机器学习:预测cN0乳头状甲状腺癌侧淋巴结转移的多中心研究。

IF 5.1 2区 医学 Q1 ENDOCRINOLOGY & METABOLISM
Jing Zhou, Daxue Li, Jiahui Ren, Chun Huang, Shiying Yang, Mingyao Chen, Zhaoyu Wan, Jinhang He, Yuchen Zhuang, Song Xue, Lin Chun, Xinliang Su
{"title":"机器学习:预测cN0乳头状甲状腺癌侧淋巴结转移的多中心研究。","authors":"Jing Zhou, Daxue Li, Jiahui Ren, Chun Huang, Shiying Yang, Mingyao Chen, Zhaoyu Wan, Jinhang He, Yuchen Zhuang, Song Xue, Lin Chun, Xinliang Su","doi":"10.1210/clinem/dgaf070","DOIUrl":null,"url":null,"abstract":"<p><strong>Background: </strong>The necessity of prophylactic lateral neck dissection for cN0 papillary thyroid carcinoma (PTC) remains debated. This study aimed to compare traditional nomograms with machine learning (ML) models for predicting ipsilateral lateral and level II, III, and IV lymph node metastasis (LNM).</p><p><strong>Methods: </strong>Data from 1616 PTC patients diagnosed via fine-needle aspiration biopsy from hospital A were split into training and testing sets (7:3). Two hundred forty-three patients from hospital B served as a validation set. Four dependent variables-ipsilateral lateral and level II, III, and IV LNM-were analyzed. Eight ML models [logistic regression, decision tree, random forest (RF), gradient boosting, support vector machine, K-nearest neighbor, Gaussian naive Bayes, neural networks] were developed and validated using 10-fold cross-validation and grid search hyperparameter tuning. Models were assessed using 11 metrics including accuracy, area under the curve (AUC), specificity, and sensitivity. The best was compared with nomograms using the probability-based ranking model approach (PMRA).</p><p><strong>Results: </strong>RF outperformed other approaches achieving accuracy, AUC, specificity, and sensitivity of 0.773/0.728, 0.858/0.799, 0.984/0.935, 0.757/0.807 in the testing/validation sets, respectively, for ipsilateral LLNM. A streamlined model based on the top 10 contributing features that includes ipsilateral central lymph node metastasis rate, extrathyroidal extension, and ipsilateral central lymph node metastasis number retained strong performance and clearly surpassed a traditional nomogram approach based on multiple metrics and PMRA analysis. Similar results were obtained for the other dependent variables, with the RF models relying on distinct but overlapping sets of features. Clinical tool implementation is facilitated via a web-based calculator for each of the 4 dependent variables.</p><p><strong>Conclusion: </strong>ML, especially RF, reliably predicts lateral LNM in cN0 PTC patients, outperforming traditional nomograms.</p>","PeriodicalId":50238,"journal":{"name":"Journal of Clinical Endocrinology & Metabolism","volume":" ","pages":"2762-2776"},"PeriodicalIF":5.1000,"publicationDate":"2025-09-16","publicationTypes":"Journal Article","fieldsOfStudy":null,"isOpenAccess":false,"openAccessPdf":"https://www.ncbi.nlm.nih.gov/pmc/articles/PMC12448597/pdf/","citationCount":"0","resultStr":"{\"title\":\"Machine Learning: A Multicenter Study on Predicting Lateral Lymph Node Metastasis in cN0 Papillary Thyroid Carcinoma.\",\"authors\":\"Jing Zhou, Daxue Li, Jiahui Ren, Chun Huang, Shiying Yang, Mingyao Chen, Zhaoyu Wan, Jinhang He, Yuchen Zhuang, Song Xue, Lin Chun, Xinliang Su\",\"doi\":\"10.1210/clinem/dgaf070\",\"DOIUrl\":null,\"url\":null,\"abstract\":\"<p><strong>Background: </strong>The necessity of prophylactic lateral neck dissection for cN0 papillary thyroid carcinoma (PTC) remains debated. This study aimed to compare traditional nomograms with machine learning (ML) models for predicting ipsilateral lateral and level II, III, and IV lymph node metastasis (LNM).</p><p><strong>Methods: </strong>Data from 1616 PTC patients diagnosed via fine-needle aspiration biopsy from hospital A were split into training and testing sets (7:3). Two hundred forty-three patients from hospital B served as a validation set. Four dependent variables-ipsilateral lateral and level II, III, and IV LNM-were analyzed. Eight ML models [logistic regression, decision tree, random forest (RF), gradient boosting, support vector machine, K-nearest neighbor, Gaussian naive Bayes, neural networks] were developed and validated using 10-fold cross-validation and grid search hyperparameter tuning. Models were assessed using 11 metrics including accuracy, area under the curve (AUC), specificity, and sensitivity. The best was compared with nomograms using the probability-based ranking model approach (PMRA).</p><p><strong>Results: </strong>RF outperformed other approaches achieving accuracy, AUC, specificity, and sensitivity of 0.773/0.728, 0.858/0.799, 0.984/0.935, 0.757/0.807 in the testing/validation sets, respectively, for ipsilateral LLNM. A streamlined model based on the top 10 contributing features that includes ipsilateral central lymph node metastasis rate, extrathyroidal extension, and ipsilateral central lymph node metastasis number retained strong performance and clearly surpassed a traditional nomogram approach based on multiple metrics and PMRA analysis. Similar results were obtained for the other dependent variables, with the RF models relying on distinct but overlapping sets of features. Clinical tool implementation is facilitated via a web-based calculator for each of the 4 dependent variables.</p><p><strong>Conclusion: </strong>ML, especially RF, reliably predicts lateral LNM in cN0 PTC patients, outperforming traditional nomograms.</p>\",\"PeriodicalId\":50238,\"journal\":{\"name\":\"Journal of Clinical Endocrinology & Metabolism\",\"volume\":\" \",\"pages\":\"2762-2776\"},\"PeriodicalIF\":5.1000,\"publicationDate\":\"2025-09-16\",\"publicationTypes\":\"Journal Article\",\"fieldsOfStudy\":null,\"isOpenAccess\":false,\"openAccessPdf\":\"https://www.ncbi.nlm.nih.gov/pmc/articles/PMC12448597/pdf/\",\"citationCount\":\"0\",\"resultStr\":null,\"platform\":\"Semanticscholar\",\"paperid\":null,\"PeriodicalName\":\"Journal of Clinical Endocrinology & Metabolism\",\"FirstCategoryId\":\"3\",\"ListUrlMain\":\"https://doi.org/10.1210/clinem/dgaf070\",\"RegionNum\":2,\"RegionCategory\":\"医学\",\"ArticlePicture\":[],\"TitleCN\":null,\"AbstractTextCN\":null,\"PMCID\":null,\"EPubDate\":\"\",\"PubModel\":\"\",\"JCR\":\"Q1\",\"JCRName\":\"ENDOCRINOLOGY & METABOLISM\",\"Score\":null,\"Total\":0}","platform":"Semanticscholar","paperid":null,"PeriodicalName":"Journal of Clinical Endocrinology & Metabolism","FirstCategoryId":"3","ListUrlMain":"https://doi.org/10.1210/clinem/dgaf070","RegionNum":2,"RegionCategory":"医学","ArticlePicture":[],"TitleCN":null,"AbstractTextCN":null,"PMCID":null,"EPubDate":"","PubModel":"","JCR":"Q1","JCRName":"ENDOCRINOLOGY & METABOLISM","Score":null,"Total":0}
引用次数: 0

