NavBLIP:用于增强无人机导航和目标检测的视觉语言模型。

IF 2.8 4区 计算机科学 Q3 COMPUTER SCIENCE, ARTIFICIAL INTELLIGENCE
Frontiers in Neurorobotics Pub Date : 2025-01-24 eCollection Date: 2024-01-01 DOI:10.3389/fnbot.2024.1513354
Ye Li, Li Yang, Meifang Yang, Fei Yan, Tonghua Liu, Chensi Guo, Rufeng Chen
{"title":"NavBLIP:用于增强无人机导航和目标检测的视觉语言模型。","authors":"Ye Li, Li Yang, Meifang Yang, Fei Yan, Tonghua Liu, Chensi Guo, Rufeng Chen","doi":"10.3389/fnbot.2024.1513354","DOIUrl":null,"url":null,"abstract":"<p><strong>Introduction: </strong>In recent years, Unmanned Aerial Vehicles (UAVs) have increasingly been deployed in various applications such as autonomous navigation, surveillance, and object detection. Traditional methods for UAV navigation and object detection have often relied on either handcrafted features or unimodal deep learning approaches. While these methods have seen some success, they frequently encounter limitations in dynamic environments, where robustness and computational efficiency become critical for real-time performance. Additionally, these methods often fail to effectively integrate multimodal inputs, which restricts their adaptability and generalization capabilities when facing complex and diverse scenarios.</p><p><strong>Methods: </strong>To address these challenges, we introduce NavBLIP, a novel visual-language model specifically designed to enhance UAV navigation and object detection by utilizing multimodal data. NavBLIP incorporates transfer learning techniques along with a Nuisance-Invariant Multimodal Feature Extraction (NIMFE) module. The NIMFE module plays a key role in disentangling relevant features from intricate visual and environmental inputs, allowing UAVs to swiftly adapt to new environments and improve object detection accuracy. Furthermore, NavBLIP employs a multimodal control strategy that dynamically selects context-specific features to optimize real-time performance, ensuring efficiency in high-stakes operations.</p><p><strong>Results and discussion: </strong>Extensive experiments on benchmark datasets such as RefCOCO, CC12M, and Openlmages reveal that NavBLIP outperforms existing state-of-the-art models in terms of accuracy, recall, and computational efficiency. Additionally, our ablation study emphasizes the significance of the NIMFE and transfer learning components in boosting the model's performance, underscoring NavBLIP's potential for real-time UAV applications where adaptability and computational efficiency are paramount.</p>","PeriodicalId":12628,"journal":{"name":"Frontiers in Neurorobotics","volume":"18 ","pages":"1513354"},"PeriodicalIF":2.8000,"publicationDate":"2025-01-24","publicationTypes":"Journal Article","fieldsOfStudy":null,"isOpenAccess":false,"openAccessPdf":"https://www.ncbi.nlm.nih.gov/pmc/articles/PMC11802496/pdf/","citationCount":"0","resultStr":"{\"title\":\"NavBLIP: a visual-language model for enhancing unmanned aerial vehicles navigation and object detection.\",\"authors\":\"Ye Li, Li Yang, Meifang Yang, Fei Yan, Tonghua Liu, Chensi Guo, Rufeng Chen\",\"doi\":\"10.3389/fnbot.2024.1513354\",\"DOIUrl\":null,\"url\":null,\"abstract\":\"<p><strong>Introduction: </strong>In recent years, Unmanned Aerial Vehicles (UAVs) have increasingly been deployed in various applications such as autonomous navigation, surveillance, and object detection. Traditional methods for UAV navigation and object detection have often relied on either handcrafted features or unimodal deep learning approaches. While these methods have seen some success, they frequently encounter limitations in dynamic environments, where robustness and computational efficiency become critical for real-time performance. Additionally, these methods often fail to effectively integrate multimodal inputs, which restricts their adaptability and generalization capabilities when facing complex and diverse scenarios.</p><p><strong>Methods: </strong>To address these challenges, we introduce NavBLIP, a novel visual-language model specifically designed to enhance UAV navigation and object detection by utilizing multimodal data. NavBLIP incorporates transfer learning techniques along with a Nuisance-Invariant Multimodal Feature Extraction (NIMFE) module. The NIMFE module plays a key role in disentangling relevant features from intricate visual and environmental inputs, allowing UAVs to swiftly adapt to new environments and improve object detection accuracy. Furthermore, NavBLIP employs a multimodal control strategy that dynamically selects context-specific features to optimize real-time performance, ensuring efficiency in high-stakes operations.</p><p><strong>Results and discussion: </strong>Extensive experiments on benchmark datasets such as RefCOCO, CC12M, and Openlmages reveal that NavBLIP outperforms existing state-of-the-art models in terms of accuracy, recall, and computational efficiency. Additionally, our ablation study emphasizes the significance of the NIMFE and transfer learning components in boosting the model's performance, underscoring NavBLIP's potential for real-time UAV applications where adaptability and computational efficiency are paramount.</p>\",\"PeriodicalId\":12628,\"journal\":{\"name\":\"Frontiers in Neurorobotics\",\"volume\":\"18 \",\"pages\":\"1513354\"},\"PeriodicalIF\":2.8000,\"publicationDate\":\"2025-01-24\",\"publicationTypes\":\"Journal Article\",\"fieldsOfStudy\":null,\"isOpenAccess\":false,\"openAccessPdf\":\"https://www.ncbi.nlm.nih.gov/pmc/articles/PMC11802496/pdf/\",\"citationCount\":\"0\",\"resultStr\":null,\"platform\":\"Semanticscholar\",\"paperid\":null,\"PeriodicalName\":\"Frontiers in Neurorobotics\",\"FirstCategoryId\":\"94\",\"ListUrlMain\":\"https://doi.org/10.3389/fnbot.2024.1513354\",\"RegionNum\":4,\"RegionCategory\":\"计算机科学\",\"ArticlePicture\":[],\"TitleCN\":null,\"AbstractTextCN\":null,\"PMCID\":null,\"EPubDate\":\"2024/1/1 0:00:00\",\"PubModel\":\"eCollection\",\"JCR\":\"Q3\",\"JCRName\":\"COMPUTER SCIENCE, ARTIFICIAL INTELLIGENCE\",\"Score\":null,\"Total\":0}","platform":"Semanticscholar","paperid":null,"PeriodicalName":"Frontiers in Neurorobotics","FirstCategoryId":"94","ListUrlMain":"https://doi.org/10.3389/fnbot.2024.1513354","RegionNum":4,"RegionCategory":"计算机科学","ArticlePicture":[],"TitleCN":null,"AbstractTextCN":null,"PMCID":null,"EPubDate":"2024/1/1 0:00:00","PubModel":"eCollection","JCR":"Q3","JCRName":"COMPUTER SCIENCE, ARTIFICIAL INTELLIGENCE","Score":null,"Total":0}
引用次数: 0

