西班牙初级保健中抗菌药物使用的流行病学特征:一项全国性研究。

IF 2.2
Héctor Sánchez-Herrero, Álvaro Solaz-García, Alejandro Pinilla-González, Elena Vanessa Martínez-Sánchez, Patricia Santágueda-Balader, María Cernada-Badía
{"title":"西班牙初级保健中抗菌药物使用的流行病学特征:一项全国性研究。","authors":"Héctor Sánchez-Herrero, Álvaro Solaz-García, Alejandro Pinilla-González, Elena Vanessa Martínez-Sánchez, Patricia Santágueda-Balader, María Cernada-Badía","doi":"10.37201/req/120.2024","DOIUrl":null,"url":null,"abstract":"<p><strong>Introduction: </strong>This study aims to describe antimicrobial use in primary care across Spain by analyzing the prescriptions dispensed in pharmacies. Antimicrobials were categorized into therapeutic action groups based on the ATC-2 classification: antibacterials (J01), antimycotics (J02), antimycobacterials (J04), and antivirals (J05). Additionally, the study explores epidemiological patterns of use.</p><p><strong>Methods: </strong>A retrospective observational study was conducted using data from the Primary Care Clinical Database (BDCAP) for 2023. The analysis focused on defined daily doses (DDD) per 1,000 persons/day (DHD), and the number of individuals with at least one antimicrobial prescription in primary care. Data were stratified by age, sex, municipality size, income level, country of birth, and employment status. Changes in prescriptions percentages in 2017 and 2023, as well as variations by age group and sex were compared.</p><p><strong>Results: </strong>An overall upward temporal trend in the antimicrobial DHD was observed from 2017 to 2023 (increase of 20.2%), with a decrease in usage during 2020 and 2021. Women exhibited higher DHD for antibacterials, antimycotics, and antivirals, whereas men demonstrated higher DHD for antimycobacterials. Notably, antimycobacterial agents had higher DHD in municipalities with populations exceeding 100,000 inhabitants and among foreign-born individuals. Out of 46,762,487 people assigned to primary care, 14,056,450 received prescribed antimicrobials in 2023.</p><p><strong>Conclusions: </strong>These findings indicate a rising trend in antimicrobial use in primary care, underscoring the need for targeted interventions to encourage the rational use of antimicrobials, particularly in high-use groups.</p>","PeriodicalId":94198,"journal":{"name":"Revista espanola de quimioterapia : publicacion oficial de la Sociedad Espanola de Quimioterapia","volume":"38 2","pages":"115-125"},"PeriodicalIF":2.2000,"publicationDate":"2025-03-03","publicationTypes":"Journal Article","fieldsOfStudy":null,"isOpenAccess":false,"openAccessPdf":"https://www.ncbi.nlm.nih.gov/pmc/articles/PMC11894558/pdf/","citationCount":"0","resultStr":"{\"title\":\"Epidemiological characteristics of antimicrobial use in Primary Care in Spain: a nationwide study.