摘要

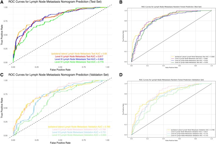
背景:cN0乳头状甲状腺癌(PTC)预防性侧颈清扫术的必要性仍然存在争议。本研究旨在比较传统的诺图与机器学习(ML)模型在预测同侧外侧和II级、III级和IV级淋巴结转移(LNM)方面的效果。方法:将A医院经细针穿刺活检诊断的1616例PTC患者的数据分为训练组和测试组(7:3)。以B医院243例患者为验证组。分析了四个因变量——同侧外侧、II级、III级和IV级lnm。开发了8个ML模型(逻辑回归、决策树、随机森林- rf、梯度增强、支持向量机、k近邻、高斯朴素贝叶斯、神经网络),并使用10倍交叉验证和网格搜索超参数调优进行了验证。使用11个指标评估模型,包括准确性、曲线下面积(AUC)、特异性和敏感性。使用基于概率的排序模型方法(PMRA)将最佳结果与模态图进行比较。结果:RF在同侧LLNM检测/验证集的准确度、AUC、特异性和灵敏度分别为0.773/0.728、0.858/0.799、0.984/0.935、0.757/0.807,优于其他方法。基于10个最重要的特征(包括同侧中央淋巴结转移率、甲状腺外延伸和同侧中央淋巴结转移数量)的流线型模型保留了强大的性能,并明显优于基于多重指标和PMRA分析的传统nomogram方法。其他因变量也得到了类似的结果,RF模型依赖于不同但重叠的特征集。临床工具的实施是通过一个基于网络的计算器为每一个四个因变量。结论:ML,特别是RF,可靠地预测cN0 PTC患者的侧位LNM,优于传统的nomogram。
本文章由计算机程序翻译,如有差异,请以英文原文为准。

Machine Learning: A Multicenter Study on Predicting Lateral Lymph Node Metastasis in cN0 Papillary Thyroid Carcinoma.

