通过心电图激活的生物年龄对衰老相关疾病的传统风险评估进行重新分类。

IF 6 Q2 GERIATRICS & GERONTOLOGY
Chih-Min Liu, Ming-Jen Kuo, Chin-Yu Kuo, I-Chien Wu, Pei-Fen Chen, Wan-Ting Hsu, Li-Lien Liao, Shih-Ann Chen, Hsuan-Ming Tsao, Chien-Liang Liu, Yu-Feng Hu
{"title":"通过心电图激活的生物年龄对衰老相关疾病的传统风险评估进行重新分类。","authors":"Chih-Min Liu, Ming-Jen Kuo, Chin-Yu Kuo, I-Chien Wu, Pei-Fen Chen, Wan-Ting Hsu, Li-Lien Liao, Shih-Ann Chen, Hsuan-Ming Tsao, Chien-Liang Liu, Yu-Feng Hu","doi":"10.1038/s41514-025-00198-0","DOIUrl":null,"url":null,"abstract":"<p><p>An artificial intelligence (AI)-enabled electrocardiogram (ECG) model has been developed in a healthy adult population to predict ECG biological age (ECG-BA). This ECG-BA exhibited a robust correlation with chronological age (CA) in healthy adults and additionally significantly enhanced the prediction of aging-related diseases' onset in adults with subclinical diseases. The model showed particularly strong predictive power for cardiovascular and non-cardiovascular diseases such as stroke, coronary artery disease, peripheral arterial occlusive disease, myocardial infarction, Alzheimer's disease, osteoarthritis, and cancers. When combined with CA, ECG-BA improved diagnostic accuracy and risk classification by 21% over using CA alone, notably offering the greatest improvements in cancer prediction. The net reclassification improvement significantly reduced misclassification rates for disease onset predictions. This comprehensive study validates ECG-BA as an effective supplement to CA, advancing the precision of risk assessments for aging-related conditions and suggesting broad implications for enhancing preventive healthcare strategies, potentially leading to better patient outcomes.</p>","PeriodicalId":94160,"journal":{"name":"npj aging","volume":"11 1","pages":"7"},"PeriodicalIF":6.0000,"publicationDate":"2025-02-06","publicationTypes":"Journal Article","fieldsOfStudy":null,"isOpenAccess":false,"openAccessPdf":"https://www.ncbi.nlm.nih.gov/pmc/articles/PMC11802786/pdf/","citationCount":"0","resultStr":"{\"title\":\"Reclassification of the conventional risk assessment for aging-related diseases by electrocardiogram-enabled biological age.\",\"authors\":\"Chih-Min Liu, Ming-Jen Kuo, Chin-Yu Kuo, I-Chien Wu, Pei-Fen Chen, Wan-Ting Hsu, Li-Lien Liao, Shih-Ann Chen, Hsuan-Ming Tsao, Chien-Liang Liu, Yu-Feng Hu\",\"doi\":\"10.1038/s41514-025-00198-0\",\"DOIUrl\":null,\"url\":null,\"abstract\":\"<p><p>An artificial intelligence (AI)-enabled electrocardiogram (ECG) model has been developed in a healthy adult population to predict ECG biological age (ECG-BA). This ECG-BA exhibited a robust correlation with chronological age (CA) in healthy adults and additionally significantly enhanced the prediction of aging-related diseases' onset in adults with subclinical diseases. The model showed particularly strong predictive power for cardiovascular and non-cardiovascular diseases such as stroke, coronary artery disease, peripheral arterial occlusive disease, myocardial infarction, Alzheimer's disease, osteoarthritis, and cancers. When combined with CA, ECG-BA improved diagnostic accuracy and risk classification by 21% over using CA alone, notably offering the greatest improvements in cancer prediction. The net reclassification improvement significantly reduced misclassification rates for disease onset predictions. This comprehensive study validates ECG-BA as an effective supplement to CA, advancing the precision of risk assessments for aging-related conditions and suggesting broad implications for enhancing preventive healthcare strategies, potentially leading to better patient outcomes.</p>\",\"PeriodicalId\":94160,\"journal\":{\"name\":\"npj aging\",\"volume\":\"11 1\",\"pages\":\"7\"},\"PeriodicalIF\":6.0000,\"publicationDate\":\"2025-02-06\",\"publicationTypes\":\"Journal Article\",\"fieldsOfStudy\":null,\"isOpenAccess\":false,\"openAccessPdf\":\"https://www.ncbi.nlm.nih.gov/pmc/articles/PMC11802786/pdf/\",\"citationCount\":\"0\",\"resultStr\":null,\"platform\":\"Semanticscholar\",\"paperid\":null,\"PeriodicalName\":\"npj aging\",\"FirstCategoryId\":\"1085\",\"ListUrlMain\":\"https://doi.org/10.1038/s41514-025-00198-0\",\"RegionNum\":0,\"RegionCategory\":null,\"ArticlePicture\":[],\"TitleCN\":null,\"AbstractTextCN\":null,\"PMCID\":null,\"EPubDate\":\"\",\"PubModel\":\"\",\"JCR\":\"Q2\",\"JCRName\":\"GERIATRICS & GERONTOLOGY\",\"Score\":null,\"Total\":0}","platform":"Semanticscholar","paperid":null,"PeriodicalName":"npj aging","FirstCategoryId":"1085","ListUrlMain":"https://doi.org/10.1038/s41514-025-00198-0","RegionNum":0,"RegionCategory":null,"ArticlePicture":[],"TitleCN":null,"AbstractTextCN":null,"PMCID":null,"EPubDate":"","PubModel":"","JCR":"Q2","JCRName":"GERIATRICS & GERONTOLOGY","Score":null,"Total":0}
引用次数: 0

