在吸入性肺炎模型中,抗菌疗法对治疗上皮细胞感染期间白色念珠菌和牙龈卟啉单胞菌形成的混合生物膜的疗效。

IF 3 3区 医学 Q1 IMMUNOLOGY
Grazyna Bras, Ewelina Wronowska, Miriam Gonzalez-Gonzalez, Magdalena Juszczak, Magdalena Surowiec, Wiktoria Sidlo, Dorota Satala, Kamila Kulig, Justyna Karkowska-Kuleta, Joanna Budziaszek, Joanna Koziel, Maria Rapala-Kozik
{"title":"在吸入性肺炎模型中,抗菌疗法对治疗上皮细胞感染期间白色念珠菌和牙龈卟啉单胞菌形成的混合生物膜的疗效。","authors":"Grazyna Bras, Ewelina Wronowska, Miriam Gonzalez-Gonzalez, Magdalena Juszczak, Magdalena Surowiec, Wiktoria Sidlo, Dorota Satala, Kamila Kulig, Justyna Karkowska-Kuleta, Joanna Budziaszek, Joanna Koziel, Maria Rapala-Kozik","doi":"10.1007/s00430-025-00818-2","DOIUrl":null,"url":null,"abstract":"<p><p>Aspiration pneumonia is a serious respiratory condition, which is particularly prevalent in patients with dysphagia, neurological disorders, or those undergoing surgical interventions. The formation of multispecies biofilms in the oral cavity, involving the bacterial periodontopathogen Porphyromonas gingivalis and the opportunistic pathogenic fungus Candida albicans, may also be related to the development of this serious disease, contributing also to the resistance to standard antimicrobial treatment. Therefore, this research aimed to evaluate the efficacy of selected antibiotics‒levofloxacin, metronidazole, meropenem, vancomycin‒and antifungal agents‒amphotericin B, caspofungin, and fluconazole‒on these mixed biofilms in the aspiration pneumonia model. While metronidazole and levofloxacin effectively inhibited bacterial viability in the mixed biofilms, lower doses increased release of bacterial proteases. In the conditions of mixed biofilms meropenem and vancomycin showed reduced efficacy, requiring significantly higher doses to achieve similar effect in mixed biofilms as in single bacterial cultures. Treatment with antifungals revealed that amphotericin B significantly impacted fungal cell viability within mixed biofilms, and this effect was enhanced when the antifungal drug was applied in the presence of P. gingivalis. Caspofungin and fluconazole showed variable efficacy, with caspofungin being more effective against C. albicans cells within biofilm.These findings indicated that due to the mutual microbial protection in the mixed-species biofilm, P. gingivalis retained its virulence despite increasing antibiotic doses. However, no excessive benefit of mixed biofilms was observed for C. albicans in the presence of antifungals, indicating the minor importance of yeasts in aspiration pneumonia development and their protective role for other pathogens in mixed-species infection.</p>","PeriodicalId":18369,"journal":{"name":"Medical Microbiology and Immunology","volume":"214 1","pages":"8"},"PeriodicalIF":3.0000,"publicationDate":"2025-02-04","publicationTypes":"Journal Article","fieldsOfStudy":null,"isOpenAccess":false,"openAccessPdf":"https://www.ncbi.nlm.nih.gov/pmc/articles/PMC11794384/pdf/","citationCount":"0","resultStr":"{\"title\":\"The efficacy of antimicrobial therapies in the treatment of mixed biofilms formed between Candida albicans and Porphyromonas gingivalis during epithelial cell infection in the aspiration pneumonia model.