利用熵测度对抗癌药物的理化性质进行建模和估计。

IF 3.9 2区 综合性期刊 Q1 MULTIDISCIPLINARY SCIENCES
Qasem M Tawhari, Muhammad Naeem, Abdul Rauf, Muhammad Kamran Siddiqui, Oladele Oyelakin
{"title":"利用熵测度对抗癌药物的理化性质进行建模和估计。","authors":"Qasem M Tawhari, Muhammad Naeem, Abdul Rauf, Muhammad Kamran Siddiqui, Oladele Oyelakin","doi":"10.1038/s41598-025-87755-5","DOIUrl":null,"url":null,"abstract":"<p><p>Hyaluronic acid-paclitaxel conjugate is a nanoparticle-based drug delivery system that combines hyaluronic acid with paclitaxel, enhancing its solubility, stability, and targeting specificity. This conjugate shows promise in treating breast, lung, and ovarian cancers with reduced side effects. Entropy measures are used to predict physical and chemical properties of drugs. In this paper, we compute entropy measures for the hyaluronic acid-paclitaxel conjugate using the edge/connectivity partition approach. We establish a quantitative structure-property relationship using reverse entropy measures to predict physical properties of cancer drugs. Multiple linear, Ridge, Lasso, ElasticNet, and Support Vector regression models are employed using Python software. Our results show that reverse entropy measures exhibit high predictive capability for physical properties, based on the highest coefficient of determination and lowest mean squared error. We conclude that physical properties, including boiling point, enthalpy of vaporization, flash point, molar refractivity, molar volume, polarization, molecular weight, monoisotopic mass, topological polar surface area, and complexity, can be predicted using reverse entropy measures. We propose models for each relationship, including only the most significant models for estimating uncalculated physical properties.</p>","PeriodicalId":21811,"journal":{"name":"Scientific Reports","volume":"15 1","pages":"4785"},"PeriodicalIF":3.9000,"publicationDate":"2025-02-08","publicationTypes":"Journal Article","fieldsOfStudy":null,"isOpenAccess":false,"openAccessPdf":"https://www.ncbi.nlm.nih.gov/pmc/articles/PMC11807227/pdf/","citationCount":"0","resultStr":"{\"title\":\"Modeling and estimation of physiochemical properties of cancer drugs using entropy measures.\",\"authors\":\"Qasem M Tawhari, Muhammad Naeem, Abdul Rauf, Muhammad Kamran Siddiqui, Oladele Oyelakin\",\"doi\":\"10.1038/s41598-025-87755-5\",\"DOIUrl\":null,\"url\":null,\"abstract\":\"<p><p>Hyaluronic acid-paclitaxel conjugate is a nanoparticle-based drug delivery system that combines hyaluronic acid with paclitaxel, enhancing its solubility, stability, and targeting specificity. This conjugate shows promise in treating breast, lung, and ovarian cancers with reduced side effects. Entropy measures are used to predict physical and chemical properties of drugs. In this paper, we compute entropy measures for the hyaluronic acid-paclitaxel conjugate using the edge/connectivity partition approach. We establish a quantitative structure-property relationship using reverse entropy measures to predict physical properties of cancer drugs. Multiple linear, Ridge, Lasso, ElasticNet, and Support Vector regression models are employed using Python software. Our results show that reverse entropy measures exhibit high predictive capability for physical properties, based on the highest coefficient of determination and lowest mean squared error. We conclude that physical properties, including boiling point, enthalpy of vaporization, flash point, molar refractivity, molar volume, polarization, molecular weight, monoisotopic mass, topological polar surface area, and complexity, can be predicted using reverse entropy measures. We propose models for each relationship, including only the most significant models for estimating uncalculated physical properties.</p>\",\"PeriodicalId\":21811,\"journal\":{\"name\":\"Scientific Reports\",\"volume\":\"15 1\",\"pages\":\"4785\"},\"PeriodicalIF\":3.9000,\"publicationDate\":\"2025-02-08\",\"publicationTypes\":\"Journal Article\",\"fieldsOfStudy\":null,\"isOpenAccess\":false,\"openAccessPdf\":\"https://www.ncbi.nlm.nih.gov/pmc/articles/PMC11807227/pdf/\",\"citationCount\":\"0\",\"resultStr\":null,\"platform\":\"Semanticscholar\",\"paperid\":null,\"PeriodicalName\":\"Scientific Reports\",\"FirstCategoryId\":\"103\",\"ListUrlMain\":\"https://doi.org/10.1038/s41598-025-87755-5\",\"RegionNum\":2,\"RegionCategory\":\"综合性期刊\",\"ArticlePicture\":[],\"TitleCN\":null,\"AbstractTextCN\":null,\"PMCID\":null,\"EPubDate\":\"\",\"PubModel\":\"\",\"JCR\":\"Q1\",\"JCRName\":\"MULTIDISCIPLINARY SCIENCES\",\"Score\":null,\"Total\":0}","platform":"Semanticscholar","paperid":null,"PeriodicalName":"Scientific Reports","FirstCategoryId":"103","ListUrlMain":"https://doi.org/10.1038/s41598-025-87755-5","RegionNum":2,"RegionCategory":"综合性期刊","ArticlePicture":[],"TitleCN":null,"AbstractTextCN":null,"PMCID":null,"EPubDate":"","PubModel":"","JCR":"Q1","JCRName":"MULTIDISCIPLINARY SCIENCES","Score":null,"Total":0}
引用次数: 0

