隐形眼镜护理液和搓洗方案对腺病毒的抗病毒活性。

IF 1.8 4区 医学 Q3 OPHTHALMOLOGY
Optometry and Vision Science Pub Date : 2025-03-01 Epub Date: 2025-02-05 DOI:10.1097/OPX.0000000000002231
Christiane Lourenco Nogueira, Scott Joseph Boegel, Manish Shukla, William Ngo, Alex Hui, Lyndon W Jones, Marc G Aucoin
{"title":"隐形眼镜护理液和搓洗方案对腺病毒的抗病毒活性。","authors":"Christiane Lourenco Nogueira, Scott Joseph Boegel, Manish Shukla, William Ngo, Alex Hui, Lyndon W Jones, Marc G Aucoin","doi":"10.1097/OPX.0000000000002231","DOIUrl":null,"url":null,"abstract":"<p><strong>Significance: </strong>Although human adenoviruses are the leading cause of acute viral conjunctivitis, there is a lack of data surrounding the efficacy of contact lens care products against these viruses.</p><p><strong>Purpose: </strong>This study investigates the antiviral activity of several commercially available contact lens care solutions against human adenovirus type 5 (Ad5).</p><p><strong>Methods: </strong>Six contact lens care solutions (Biotrue, Boston Simplus, OPTI-FREE Puremoist, Clear Care, cleadew, and cleadew GP) were investigated. Quantitative suspensions tests were conducted on Ad5 solutions after interaction with the different contact lens care solutions for 4 or 6 hours. For the hydrogen peroxide solution (Clear Care), interaction times of 0, 2, 4, and 6 hours prior to neutralization were also investigated. Finally, the impact of rubbing and rinsing of Ad5 contaminated contact lenses with the solutions was studied.</p><p><strong>Results: </strong>Solutions based on povidone-iodine demonstrated a more than 3-log reduction in virus after 4 and 6 hours of incubation. In contrast, hydrogen peroxide only demonstrated a 0.52-log reduction after 6 hours of incubation. Increasing the contact time with hydrogen peroxide increased Ad5 inactivation, with a 2.18-log reduction after 6 hours of incubation with the solution prior to neutralization. Nonoxidative systems did not demonstrate a significant log reduction after 4 hours of incubation. However, rubbing and rinsing of contact lenses using the nonoxidative systems reduced the virus counts from contaminated contact lenses to below the limit of quantification.</p><p><strong>Conclusions: </strong>Povidone-iodine solutions have a significant effect on reducing the viability of Ad5. Hydrogen peroxide care solutions are effective only if unneutralized contact time is increased. Nonoxidative systems can be effective in combating contaminated lenses only with the addition of a rub-and-rinse step.</p>","PeriodicalId":19649,"journal":{"name":"Optometry and Vision Science","volume":" ","pages":"156-166"},"PeriodicalIF":1.8000,"publicationDate":"2025-03-01","publicationTypes":"Journal Article","fieldsOfStudy":null,"isOpenAccess":false,"openAccessPdf":"https://www.ncbi.nlm.nih.gov/pmc/articles/PMC11939091/pdf/","citationCount":"0","resultStr":"{\"title\":\"Antiviral activity of contact lens care solutions and rub-and-rinse regimen against adenovirus.\",\"authors\":\"Christiane Lourenco Nogueira, Scott Joseph Boegel, Manish Shukla, William Ngo, Alex Hui, Lyndon W Jones, Marc G Aucoin\",\"doi\":\"10.1097/OPX.0000000000002231\",\"DOIUrl\":null,\"url\":null,\"abstract\":\"<p><strong>Significance: </strong>Although human adenoviruses are the leading cause of acute viral conjunctivitis, there is a lack of data surrounding the efficacy of contact lens care products against these viruses.</p><p><strong>Purpose: </strong>This study investigates the antiviral activity of several commercially available contact lens care solutions against human adenovirus type 5 (Ad5).</p><p><strong>Methods: </strong>Six contact lens care solutions (Biotrue, Boston Simplus, OPTI-FREE Puremoist, Clear Care, cleadew, and cleadew GP) were investigated. Quantitative suspensions tests were conducted on Ad5 solutions after interaction with the different contact lens care solutions for 4 or 6 hours. For the hydrogen peroxide solution (Clear Care), interaction times of 0, 2, 4, and 6 hours prior to neutralization were also investigated. Finally, the impact of rubbing and rinsing of Ad5 contaminated contact lenses with the solutions was studied.</p><p><strong>Results: </strong>Solutions based on povidone-iodine demonstrated a more than 3-log reduction in virus after 4 and 6 hours of incubation. In contrast, hydrogen peroxide only demonstrated a 0.52-log reduction after 6 hours of incubation. Increasing the contact time with hydrogen peroxide increased Ad5 inactivation, with a 2.18-log reduction after 6 hours of incubation with the solution prior to neutralization. Nonoxidative systems did not demonstrate a significant log reduction after 4 hours of incubation. However, rubbing and rinsing of contact lenses using the nonoxidative systems reduced the virus counts from contaminated contact lenses to below the limit of quantification.</p><p><strong>Conclusions: </strong>Povidone-iodine solutions have a significant effect on reducing the viability of Ad5. Hydrogen peroxide care solutions are effective only if unneutralized contact time is increased. Nonoxidative systems can be effective in combating contaminated lenses only with the addition of a rub-and-rinse step.</p>\",\"PeriodicalId\":19649,\"journal\":{\"name\":\"Optometry and Vision Science\",\"volume\":\" \",\"pages\":\"156-166\"},\"PeriodicalIF\":1.8000,\"publicationDate\":\"2025-03-01\",\"publicationTypes\":\"Journal Article\",\"fieldsOfStudy\":null,\"isOpenAccess\":false,\"openAccessPdf\":\"https://www.ncbi.nlm.nih.gov/pmc/articles/PMC11939091/pdf/\",\"citationCount\":\"0\",\"resultStr\":null,\"platform\":\"Semanticscholar\",\"paperid\":null,\"PeriodicalName\":\"Optometry and Vision Science\",\"FirstCategoryId\":\"3\",\"ListUrlMain\":\"https://doi.org/10.1097/OPX.0000000000002231\",\"RegionNum\":4,\"RegionCategory\":\"医学\",\"ArticlePicture\":[],\"TitleCN\":null,\"AbstractTextCN\":null,\"PMCID\":null,\"EPubDate\":\"2025/2/5 0:00:00\",\"PubModel\":\"Epub\",\"JCR\":\"Q3\",\"JCRName\":\"OPHTHALMOLOGY\",\"Score\":null,\"Total\":0}","platform":"Semanticscholar","paperid":null,"PeriodicalName":"Optometry and Vision Science","FirstCategoryId":"3","ListUrlMain":"https://doi.org/10.1097/OPX.0000000000002231","RegionNum":4,"RegionCategory":"医学","ArticlePicture":[],"TitleCN":null,"AbstractTextCN":null,"PMCID":null,"EPubDate":"2025/2/5 0:00:00","PubModel":"Epub","JCR":"Q3","JCRName":"OPHTHALMOLOGY","Score":null,"Total":0}
引用次数: 0