\",\"authors\":\"Grazyna Bras, Ewelina Wronowska, Miriam Gonzalez-Gonzalez, Magdalena Juszczak, Magdalena Surowiec, Wiktoria Sidlo, Dorota Satala, Kamila Kulig, Justyna Karkowska-Kuleta, Joanna Budziaszek, Joanna Koziel, Maria Rapala-Kozik\",\"doi\":\"10.1007/s00430-025-00818-2\",\"DOIUrl\":null,\"url\":null,\"abstract\":\"<p><p>Aspiration pneumonia is a serious respiratory condition, which is particularly prevalent in patients with dysphagia, neurological disorders, or those undergoing surgical interventions. The formation of multispecies biofilms in the oral cavity, involving the bacterial periodontopathogen Porphyromonas gingivalis and the opportunistic pathogenic fungus Candida albicans, may also be related to the development of this serious disease, contributing also to the resistance to standard antimicrobial treatment. Therefore, this research aimed to evaluate the efficacy of selected antibiotics‒levofloxacin, metronidazole, meropenem, vancomycin‒and antifungal agents‒amphotericin B, caspofungin, and fluconazole‒on these mixed biofilms in the aspiration pneumonia model. While metronidazole and levofloxacin effectively inhibited bacterial viability in the mixed biofilms, lower doses increased release of bacterial proteases. In the conditions of mixed biofilms meropenem and vancomycin showed reduced efficacy, requiring significantly higher doses to achieve similar effect in mixed biofilms as in single bacterial cultures. Treatment with antifungals revealed that amphotericin B significantly impacted fungal cell viability within mixed biofilms, and this effect was enhanced when the antifungal drug was applied in the presence of P. gingivalis. Caspofungin and fluconazole showed variable efficacy, with caspofungin being more effective against C. albicans cells within biofilm.These findings indicated that due to the mutual microbial protection in the mixed-species biofilm, P. gingivalis retained its virulence despite increasing antibiotic doses. However, no excessive benefit of mixed biofilms was observed for C. albicans in the presence of antifungals, indicating the minor importance of yeasts in aspiration pneumonia development and their protective role for other pathogens in mixed-species infection.</p>\",\"PeriodicalId\":18369,\"journal\":{\"name\":\"Medical Microbiology and Immunology\",\"volume\":\"214 1\",\"pages\":\"8\"},\"PeriodicalIF\":3.0000,\"publicationDate\":\"2025-02-04\",\"publicationTypes\":\"Journal Article\",\"fieldsOfStudy\":null,\"isOpenAccess\":false,\"openAccessPdf\":\"https://www.ncbi.nlm.nih.gov/pmc/articles/PMC11794384/pdf/\",\"citationCount\":\"0\",\"resultStr\":null,\"platform\":\"Semanticscholar\",\"paperid\":null,\"PeriodicalName\":\"Medical Microbiology and Immunology\",\"FirstCategoryId\":\"3\",\"ListUrlMain\":\"https://doi.org/10.1007/s00430-025-00818-2\",\"RegionNum\":3,\"RegionCategory\":\"医学\",\"ArticlePicture\":[],\"TitleCN\":null,\"AbstractTextCN\":null,\"PMCID\":null,\"EPubDate\":\"\",\"PubModel\":\"\",\"JCR\":\"Q1\",\"JCRName\":\"IMMUNOLOGY\",\"Score\":null,\"Total\":0}","platform":"Semanticscholar","paperid":null,"PeriodicalName":"Medical Microbiology and Immunology","FirstCategoryId":"3","ListUrlMain":"https://doi.org/10.1007/s00430-025-00818-2","RegionNum":3,"RegionCategory":"医学","ArticlePicture":[],"TitleCN":null,"AbstractTextCN":null,"PMCID":null,"EPubDate":"","PubModel":"","JCR":"Q1","JCRName":"IMMUNOLOGY","Score":null,"Total":0}
引用次数: 0