Machine Learning: A Multicenter Study on Predicting Lateral Lymph Node Metastasis in cN0 Papillary Thyroid Carcinoma.

Machine Learning: A Multicenter Study on Predicting Lateral Lymph Node Metastasis in cN0 Papillary Thyroid Carcinoma.

Machine Learning: A Multicenter Study on Predicting Lateral Lymph Node Metastasis in cN0 Papillary Thyroid Carcinoma.

Background: The necessity of prophylactic lateral neck dissection for cN0 papillary thyroid carcinoma (PTC) remains debated. This study aimed to compare traditional nomograms with machine learning (ML) models for predicting ipsilateral lateral and level II, III, and IV lymph node metastasis (LNM).

Methods: Data from 1616 PTC patients diagnosed via fine-needle aspiration biopsy from hospital A were split into training and testing sets (7:3). Two hundred forty-three patients from hospital B served as a validation set. Four dependent variables-ipsilateral lateral and level II, III, and IV LNM-were analyzed. Eight ML models [logistic regression, decision tree, random forest (RF), gradient boosting, support vector machine, K-nearest neighbor, Gaussian naive Bayes, neural networks] were developed and validated using 10-fold cross-validation and grid search hyperparameter tuning. Models were assessed using 11 metrics including accuracy, area under the curve (AUC), specificity, and sensitivity. The best was compared with nomograms using the probability-based ranking model approach (PMRA).

Results: RF outperformed other approaches achieving accuracy, AUC, specificity, and sensitivity of 0.773/0.728, 0.858/0.799, 0.984/0.935, 0.757/0.807 in the testing/validation sets, respectively, for ipsilateral LLNM. A streamlined model based on the top 10 contributing features that includes ipsilateral central lymph node metastasis rate, extrathyroidal extension, and ipsilateral central lymph node metastasis number retained strong performance and clearly surpassed a traditional nomogram approach based on multiple metrics and PMRA analysis. Similar results were obtained for the other dependent variables, with the RF models relying on distinct but overlapping sets of features. Clinical tool implementation is facilitated via a web-based calculator for each of the 4 dependent variables.

Conclusion: ML, especially RF, reliably predicts lateral LNM in cN0 PTC patients, outperforming traditional nomograms.

求助全文
通过发布文献求助,成功后即可免费获取论文全文。 去求助
来源期刊
Journal of Clinical Endocrinology & Metabolism
Journal of Clinical Endocrinology & Metabolism 医学-内分泌学与代谢
CiteScore
11.40
自引率
5.20%
发文量
673
审稿时长
1 months
期刊介绍: The Journal of Clinical Endocrinology & Metabolism is the world"s leading peer-reviewed journal for endocrine clinical research and cutting edge clinical practice reviews. Each issue provides the latest in-depth coverage of new developments enhancing our understanding, diagnosis and treatment of endocrine and metabolic disorders. Regular features of special interest to endocrine consultants include clinical trials, clinical reviews, clinical practice guidelines, case seminars, and controversies in clinical endocrinology, as well as original reports of the most important advances in patient-oriented endocrine and metabolic research. According to the latest Thomson Reuters Journal Citation Report, JCE&M articles were cited 64,185 times in 2008.
×
引用
GB/T 7714-2015
复制
MLA
复制
APA
复制
导出至
BibTeX EndNote RefMan NoteFirst NoteExpress
×
提示
您的信息不完整,为了账户安全,请先补充。
现在去补充
×
提示
您因"违规操作"
具体请查看互助需知
我知道了
×
提示
确定
请完成安全验证×
copy
已复制链接
快去分享给好友吧!
我知道了
右上角分享
点击右上角分享
0
联系我们:info@booksci.cn Book学术提供免费学术资源搜索服务,方便国内外学者检索中英文文献。致力于提供最便捷和优质的服务体验。 Copyright © 2023 布克学术 All rights reserved.
京ICP备2023020795号-1
ghs 京公网安备 11010802042870号
Book学术文献互助
Book学术文献互助群
群 号:604180095
Book学术官方微信