高真空气相质子交换制备LiNbO3光波导折射率对比的连续可调性。

IF 3.9 2区 综合性期刊 Q1 MULTIDISCIPLINARY SCIENCES
Mihnea Raoul Sandu, Alicia Petronela Rambu, Laura Hrostea, Sorin Tascu
{"title":"高真空气相质子交换制备LiNbO3光波导折射率对比的连续可调性。","authors":"Mihnea Raoul Sandu, Alicia Petronela Rambu, Laura Hrostea, Sorin Tascu","doi":"10.1038/s41598-025-89347-9","DOIUrl":null,"url":null,"abstract":"<p><p>The actual techniques allowing the fabrication of waveguides in lithium niobate are not able to satisfy one of the demands of modern integrated photonics namely the well-controlled tunability of index contrast over a large range of values (from high-index contrast to low index contrast). This paper presents a simple and reliable method allowing well-controlled index contrast tunability between high-index contrast (Δn<sub>e</sub> = 0.1) and low-index contrast (Δn<sub>e</sub> = 0.035) while benefiting from the optical nonlinearity of LiNbO<sub>3</sub> waveguides fabricated using HiVac-VPE technique. The study involves both planar and channel lithium niobate waveguides. The planar waveguides subjected to an annealing process for 1 to 5.5 h, are characterized before and after the thermal treatment, in order to determine the index contrast evolution and to analyze the changes of index profile shapes. Furthermore, it is found that the index profile after annealing is fitted by an exponential function different from Gaussian fit found in well-known Annealed Proton Exchange technique. Additionally, the index contrast dependence of the annealing time is also fitted by an exponential function. Channel waveguides, fabricated in the same condition, were designed for single-mode propagation at telecom wavelength. After characterization, the best of investigated annealed channel waveguides exhibits propagation losses around 1.5 ± 0.1 dB/cm. Therefore, the presented technique offers the opportunity for customization of photonics circuitry, scalability of integrated photonics platform, enhancement of non-linear optical efficiency at the single photon level for quantum information platforms.</p>","PeriodicalId":21811,"journal":{"name":"Scientific Reports","volume":"15 1","pages":"4747"},"PeriodicalIF":3.9000,"publicationDate":"2025-02-08","publicationTypes":"Journal Article","fieldsOfStudy":null,"isOpenAccess":false,"openAccessPdf":"https://www.ncbi.nlm.nih.gov/pmc/articles/PMC11807104/pdf/","citationCount":"0","resultStr":"{\"title\":\"Continuous tunability of refractive index contrast in LiNbO<sub>3</sub> optical waveguides fabricated by high-vacuum vapor-phase proton exchange.\",\"authors\":\"Mihnea Raoul Sandu, Alicia Petronela Rambu, Laura Hrostea, Sorin Tascu\",\"doi\":\"10.1038/s41598-025-89347-9\",\"DOIUrl\":null,\"url\":null,\"abstract\":\"<p><p>The actual techniques allowing the fabrication of waveguides in lithium niobate are not able to satisfy one of the demands of modern integrated photonics namely the well-controlled tunability of index contrast over a large range of values (from high-index contrast to low index contrast). This paper presents a simple and reliable method allowing well-controlled index contrast tunability between high-index contrast (Δn<sub>e</sub> = 0.1) and low-index contrast (Δn<sub>e</sub> = 0.035) while benefiting from the optical nonlinearity of LiNbO<sub>3</sub> waveguides fabricated using HiVac-VPE technique. The study involves both planar and channel lithium niobate waveguides. The planar waveguides subjected to an annealing process for 1 to 5.5 h, are characterized before and after the thermal treatment, in order to determine the index contrast evolution and to analyze the changes of index profile shapes. Furthermore, it is found that the index profile after annealing is fitted by an exponential function different from Gaussian fit found in well-known Annealed Proton Exchange technique. Additionally, the index contrast dependence of the annealing time is also fitted by an exponential function. Channel waveguides, fabricated in the same condition, were designed for single-mode propagation at telecom wavelength. After characterization, the best of investigated annealed channel waveguides exhibits propagation losses around 1.5 ± 0.1 dB/cm. Therefore, the presented technique offers the opportunity for customization of photonics circuitry, scalability of integrated photonics platform, enhancement of non-linear optical efficiency at the single photon level for quantum information platforms.</p>\",\"PeriodicalId\":21811,\"journal\":{\"name\":\"Scientific Reports\",\"volume\":\"15 1\",\"pages\":\"4747\"},\"PeriodicalIF\":3.9000,\"publicationDate\":\"2025-02-08\",\"publicationTypes\":\"Journal Article\",\"fieldsOfStudy\":null,\"isOpenAccess\":false,\"openAccessPdf\":\"https://www.ncbi.nlm.nih.gov/pmc/articles/PMC11807104/pdf/\",\"citationCount\":\"0\",\"resultStr\":null,\"platform\":\"Semanticscholar\",\"paperid\":null,\"PeriodicalName\":\"Scientific Reports\",\"FirstCategoryId\":\"103\",\"ListUrlMain\":\"https://doi.org/10.1038/s41598-025-89347-9\",\"RegionNum\":2,\"RegionCategory\":\"综合性期刊\",\"ArticlePicture\":[],\"TitleCN\":null,\"AbstractTextCN\":null,\"PMCID\":null,\"EPubDate\":\"\",\"PubModel\":\"\",\"JCR\":\"Q1\",\"JCRName\":\"MULTIDISCIPLINARY SCIENCES\",\"Score\":null,\"Total\":0}","platform":"Semanticscholar","paperid":null,"PeriodicalName":"Scientific Reports","FirstCategoryId":"103","ListUrlMain":"https://doi.org/10.1038/s41598-025-89347-9","RegionNum":2,"RegionCategory":"综合性期刊","ArticlePicture":[],"TitleCN":null,"AbstractTextCN":null,"PMCID":null,"EPubDate":"","PubModel":"","JCR":"Q1","JCRName":"MULTIDISCIPLINARY SCIENCES","Score":null,"Total":0}
引用次数: 0