摘要

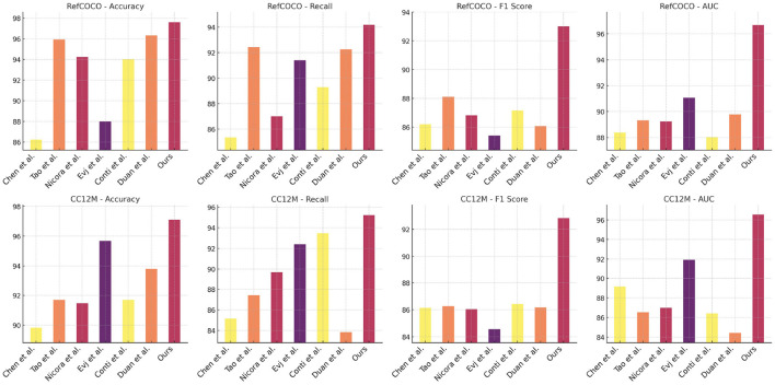
近年来,无人驾驶飞行器(uav)越来越多地应用于自主导航、监视和目标检测等各种应用中。无人机导航和目标检测的传统方法通常依赖于手工制作的特征或单模深度学习方法。虽然这些方法取得了一些成功,但它们在动态环境中经常遇到限制,在动态环境中,鲁棒性和计算效率对实时性能至关重要。此外,这些方法往往不能有效地整合多模态输入,这限制了它们在面对复杂多样场景时的适应性和泛化能力。为了应对这些挑战,我们引入了NavBLIP,这是一种新的视觉语言模型,专门用于利用多模态数据增强无人机导航和目标检测。NavBLIP结合了迁移学习技术以及不干扰多模态特征提取(NIMFE)模块。NIMFE模块在从复杂的视觉和环境输入中分离相关特征方面发挥着关键作用,使无人机能够快速适应新环境并提高目标检测精度。此外,NavBLIP采用多模态控制策略,动态选择特定于环境的特征来优化实时性能,确保高风险作业的效率。结果和讨论:在RefCOCO、CC12M和openimages等基准数据集上进行的大量实验表明,NavBLIP在准确性、召回率和计算效率方面优于现有的最先进模型。此外,我们的烧蚀研究强调了NIMFE和迁移学习组件在提高模型性能方面的重要性,强调了NavBLIP在实时无人机应用中的潜力,其中适应性和计算效率至关重要。
本文章由计算机程序翻译,如有差异,请以英文原文为准。

NavBLIP: a visual-language model for enhancing unmanned aerial vehicles navigation and object detection.

