1型糖尿病患者性别特异性血压轨迹与心血管疾病:糖尿病并发症匹兹堡流行病学队列32年随访

IF 16.6
Diabetes care Pub Date : 2025-04-01 DOI:10.2337/dc24-2258
Rachel G Miller, Trevor J Orchard, Tina Costacou
{"title":"1型糖尿病患者性别特异性血压轨迹与心血管疾病:糖尿病并发症匹兹堡流行病学队列32年随访","authors":"Rachel G Miller, Trevor J Orchard, Tina Costacou","doi":"10.2337/dc24-2258","DOIUrl":null,"url":null,"abstract":"<p><strong>Objective: </strong>We examined sex differences in longitudinal blood pressure (BP) and 32-year cardiovascular disease (CVD) incidence in the Pittsburgh Epidemiology of Diabetes Complications type 1 diabetes cohort.</p><p><strong>Research design and methods: </strong>BP was measured up to nine (median six) times between 1986-1988 baseline and 2016-2018; n = 300 women and 304 men without CVD at baseline were followed until December 2020 for incidence of total CVD, major adverse cardiovascular events (MACE) (CVD death, myocardial infarction [MI], or stroke), and hard coronary artery disease (hCAD) (CAD death, MI, or coronary revascularization/blockage ≥ 50%). We estimated associations between time to event and longitudinal systolic BP (SBP) and diastolic BP (DBP) by sex using joint models adjusted for time-varying longitudinal antihypertensive (AH) medication use, HbA1c, and overt nephropathy, baseline age, and other CVD risk factors.</p><p><strong>Results: </strong>Longitudinal SBP was 5.8 mmHg lower (P < 0.0001) and DBP 6.2 mmHg lower (P < 0.0001) in women versus men. Women had -0.3 mmHg/year faster DBP decline (P < 0.0001) despite similar AH rates by sex. Incidence of CVD was similar by sex. Each 5-mmHg increment in longitudinal SBP (hazard ratio [HR] = 1.23; 95% CI 1.04, 1.45) and DBP (HR = 1.56; 95% CI 1.20, 2.04) was associated with MACE in men only; DBP (HR = 1.28; 95% CI 1.05, 1.56) was associated with hCAD in women only.</p><p><strong>Conclusions: </strong>BP was lower in women than men, and the strength of its association with the initial manifestation of CVD differed by sex. Further research into sex-specific BP mechanisms is needed to improve CVD risk reduction in people living with type 1 diabetes.</p>","PeriodicalId":93979,"journal":{"name":"Diabetes care","volume":" ","pages":"605-613"},"PeriodicalIF":16.6000,"publicationDate":"2025-04-01","publicationTypes":"Journal Article","fieldsOfStudy":null,"isOpenAccess":false,"openAccessPdf":"https://www.ncbi.nlm.nih.gov/pmc/articles/PMC11932817/pdf/","citationCount":"0","resultStr":"{\"title\":\"Sex-Specific Blood Pressure Trajectories and Cardiovascular Disease in Type 1 Diabetes: 32-Year Follow-up of the Pittsburgh Epidemiology of Diabetes Complications Cohort.\",\"authors\":\"Rachel G Miller, Trevor J Orchard, Tina Costacou\",\"doi\":\"10.2337/dc24-2258\",\"DOIUrl\":null,\"url\":null,\"abstract\":\"<p><strong>Objective: </strong>We examined sex differences in longitudinal blood pressure (BP) and 32-year cardiovascular disease (CVD) incidence in the Pittsburgh Epidemiology of Diabetes Complications type 1 diabetes cohort.</p><p><strong>Research design and methods: </strong>BP was measured up to nine (median six) times between 1986-1988 baseline and 2016-2018; n = 300 women and 304 men without CVD at baseline were followed until December 2020 for incidence of total CVD, major adverse cardiovascular events (MACE) (CVD death, myocardial infarction [MI], or stroke), and hard coronary artery disease (hCAD) (CAD death, MI, or coronary revascularization/blockage ≥ 50%). We estimated associations between time to event and longitudinal systolic BP (SBP) and diastolic BP (DBP) by sex using joint models adjusted for time-varying longitudinal antihypertensive (AH) medication use, HbA1c, and overt nephropathy, baseline age, and other CVD risk factors.</p><p><strong>Results: </strong>Longitudinal SBP was 5.8 mmHg lower (P < 0.0001) and DBP 6.2 mmHg lower (P < 0.0001) in women versus men. Women had -0.3 mmHg/year faster DBP decline (P < 0.0001) despite similar AH rates by sex. Incidence of CVD was similar by sex. Each 5-mmHg increment in longitudinal SBP (hazard ratio [HR] = 1.23; 95% CI 1.04, 1.45) and DBP (HR = 1.56; 95% CI 1.20, 2.04) was associated with MACE in men only; DBP (HR = 1.28; 95% CI 1.05, 1.56) was associated with hCAD in women only.</p><p><strong>Conclusions: </strong>BP was lower in women than men, and the strength of its association with the initial manifestation of CVD differed by sex. Further research into sex-specific BP mechanisms is needed to improve CVD risk reduction in people living with type 1 diabetes.</p>\",\"PeriodicalId\":93979,\"journal\":{\"name\":\"Diabetes care\",\"volume\":\" \",\"pages\":\"605-613\"},\"PeriodicalIF\":16.6000,\"publicationDate\":\"2025-04-01\",\"publicationTypes\":\"Journal Article\",\"fieldsOfStudy\":null,\"isOpenAccess\":false,\"openAccessPdf\":\"https://www.ncbi.nlm.nih.gov/pmc/articles/PMC11932817/pdf/\",\"citationCount\":\"0\",\"resultStr\":null,\"platform\":\"Semanticscholar\",\"paperid\":null,\"PeriodicalName\":\"Diabetes care\",\"FirstCategoryId\":\"1085\",\"ListUrlMain\":\"https://doi.org/10.2337/dc24-2258\",\"RegionNum\":0,\"RegionCategory\":null,\"ArticlePicture\":[],\"TitleCN\":null,\"AbstractTextCN\":null,\"PMCID\":null,\"EPubDate\":\"\",\"PubModel\":\"\",\"JCR\":\"\",\"JCRName\":\"\",\"Score\":null,\"Total\":0}","platform":"Semanticscholar","paperid":null,"PeriodicalName":"Diabetes care","FirstCategoryId":"1085","ListUrlMain":"https://doi.org/10.2337/dc24-2258","RegionNum":0,"RegionCategory":null,"ArticlePicture":[],"TitleCN":null,"AbstractTextCN":null,"PMCID":null,"EPubDate":"","PubModel":"","JCR":"","JCRName":"","Score":null,"Total":0}
引用次数: 0