摘要

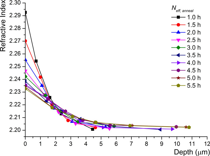
允许在铌酸锂中制造波导的实际技术不能满足现代集成光子学的要求之一,即在大范围内(从高折射率对比度到低折射率对比度)的折射率对比度的良好控制可调性。本文提出了一种简单可靠的方法,可以在高折射率对比度(Δne = 0.1)和低折射率对比度(Δne = 0.035)之间很好地控制折射率对比度可调性,同时受益于利用HiVac-VPE技术制备的LiNbO3波导的光学非线性。该研究涉及平面和通道铌酸锂波导。对经过1 ~ 5.5 h退火处理的平面波导,在热处理前后进行了表征,以确定折射率对比演变,分析折射率轮廓形状的变化。此外,还发现退火后的指数曲线是用不同于著名的退火质子交换技术中的高斯拟合的指数函数拟合的。此外,退火时间的指数对比依赖性也由指数函数拟合。在相同的条件下,设计了用于电信波长单模传输的通道波导。经过表征,所研究的最佳退火通道波导的传播损耗约为1.5±0.1 dB/cm。因此,该技术为定制光子电路、集成光子平台的可扩展性、提高量子信息平台在单光子水平上的非线性光效率提供了机会。
本文章由计算机程序翻译,如有差异,请以英文原文为准。

Continuous tunability of refractive index contrast in LiNbO<sub>3</sub> optical waveguides fabricated by high-vacuum vapor-phase proton exchange.

Continuous tunability of refractive index contrast in LiNbO<sub>3</sub> optical waveguides fabricated by high-vacuum vapor-phase proton exchange.

Continuous tunability of refractive index contrast in LiNbO<sub>3</sub> optical waveguides fabricated by high-vacuum vapor-phase proton exchange.