\",\"authors\":\"Héctor Sánchez-Herrero, Álvaro Solaz-García, Alejandro Pinilla-González, Elena Vanessa Martínez-Sánchez, Patricia Santágueda-Balader, María Cernada-Badía\",\"doi\":\"10.37201/req/120.2024\",\"DOIUrl\":null,\"url\":null,\"abstract\":\"<p><strong>Introduction: </strong>This study aims to describe antimicrobial use in primary care across Spain by analyzing the prescriptions dispensed in pharmacies. Antimicrobials were categorized into therapeutic action groups based on the ATC-2 classification: antibacterials (J01), antimycotics (J02), antimycobacterials (J04), and antivirals (J05). Additionally, the study explores epidemiological patterns of use.</p><p><strong>Methods: </strong>A retrospective observational study was conducted using data from the Primary Care Clinical Database (BDCAP) for 2023. The analysis focused on defined daily doses (DDD) per 1,000 persons/day (DHD), and the number of individuals with at least one antimicrobial prescription in primary care. Data were stratified by age, sex, municipality size, income level, country of birth, and employment status. Changes in prescriptions percentages in 2017 and 2023, as well as variations by age group and sex were compared.</p><p><strong>Results: </strong>An overall upward temporal trend in the antimicrobial DHD was observed from 2017 to 2023 (increase of 20.2%), with a decrease in usage during 2020 and 2021. Women exhibited higher DHD for antibacterials, antimycotics, and antivirals, whereas men demonstrated higher DHD for antimycobacterials. Notably, antimycobacterial agents had higher DHD in municipalities with populations exceeding 100,000 inhabitants and among foreign-born individuals. Out of 46,762,487 people assigned to primary care, 14,056,450 received prescribed antimicrobials in 2023.</p><p><strong>Conclusions: </strong>These findings indicate a rising trend in antimicrobial use in primary care, underscoring the need for targeted interventions to encourage the rational use of antimicrobials, particularly in high-use groups.</p>\",\"PeriodicalId\":94198,\"journal\":{\"name\":\"Revista espanola de quimioterapia : publicacion oficial de la Sociedad Espanola de Quimioterapia\",\"volume\":\"38 2\",\"pages\":\"115-125\"},\"PeriodicalIF\":2.2000,\"publicationDate\":\"2025-03-03\",\"publicationTypes\":\"Journal Article\",\"fieldsOfStudy\":null,\"isOpenAccess\":false,\"openAccessPdf\":\"https://www.ncbi.nlm.nih.gov/pmc/articles/PMC11894558/pdf/\",\"citationCount\":\"0\",\"resultStr\":null,\"platform\":\"Semanticscholar\",\"paperid\":null,\"PeriodicalName\":\"Revista espanola de quimioterapia : publicacion oficial de la Sociedad Espanola de Quimioterapia\",\"FirstCategoryId\":\"1085\",\"ListUrlMain\":\"https://doi.org/10.37201/req/120.2024\",\"RegionNum\":0,\"RegionCategory\":null,\"ArticlePicture\":[],\"TitleCN\":null,\"AbstractTextCN\":null,\"PMCID\":null,\"EPubDate\":\"2025/2/6 0:00:00\",\"PubModel\":\"Epub\",\"JCR\":\"\",\"JCRName\":\"\",\"Score\":null,\"Total\":0}","platform":"Semanticscholar","paperid":null,"PeriodicalName":"Revista espanola de quimioterapia : publicacion oficial de la Sociedad Espanola de Quimioterapia","FirstCategoryId":"1085","ListUrlMain":"https://doi.org/10.37201/req/120.2024","RegionNum":0,"RegionCategory":null,"ArticlePicture":[],"TitleCN":null,"AbstractTextCN":null,"PMCID":null,"EPubDate":"2025/2/6 0:00:00","PubModel":"Epub","JCR":"","JCRName":"","Score":null,"Total":0}
引用次数: 0