摘要

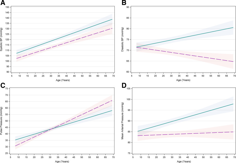
目的:研究匹兹堡1型糖尿病并发症流行病学队列中纵向血压(BP)和32年心血管疾病(CVD)发病率的性别差异。研究设计和方法:在1986-1988年基线和2016-2018年期间,测量BP多达9次(中位数为6次);基线时无CVD的300名女性和304名男性随访至2020年12月,观察总CVD、主要不良心血管事件(MACE) (CVD死亡、心肌梗死[MI]或中风)和硬冠状动脉疾病(hCAD) (CAD死亡、MI或冠状动脉血运重建/阻塞≥50%)的发生率。我们使用联合模型,根据时变纵向抗高血压药物使用、HbA1c、明显肾病、基线年龄和其他心血管疾病危险因素进行调整,估计事件发生时间与纵向收缩压(SBP)和舒张压(DBP)之间的相关性。结果:与男性相比,女性纵向收缩压降低5.8 mmHg (P < 0.0001),舒张压降低6.2 mmHg (P < 0.0001)。女性的舒张压下降-0.3 mmHg/年更快(P < 0.0001),尽管不同性别的AH发生率相似。不同性别的心血管疾病发病率相似。纵向收缩压每增加5 mmhg(风险比[HR] = 1.23;95% CI 1.04, 1.45)和DBP (HR = 1.56;95% CI 1.20, 2.04)仅与男性的MACE相关;DBP (hr = 1.28;95% CI 1.05, 1.56)仅与女性hCAD相关。结论:女性血压低于男性,其与CVD初始表现的相关性因性别而异。需要进一步研究性别特异性BP机制,以提高1型糖尿病患者心血管疾病风险的降低。
本文章由计算机程序翻译,如有差异,请以英文原文为准。