摘要

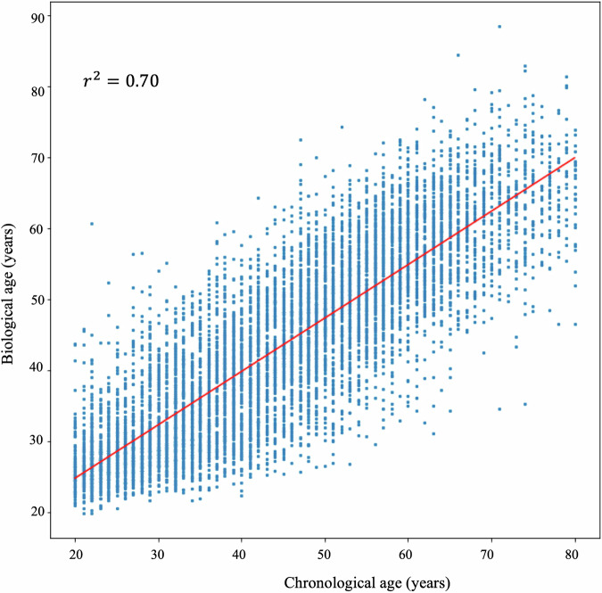
在健康成人人群中开发了一种人工智能(AI)支持的心电图(ECG)模型来预测ECG生物年龄(ECG- ba)。该ECG-BA与健康成人的实足年龄(CA)有很强的相关性,并且显著增强了对患有亚临床疾病的成人衰老相关疾病发病的预测。该模型对心血管和非心血管疾病,如中风、冠状动脉疾病、外周动脉闭塞性疾病、心肌梗死、阿尔茨海默病、骨关节炎和癌症的预测能力特别强。当与CA联合使用时,ECG-BA比单独使用CA提高了21%的诊断准确性和风险分类,特别是在癌症预测方面提供了最大的改进。净重新分类的改善显著降低了疾病发病预测的错误分类率。这项综合研究验证了ECG-BA作为CA的有效补充,提高了衰老相关疾病风险评估的准确性,并为加强预防性医疗保健策略提供了广泛的影响,可能会导致更好的患者预后。
本文章由计算机程序翻译,如有差异,请以英文原文为准。

Reclassification of the conventional risk assessment for aging-related diseases by electrocardiogram-enabled biological age.

Reclassification of the conventional risk assessment for aging-related diseases by electrocardiogram-enabled biological age.

Reclassification of the conventional risk assessment for aging-related diseases by electrocardiogram-enabled biological age.

Reclassification of the conventional risk assessment for aging-related diseases by electrocardiogram-enabled biological age.

An artificial intelligence (AI)-enabled electrocardiogram (ECG) model has been developed in a healthy adult population to predict ECG biological age (ECG-BA). This ECG-BA exhibited a robust correlation with chronological age (CA) in healthy adults and additionally significantly enhanced the prediction of aging-related diseases' onset in adults with subclinical diseases. The model showed particularly strong predictive power for cardiovascular and non-cardiovascular diseases such as stroke, coronary artery disease, peripheral arterial occlusive disease, myocardial infarction, Alzheimer's disease, osteoarthritis, and cancers. When combined with CA, ECG-BA improved diagnostic accuracy and risk classification by 21% over using CA alone, notably offering the greatest improvements in cancer prediction. The net reclassification improvement significantly reduced misclassification rates for disease onset predictions. This comprehensive study validates ECG-BA as an effective supplement to CA, advancing the precision of risk assessments for aging-related conditions and suggesting broad implications for enhancing preventive healthcare strategies, potentially leading to better patient outcomes.

求助全文
通过发布文献求助,成功后即可免费获取论文全文。 去求助
来源期刊
CiteScore
8.90
自引率
0.00%
发文量
0
×
引用
GB/T 7714-2015
复制
MLA
复制
APA
复制
导出至
BibTeX EndNote RefMan NoteFirst NoteExpress
×
提示
您的信息不完整,为了账户安全,请先补充。
现在去补充
×
提示
您因"违规操作"
具体请查看互助需知
我知道了
×
提示
确定
请完成安全验证×
copy
已复制链接
快去分享给好友吧!
我知道了
右上角分享
点击右上角分享
0
联系我们:info@booksci.cn Book学术提供免费学术资源搜索服务,方便国内外学者检索中英文文献。致力于提供最便捷和优质的服务体验。 Copyright © 2023 布克学术 All rights reserved.
京ICP备2023020795号-1
ghs 京公网安备 11010802042870号
Book学术文献互助
Book学术文献互助群
群 号:604180095
Book学术官方微信