摘要

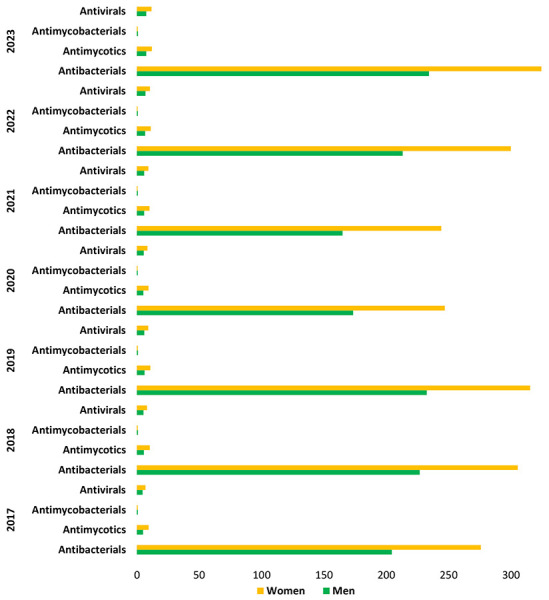
简介:本研究旨在通过分析药房配发的处方来描述西班牙初级保健中的抗菌药物使用情况。根据ATC-2分类,将抗菌药物分为抗菌药物(J01)、抗真菌药物(J02)、抗细菌药物(J04)和抗病毒药物(J05)。此外,该研究还探讨了使用的流行病学模式。方法:使用初级保健临床数据库(BDCAP) 2023年的数据进行回顾性观察研究。分析的重点是每1000人/天(DHD)的限定日剂量(DDD),以及在初级保健中至少使用一种抗菌药物处方的人数。数据按年龄、性别、城市规模、收入水平、出生国家和就业状况进行分层。比较了2017年和2023年处方百分比的变化,以及年龄组和性别的变化。结果:2017 - 2023年抗菌药物DHD总体呈上升趋势(增长20.2%),2020年和2021年呈下降趋势。女性对抗菌药物、抗真菌药物和抗病毒药物表现出较高的DHD,而男性对抗细菌药物表现出较高的DHD。值得注意的是,在人口超过10万的城市和外国出生的个人中,抗真菌药物的DHD较高。在分配到初级保健的46,762,487人中,2023年有14,056,450人获得了处方抗微生物药物。结论:这些发现表明,初级保健中抗菌素使用呈上升趋势,强调需要采取有针对性的干预措施,鼓励合理使用抗菌素,特别是在高使用人群中。
本文章由计算机程序翻译,如有差异,请以英文原文为准。

Epidemiological characteristics of antimicrobial use in Primary Care in Spain: a nationwide study.

Epidemiological characteristics of antimicrobial use in Primary Care in Spain: a nationwide study.

Epidemiological characteristics of antimicrobial use in Primary Care in Spain: a nationwide study.

Introduction: This study aims to describe antimicrobial use in primary care across Spain by analyzing the prescriptions dispensed in pharmacies. Antimicrobials were categorized into therapeutic action groups based on the ATC-2 classification: antibacterials (J01), antimycotics (J02), antimycobacterials (J04), and antivirals (J05). Additionally, the study explores epidemiological patterns of use.

Methods: A retrospective observational study was conducted using data from the Primary Care Clinical Database (BDCAP) for 2023. The analysis focused on defined daily doses (DDD) per 1,000 persons/day (DHD), and the number of individuals with at least one antimicrobial prescription in primary care. Data were stratified by age, sex, municipality size, income level, country of birth, and employment status. Changes in prescriptions percentages in 2017 and 2023, as well as variations by age group and sex were compared.

Results: An overall upward temporal trend in the antimicrobial DHD was observed from 2017 to 2023 (increase of 20.2%), with a decrease in usage during 2020 and 2021. Women exhibited higher DHD for antibacterials, antimycotics, and antivirals, whereas men demonstrated higher DHD for antimycobacterials. Notably, antimycobacterial agents had higher DHD in municipalities with populations exceeding 100,000 inhabitants and among foreign-born individuals. Out of 46,762,487 people assigned to primary care, 14,056,450 received prescribed antimicrobials in 2023.

Conclusions: These findings indicate a rising trend in antimicrobial use in primary care, underscoring the need for targeted interventions to encourage the rational use of antimicrobials, particularly in high-use groups.

求助全文
通过发布文献求助,成功后即可免费获取论文全文。 去求助
来源期刊
自引率
0.00%
发文量
0
×
引用
GB/T 7714-2015
复制
MLA
复制
APA
复制
导出至
BibTeX EndNote RefMan NoteFirst NoteExpress
×
提示
您的信息不完整,为了账户安全,请先补充。
现在去补充
×
提示
您因"违规操作"
具体请查看互助需知
我知道了
×
提示
确定
请完成安全验证×
copy
已复制链接
快去分享给好友吧!
我知道了
右上角分享
点击右上角分享
0
联系我们:info@booksci.cn Book学术提供免费学术资源搜索服务,方便国内外学者检索中英文文献。致力于提供最便捷和优质的服务体验。 Copyright © 2023 布克学术 All rights reserved.
京ICP备2023020795号-1
ghs 京公网安备 11010802042870号
Book学术文献互助
Book学术文献互助群
群 号:604180095
Book学术官方微信