摘要

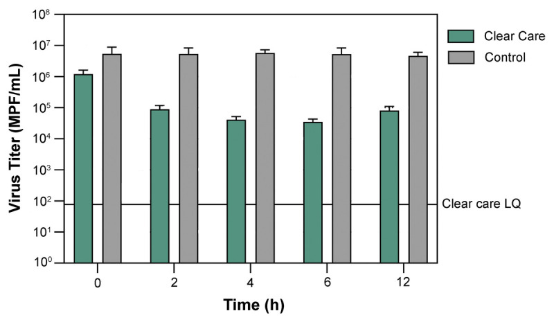
意义:虽然人类腺病毒是急性病毒性结膜炎的主要原因,但缺乏有关隐形眼镜护理产品对这些病毒的功效的数据。目的:研究几种市售隐形眼镜护理液对人腺病毒5型(Ad5)的抗病毒活性。方法:对6种隐形眼镜护理液(Biotrue、Boston Simplus、OPTI-FREE Puremoist、Clear care、cleadew、cleadew GP)进行研究。Ad5溶液与不同的隐形眼镜护理液相互作用4、6小时后进行定量悬液试验。对于过氧化氢溶液(Clear Care),中和前0,2,4和6小时的相互作用时间也进行了研究。最后,研究了该溶液对Ad5污染隐形眼镜的摩擦和冲洗效果。结果:基于聚维酮碘的溶液在4和6小时的孵育后,病毒减少了3倍以上。相比之下,过氧化氢在6小时的孵育后仅表现出0.52对数的减少。增加与过氧化氢的接触时间增加了Ad5的失活,中和前与溶液孵育6小时后,Ad5的失活率降低了2.18 log。非氧化系统在4小时的孵育后没有表现出显著的log降低。然而,使用非氧化系统摩擦和冲洗隐形眼镜可将污染隐形眼镜的病毒计数降低到定量限制以下。结论:聚维酮碘溶液对降低Ad5活力有显著作用。双氧水护理液只有在增加未中和接触时间时才有效。非氧化系统可以有效地对抗污染的镜片只有添加一个摩擦和冲洗步骤。
本文章由计算机程序翻译,如有差异,请以英文原文为准。

Antiviral activity of contact lens care solutions and rub-and-rinse regimen against adenovirus.