Continuous tunability of refractive index contrast in LiNbO3 optical waveguides fabricated by high-vacuum vapor-phase proton exchange.

The actual techniques allowing the fabrication of waveguides in lithium niobate are not able to satisfy one of the demands of modern integrated photonics namely the well-controlled tunability of index contrast over a large range of values (from high-index contrast to low index contrast). This paper presents a simple and reliable method allowing well-controlled index contrast tunability between high-index contrast (Δne = 0.1) and low-index contrast (Δne = 0.035) while benefiting from the optical nonlinearity of LiNbO3 waveguides fabricated using HiVac-VPE technique. The study involves both planar and channel lithium niobate waveguides. The planar waveguides subjected to an annealing process for 1 to 5.5 h, are characterized before and after the thermal treatment, in order to determine the index contrast evolution and to analyze the changes of index profile shapes. Furthermore, it is found that the index profile after annealing is fitted by an exponential function different from Gaussian fit found in well-known Annealed Proton Exchange technique. Additionally, the index contrast dependence of the annealing time is also fitted by an exponential function. Channel waveguides, fabricated in the same condition, were designed for single-mode propagation at telecom wavelength. After characterization, the best of investigated annealed channel waveguides exhibits propagation losses around 1.5 ± 0.1 dB/cm. Therefore, the presented technique offers the opportunity for customization of photonics circuitry, scalability of integrated photonics platform, enhancement of non-linear optical efficiency at the single photon level for quantum information platforms.

求助全文
通过发布文献求助,成功后即可免费获取论文全文。 去求助
来源期刊
Scientific Reports
Scientific Reports Natural Science Disciplines-
CiteScore
7.50
自引率
4.30%
发文量
19567
审稿时长
3.9 months
期刊介绍: We publish original research from all areas of the natural sciences, psychology, medicine and engineering. You can learn more about what we publish by browsing our specific scientific subject areas below or explore Scientific Reports by browsing all articles and collections. Scientific Reports has a 2-year impact factor: 4.380 (2021), and is the 6th most-cited journal in the world, with more than 540,000 citations in 2020 (Clarivate Analytics, 2021). •Engineering Engineering covers all aspects of engineering, technology, and applied science. It plays a crucial role in the development of technologies to address some of the world''s biggest challenges, helping to save lives and improve the way we live. •Physical sciences Physical sciences are those academic disciplines that aim to uncover the underlying laws of nature — often written in the language of mathematics. It is a collective term for areas of study including astronomy, chemistry, materials science and physics. •Earth and environmental sciences Earth and environmental sciences cover all aspects of Earth and planetary science and broadly encompass solid Earth processes, surface and atmospheric dynamics, Earth system history, climate and climate change, marine and freshwater systems, and ecology. It also considers the interactions between humans and these systems. •Biological sciences Biological sciences encompass all the divisions of natural sciences examining various aspects of vital processes. The concept includes anatomy, physiology, cell biology, biochemistry and biophysics, and covers all organisms from microorganisms, animals to plants. •Health sciences The health sciences study health, disease and healthcare. This field of study aims to develop knowledge, interventions and technology for use in healthcare to improve the treatment of patients.
×
引用
GB/T 7714-2015
复制
MLA
复制
APA
复制
导出至
BibTeX EndNote RefMan NoteFirst NoteExpress
×
提示
您的信息不完整,为了账户安全,请先补充。
现在去补充
×
提示
您因"违规操作"
具体请查看互助需知
我知道了
×
提示
确定
请完成安全验证×
copy
已复制链接
快去分享给好友吧!
我知道了
右上角分享
点击右上角分享
0
联系我们:info@booksci.cn Book学术提供免费学术资源搜索服务,方便国内外学者检索中英文文献。致力于提供最便捷和优质的服务体验。 Copyright © 2023 布克学术 All rights reserved.
京ICP备2023020795号-1
ghs 京公网安备 11010802042870号
Book学术文献互助
Book学术文献互助群
群 号:604180095
Book学术官方微信