Sex-Specific Blood Pressure Trajectories and Cardiovascular Disease in Type 1 Diabetes: 32-Year Follow-up of the Pittsburgh Epidemiology of Diabetes Complications Cohort.

Sex-Specific Blood Pressure Trajectories and Cardiovascular Disease in Type 1 Diabetes: 32-Year Follow-up of the Pittsburgh Epidemiology of Diabetes Complications Cohort.

Sex-Specific Blood Pressure Trajectories and Cardiovascular Disease in Type 1 Diabetes: 32-Year Follow-up of the Pittsburgh Epidemiology of Diabetes Complications Cohort.

Sex-Specific Blood Pressure Trajectories and Cardiovascular Disease in Type 1 Diabetes: 32-Year Follow-up of the Pittsburgh Epidemiology of Diabetes Complications Cohort.

Objective: We examined sex differences in longitudinal blood pressure (BP) and 32-year cardiovascular disease (CVD) incidence in the Pittsburgh Epidemiology of Diabetes Complications type 1 diabetes cohort.

Research design and methods: BP was measured up to nine (median six) times between 1986-1988 baseline and 2016-2018; n = 300 women and 304 men without CVD at baseline were followed until December 2020 for incidence of total CVD, major adverse cardiovascular events (MACE) (CVD death, myocardial infarction [MI], or stroke), and hard coronary artery disease (hCAD) (CAD death, MI, or coronary revascularization/blockage ≥ 50%). We estimated associations between time to event and longitudinal systolic BP (SBP) and diastolic BP (DBP) by sex using joint models adjusted for time-varying longitudinal antihypertensive (AH) medication use, HbA1c, and overt nephropathy, baseline age, and other CVD risk factors.

Results: Longitudinal SBP was 5.8 mmHg lower (P < 0.0001) and DBP 6.2 mmHg lower (P < 0.0001) in women versus men. Women had -0.3 mmHg/year faster DBP decline (P < 0.0001) despite similar AH rates by sex. Incidence of CVD was similar by sex. Each 5-mmHg increment in longitudinal SBP (hazard ratio [HR] = 1.23; 95% CI 1.04, 1.45) and DBP (HR = 1.56; 95% CI 1.20, 2.04) was associated with MACE in men only; DBP (HR = 1.28; 95% CI 1.05, 1.56) was associated with hCAD in women only.

Conclusions: BP was lower in women than men, and the strength of its association with the initial manifestation of CVD differed by sex. Further research into sex-specific BP mechanisms is needed to improve CVD risk reduction in people living with type 1 diabetes.

求助全文
通过发布文献求助,成功后即可免费获取论文全文。 去求助
来源期刊
CiteScore
29.50
自引率
0.00%
发文量
0
×
引用
GB/T 7714-2015
复制
MLA
复制
APA
复制
导出至
BibTeX EndNote RefMan NoteFirst NoteExpress
×
提示
您的信息不完整,为了账户安全,请先补充。
现在去补充
×
提示
您因"违规操作"
具体请查看互助需知
我知道了
×
提示
确定
请完成安全验证×
copy
已复制链接
快去分享给好友吧!
我知道了
右上角分享
点击右上角分享
0
联系我们:info@booksci.cn Book学术提供免费学术资源搜索服务,方便国内外学者检索中英文文献。致力于提供最便捷和优质的服务体验。 Copyright © 2023 布克学术 All rights reserved.
京ICP备2023020795号-1
ghs 京公网安备 11010802042870号
Book学术文献互助
Book学术文献互助群
群 号:604180095
Book学术官方微信