Antiviral activity of contact lens care solutions and rub-and-rinse regimen against adenovirus.

Antiviral activity of contact lens care solutions and rub-and-rinse regimen against adenovirus.

Antiviral activity of contact lens care solutions and rub-and-rinse regimen against adenovirus.

Significance: Although human adenoviruses are the leading cause of acute viral conjunctivitis, there is a lack of data surrounding the efficacy of contact lens care products against these viruses.

Purpose: This study investigates the antiviral activity of several commercially available contact lens care solutions against human adenovirus type 5 (Ad5).

Methods: Six contact lens care solutions (Biotrue, Boston Simplus, OPTI-FREE Puremoist, Clear Care, cleadew, and cleadew GP) were investigated. Quantitative suspensions tests were conducted on Ad5 solutions after interaction with the different contact lens care solutions for 4 or 6 hours. For the hydrogen peroxide solution (Clear Care), interaction times of 0, 2, 4, and 6 hours prior to neutralization were also investigated. Finally, the impact of rubbing and rinsing of Ad5 contaminated contact lenses with the solutions was studied.

Results: Solutions based on povidone-iodine demonstrated a more than 3-log reduction in virus after 4 and 6 hours of incubation. In contrast, hydrogen peroxide only demonstrated a 0.52-log reduction after 6 hours of incubation. Increasing the contact time with hydrogen peroxide increased Ad5 inactivation, with a 2.18-log reduction after 6 hours of incubation with the solution prior to neutralization. Nonoxidative systems did not demonstrate a significant log reduction after 4 hours of incubation. However, rubbing and rinsing of contact lenses using the nonoxidative systems reduced the virus counts from contaminated contact lenses to below the limit of quantification.

Conclusions: Povidone-iodine solutions have a significant effect on reducing the viability of Ad5. Hydrogen peroxide care solutions are effective only if unneutralized contact time is increased. Nonoxidative systems can be effective in combating contaminated lenses only with the addition of a rub-and-rinse step.

求助全文
通过发布文献求助,成功后即可免费获取论文全文。 去求助
来源期刊
Optometry and Vision Science
Optometry and Vision Science 医学-眼科学
CiteScore
2.80
自引率
7.10%
发文量
210
审稿时长
3-6 weeks
期刊介绍: Optometry and Vision Science is the monthly peer-reviewed scientific publication of the American Academy of Optometry, publishing original research since 1924. Optometry and Vision Science is an internationally recognized source for education and information on current discoveries in optometry, physiological optics, vision science, and related fields. The journal considers original contributions that advance clinical practice, vision science, and public health. Authors should remember that the journal reaches readers worldwide and their submissions should be relevant and of interest to a broad audience. Topical priorities include, but are not limited to: clinical and laboratory research, evidence-based reviews, contact lenses, ocular growth and refractive error development, eye movements, visual function and perception, biology of the eye and ocular disease, epidemiology and public health, biomedical optics and instrumentation, novel and important clinical observations and treatments, and optometric education.
×
引用
GB/T 7714-2015
复制
MLA
复制
APA
复制
导出至
BibTeX EndNote RefMan NoteFirst NoteExpress
×
提示
您的信息不完整,为了账户安全,请先补充。
现在去补充
×
提示
您因"违规操作"
具体请查看互助需知
我知道了
×
提示
确定
请完成安全验证×
copy
已复制链接
快去分享给好友吧!
我知道了
右上角分享
点击右上角分享
0
联系我们:info@booksci.cn Book学术提供免费学术资源搜索服务,方便国内外学者检索中英文文献。致力于提供最便捷和优质的服务体验。 Copyright © 2023 布克学术 All rights reserved.
京ICP备2023020795号-1
ghs 京公网安备 11010802042870号
Book学术文献互助
Book学术文献互助群
群 号:604180095
Book学术官方微信