NavBLIP: a visual-language model for enhancing unmanned aerial vehicles navigation and object detection.

NavBLIP: a visual-language model for enhancing unmanned aerial vehicles navigation and object detection.

NavBLIP: a visual-language model for enhancing unmanned aerial vehicles navigation and object detection.

Introduction: In recent years, Unmanned Aerial Vehicles (UAVs) have increasingly been deployed in various applications such as autonomous navigation, surveillance, and object detection. Traditional methods for UAV navigation and object detection have often relied on either handcrafted features or unimodal deep learning approaches. While these methods have seen some success, they frequently encounter limitations in dynamic environments, where robustness and computational efficiency become critical for real-time performance. Additionally, these methods often fail to effectively integrate multimodal inputs, which restricts their adaptability and generalization capabilities when facing complex and diverse scenarios.

Methods: To address these challenges, we introduce NavBLIP, a novel visual-language model specifically designed to enhance UAV navigation and object detection by utilizing multimodal data. NavBLIP incorporates transfer learning techniques along with a Nuisance-Invariant Multimodal Feature Extraction (NIMFE) module. The NIMFE module plays a key role in disentangling relevant features from intricate visual and environmental inputs, allowing UAVs to swiftly adapt to new environments and improve object detection accuracy. Furthermore, NavBLIP employs a multimodal control strategy that dynamically selects context-specific features to optimize real-time performance, ensuring efficiency in high-stakes operations.

Results and discussion: Extensive experiments on benchmark datasets such as RefCOCO, CC12M, and Openlmages reveal that NavBLIP outperforms existing state-of-the-art models in terms of accuracy, recall, and computational efficiency. Additionally, our ablation study emphasizes the significance of the NIMFE and transfer learning components in boosting the model's performance, underscoring NavBLIP's potential for real-time UAV applications where adaptability and computational efficiency are paramount.

求助全文
通过发布文献求助,成功后即可免费获取论文全文。 去求助
来源期刊
Frontiers in Neurorobotics
Frontiers in Neurorobotics COMPUTER SCIENCE, ARTIFICIAL INTELLIGENCER-ROBOTICS
CiteScore
5.20
自引率
6.50%
发文量
250
审稿时长
14 weeks
期刊介绍: Frontiers in Neurorobotics publishes rigorously peer-reviewed research in the science and technology of embodied autonomous neural systems. Specialty Chief Editors Alois C. Knoll and Florian Röhrbein at the Technische Universität München are supported by an outstanding Editorial Board of international experts. This multidisciplinary open-access journal is at the forefront of disseminating and communicating scientific knowledge and impactful discoveries to researchers, academics and the public worldwide. Neural systems include brain-inspired algorithms (e.g. connectionist networks), computational models of biological neural networks (e.g. artificial spiking neural nets, large-scale simulations of neural microcircuits) and actual biological systems (e.g. in vivo and in vitro neural nets). The focus of the journal is the embodiment of such neural systems in artificial software and hardware devices, machines, robots or any other form of physical actuation. This also includes prosthetic devices, brain machine interfaces, wearable systems, micro-machines, furniture, home appliances, as well as systems for managing micro and macro infrastructures. Frontiers in Neurorobotics also aims to publish radically new tools and methods to study plasticity and development of autonomous self-learning systems that are capable of acquiring knowledge in an open-ended manner. Models complemented with experimental studies revealing self-organizing principles of embodied neural systems are welcome. Our journal also publishes on the micro and macro engineering and mechatronics of robotic devices driven by neural systems, as well as studies on the impact that such systems will have on our daily life.
×
引用
GB/T 7714-2015
复制
MLA
复制
APA
复制
导出至
BibTeX EndNote RefMan NoteFirst NoteExpress
×
提示
您的信息不完整,为了账户安全,请先补充。
现在去补充
×
提示
您因"违规操作"
具体请查看互助需知
我知道了
×
提示
确定
请完成安全验证×
copy
已复制链接
快去分享给好友吧!
我知道了
右上角分享
点击右上角分享
0
联系我们:info@booksci.cn Book学术提供免费学术资源搜索服务,方便国内外学者检索中英文文献。致力于提供最便捷和优质的服务体验。 Copyright © 2023 布克学术 All rights reserved.
京ICP备2023020795号-1
ghs 京公网安备 11010802042870号
Book学术文献互助
Book学术文献互助群
群 号:604180095
Book学术官方微信