeriodicalName\":\"Lupus Science & Medicine\",\"FirstCategoryId\":\"3\",\"ListUrlMain\":\"https://doi.org/10.1136/lupus-2024-001436\",\"RegionNum\":2,\"RegionCategory\":\"医学\",\"ArticlePicture\":[],\"TitleCN\":null,\"AbstractTextCN\":null,\"PMCID\":null,\"EPubDate\":\"\",\"PubModel\":\"\",\"JCR\":\"Q1\",\"JCRName\":\"RHEUMATOLOGY\",\"Score\":null,\"Total\":0}","platform":"Semanticscholar","paperid":null,"PeriodicalName":"Lupus Science & Medicine","FirstCategoryId":"3","ListUrlMain":"https://doi.org/10.1136/lupus-2024-001436","RegionNum":2,"RegionCategory":"医学","ArticlePicture":[],"TitleCN":null,"AbstractTextCN":null,"PMCID":null,"EPubDate":"","PubModel":"","JCR":"Q1","JCRName":"RHEUMATOLOGY","Score":null,"Total":0}
引用次数: 0

摘要

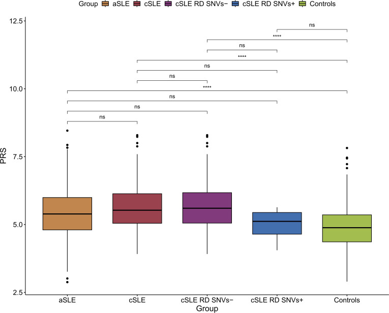
背景:SLE是一种系统性自身免疫性疾病,有大量常见的危险基因变异,但一些罕见的基因变异可导致单基因SLE。SLE常见和罕见变异之间的关系尚不清楚。因此,我们研究了儿童起病SLE (cSLE)和成人起病SLE (aSLE)患者中罕见有害变异的发生情况,并将这些变异的频率与其个体SLE多基因风险评分(PRS)进行了比较。材料与方法:对958例SLE患者和1026名健康个体进行了1832个基因区域的靶向测序,其中包括31个单基因SLE相关基因的编码区。共有116例SLE患者在18岁之前发病(cSLE)。从37个SLE全基因组关联研究的单核苷酸变异(snv)中创建了SLE共同变异PRS。结果:在23个单基因slev相关基因中发现了罕见编码有害SNVs (RD SNVs)。与3.2%的对照组和4.6%的aSLE患者相比,6%的cSLE患者携带罕见的有害等位基因。在cSLE中,在C1S、DDX58、IFIH1、IKZF1、RNASEH2A和C8A基因中观察到RD SNVs。PRS分析显示,具有这些基因变异的cSLE患者的平均PRS与对照组相似。结论:在一小部分SLE患儿中观察到RD snv,这些RD snv携带者的PRS与健康个体相似,提示罕见编码杂合变异体在驱动部分SLE患儿疾病风险中的重要性。
本文章由计算机程序翻译,如有差异,请以英文原文为准。

Rare and common single nucleotide variants in childhood-onset systemic lupus erythematosus.

Rare and common single nucleotide variants in childhood-onset systemic lupus erythematosus.

Rare and common single nucleotide variants in childhood-onset systemic lupus erythematosus.

Rare and common single nucleotide variants in childhood-onset systemic lupus erythematosus.

Background: SLE is a systemic autoimmune disease with a large number of common risk gene variants, but several rare gene variants can cause monogenic SLE. The relationship between common and rare variants in SLE is unclear. We therefore investigated the occurrence of rare deleterious variants in patients with childhood-onset SLE (cSLE) and adult-onset SLE (aSLE) and compared the frequency of these variants with their individual SLE polygenic risk score (PRS).

Materials and methods: Targeted sequencing of 1832 gene regions, including coding regions of 31 genes associated with monogenic SLE, was performed in 958 patients with SLE and 1026 healthy individuals. A total of 116 patients with SLE had disease onset before the age of 18 (cSLE). An SLE common variant PRS was created from 37 SLE genome-wide association study single nucleotide variants (SNVs).

Results: Rare coding deleterious SNVs (RD SNVs) were observed in 23 of the monogenic SLE-associated genes. Six per cent of patients with cSLE, compared with 3.2% of controls and 4.6% of patients with aSLE, carried rare deleterious alleles. In cSLE, RD SNVs were observed in the C1S, DDX58, IFIH1, IKZF1, RNASEH2A and C8A genes. A PRS analysis showed that patients with cSLE with any of these gene variants had a similar average PRS as control individuals.

Conclusion: RD SNVs were observed in a small proportion of cSLE and carriers of these RD SNVs had a PRS similar to healthy individuals, suggesting the importance of rare coding heterozygous variants in driving disease risk in a subset of children with SLE.

求助全文
通过发布文献求助,成功后即可免费获取论文全文。 去求助
来源期刊
Lupus Science & Medicine
Lupus Science & Medicine RHEUMATOLOGY-
CiteScore
5.30
自引率
7.70%
发文量
88
审稿时长
15 weeks
期刊介绍: Lupus Science & Medicine is a global, peer reviewed, open access online journal that provides a central point for publication of basic, clinical, translational, and epidemiological studies of all aspects of lupus and related diseases. It is the first lupus-specific open access journal in the world and was developed in response to the need for a barrier-free forum for publication of groundbreaking studies in lupus. The journal publishes research on lupus from fields including, but not limited to: rheumatology, dermatology, nephrology, immunology, pediatrics, cardiology, hepatology, pulmonology, obstetrics and gynecology, and psychiatry.
×
引用
GB/T 7714-2015
复制
MLA
复制
APA
复制
导出至
BibTeX EndNote RefMan NoteFirst NoteExpress
×
提示
您的信息不完整,为了账户安全,请先补充。
现在去补充
×
提示
您因"违规操作"
具体请查看互助需知
我知道了
×
提示
确定
请完成安全验证×
copy
已复制链接
快去分享给好友吧!
我知道了
右上角分享
点击右上角分享
0
联系我们:info@booksci.cn Book学术提供免费学术资源搜索服务,方便国内外学者检索中英文文献。致力于提供最便捷和优质的服务体验。 Copyright © 2023 布克学术 All rights reserved.
京ICP备2023020795号-1
ghs 京公网安备 11010802042870号
Book学术文献互助
Book学术文献互助群
群 号:604180095
Book学术官方微信