摘要

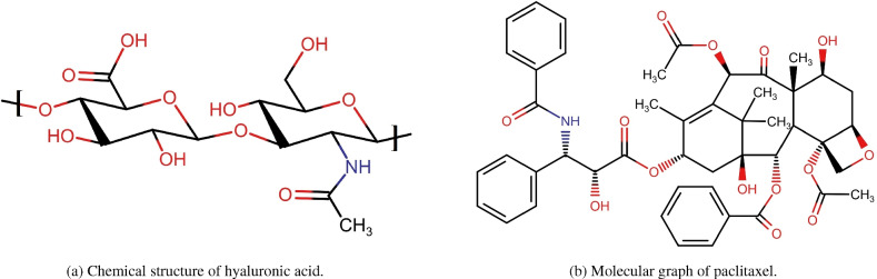
透明质酸-紫杉醇缀合物是一种基于纳米粒子的药物传递系统,它将透明质酸与紫杉醇结合在一起,增强了其溶解度、稳定性和靶向特异性。这种缀合物在治疗乳腺癌、肺癌和卵巢癌方面具有减少副作用的前景。熵测度被用来预测药物的物理和化学性质。在本文中,我们使用边缘/连通性划分方法计算透明质酸-紫杉醇共轭物的熵测度。我们利用逆熵方法建立了定量的结构-性质关系来预测抗癌药物的物理性质。使用Python软件使用多元线性、Ridge、Lasso、ElasticNet和支持向量回归模型。我们的研究结果表明,基于最高的决定系数和最低的均方误差,逆熵测量对物理性质具有很高的预测能力。我们得出结论,物理性质,包括沸点、蒸发焓、闪点、摩尔折射率、摩尔体积、极化、分子量、单同位素质量、拓扑极性表面积和复杂性,可以使用逆熵测量来预测。我们为每一种关系提出模型,只包括最重要的模型来估计未计算的物理性质。
本文章由计算机程序翻译,如有差异,请以英文原文为准。

Modeling and estimation of physiochemical properties of cancer drugs using entropy measures.

Modeling and estimation of physiochemical properties of cancer drugs using entropy measures.

Modeling and estimation of physiochemical properties of cancer drugs using entropy measures.

Modeling and estimation of physiochemical properties of cancer drugs using entropy measures.

Hyaluronic acid-paclitaxel conjugate is a nanoparticle-based drug delivery system that combines hyaluronic acid with paclitaxel, enhancing its solubility, stability, and targeting specificity. This conjugate shows promise in treating breast, lung, and ovarian cancers with reduced side effects. Entropy measures are used to predict physical and chemical properties of drugs. In this paper, we compute entropy measures for the hyaluronic acid-paclitaxel conjugate using the edge/connectivity partition approach. We establish a quantitative structure-property relationship using reverse entropy measures to predict physical properties of cancer drugs. Multiple linear, Ridge, Lasso, ElasticNet, and Support Vector regression models are employed using Python software. Our results show that reverse entropy measures exhibit high predictive capability for physical properties, based on the highest coefficient of determination and lowest mean squared error. We conclude that physical properties, including boiling point, enthalpy of vaporization, flash point, molar refractivity, molar volume, polarization, molecular weight, monoisotopic mass, topological polar surface area, and complexity, can be predicted using reverse entropy measures. We propose models for each relationship, including only the most significant models for estimating uncalculated physical properties.

求助全文
通过发布文献求助,成功后即可免费获取论文全文。 去求助
来源期刊
Scientific Reports
Scientific Reports Natural Science Disciplines-
CiteScore
7.50
自引率
4.30%
发文量
19567
审稿时长
3.9 months
期刊介绍: We publish original research from all areas of the natural sciences, psychology, medicine and engineering. You can learn more about what we publish by browsing our specific scientific subject areas below or explore Scientific Reports by browsing all articles and collections. Scientific Reports has a 2-year impact factor: 4.380 (2021), and is the 6th most-cited journal in the world, with more than 540,000 citations in 2020 (Clarivate Analytics, 2021). •Engineering Engineering covers all aspects of engineering, technology, and applied science. It plays a crucial role in the development of technologies to address some of the world''s biggest challenges, helping to save lives and improve the way we live. •Physical sciences Physical sciences are those academic disciplines that aim to uncover the underlying laws of nature — often written in the language of mathematics. It is a collective term for areas of study including astronomy, chemistry, materials science and physics. •Earth and environmental sciences Earth and environmental sciences cover all aspects of Earth and planetary science and broadly encompass solid Earth processes, surface and atmospheric dynamics, Earth system history, climate and climate change, marine and freshwater systems, and ecology. It also considers the interactions between humans and these systems. •Biological sciences Biological sciences encompass all the divisions of natural sciences examining various aspects of vital processes. The concept includes anatomy, physiology, cell biology, biochemistry and biophysics, and covers all organisms from microorganisms, animals to plants. •Health sciences The health sciences study health, disease and healthcare. This field of study aims to develop knowledge, interventions and technology for use in healthcare to improve the treatment of patients.
×
引用
GB/T 7714-2015
复制
MLA
复制
APA
复制
导出至
BibTeX EndNote RefMan NoteFirst NoteExpress
×
提示
您的信息不完整,为了账户安全,请先补充。
现在去补充
×
提示
您因"违规操作"
具体请查看互助需知
我知道了
×
提示
确定
请完成安全验证×
copy
已复制链接
快去分享给好友吧!
我知道了
右上角分享
点击右上角分享
0
联系我们:info@booksci.cn Book学术提供免费学术资源搜索服务,方便国内外学者检索中英文文献。致力于提供最便捷和优质的服务体验。 Copyright © 2023 布克学术 All rights reserved.
京ICP备2023020795号-1
ghs 京公网安备 11010802042870号
Book学术文献互助
Book学术文献互助群
群 号:604180095
Book学术官方微信