摘要

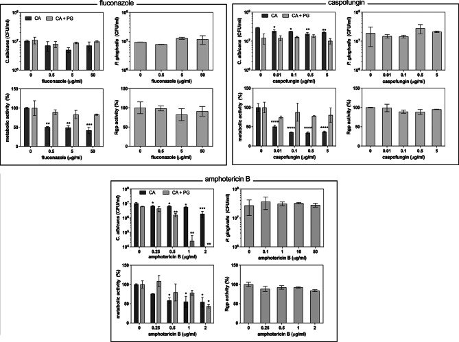
吸入性肺炎是一种严重的呼吸道疾病,在吞咽困难、神经系统疾病或接受手术治疗的患者中尤为常见。细菌性牙周病病原体牙龈卟啉单胞菌和机会致病真菌白色念珠菌在口腔中形成的多菌种生物膜也可能与这种严重疾病的发生有关,同时也导致了对标准抗菌治疗的耐药性。因此,本研究旨在评估在吸入性肺炎模型中选定的抗生素--左氧氟沙星、甲硝唑、美罗培南、万古霉素和抗真菌药物--两性霉素 B、卡泊芬净和氟康唑--对这些混合生物膜的疗效。甲硝唑和左氧氟沙星能有效抑制混合生物膜中的细菌活力,但较低剂量的甲硝唑和左氧氟沙星会增加细菌蛋白酶的释放。在混合生物膜条件下,美罗培南和万古霉素的疗效有所下降,在混合生物膜中要达到与单个细菌培养物相似的效果,需要的剂量明显增加。用抗真菌药物处理后发现,两性霉素 B 能显著影响混合生物膜中真菌细胞的活力,当抗真菌药物在牙龈脓疱菌存在的情况下使用时,这种效果会增强。卡泊芬净和氟康唑显示出不同的疗效,其中卡泊芬净对生物膜内的白癣菌细胞更有效。这些研究结果表明,由于混合菌种生物膜中微生物的相互保护,尽管抗生素剂量不断增加,牙龈脓疱疮仍能保持其毒性。然而,在使用抗真菌药物的情况下,并没有观察到混合生物膜对白茨酵母菌产生过多益处,这表明酵母菌在吸入性肺炎发病过程中的重要性微乎其微,而且在混合菌种感染中对其他病原体起着保护作用。
本文章由计算机程序翻译,如有差异,请以英文原文为准。

The efficacy of antimicrobial therapies in the treatment of mixed biofilms formed between Candida albicans and Porphyromonas gingivalis during epithelial cell infection in the aspiration pneumonia model.

The efficacy of antimicrobial therapies in the treatment of mixed biofilms formed between Candida albicans and Porphyromonas gingivalis during epithelial cell infection in the aspiration pneumonia model.

The efficacy of antimicrobial therapies in the treatment of mixed biofilms formed between Candida albicans and Porphyromonas gingivalis during epithelial cell infection in the aspiration pneumonia model.

The efficacy of antimicrobial therapies in the treatment of mixed biofilms formed between Candida albicans and Porphyromonas gingivalis during epithelial cell infection in the aspiration pneumonia model.

Aspiration pneumonia is a serious respiratory condition, which is particularly prevalent in patients with dysphagia, neurological disorders, or those undergoing surgical interventions. The formation of multispecies biofilms in the oral cavity, involving the bacterial periodontopathogen Porphyromonas gingivalis and the opportunistic pathogenic fungus Candida albicans, may also be related to the development of this serious disease, contributing also to the resistance to standard antimicrobial treatment. Therefore, this research aimed to evaluate the efficacy of selected antibiotics‒levofloxacin, metronidazole, meropenem, vancomycin‒and antifungal agents‒amphotericin B, caspofungin, and fluconazole‒on these mixed biofilms in the aspiration pneumonia model. While metronidazole and levofloxacin effectively inhibited bacterial viability in the mixed biofilms, lower doses increased release of bacterial proteases. In the conditions of mixed biofilms meropenem and vancomycin showed reduced efficacy, requiring significantly higher doses to achieve similar effect in mixed biofilms as in single bacterial cultures. Treatment with antifungals revealed that amphotericin B significantly impacted fungal cell viability within mixed biofilms, and this effect was enhanced when the antifungal drug was applied in the presence of P. gingivalis. Caspofungin and fluconazole showed variable efficacy, with caspofungin being more effective against C. albicans cells within biofilm.These findings indicated that due to the mutual microbial protection in the mixed-species biofilm, P. gingivalis retained its virulence despite increasing antibiotic doses. However, no excessive benefit of mixed biofilms was observed for C. albicans in the presence of antifungals, indicating the minor importance of yeasts in aspiration pneumonia development and their protective role for other pathogens in mixed-species infection.

求助全文
通过发布文献求助,成功后即可免费获取论文全文。 去求助
来源期刊
CiteScore
10.60
自引率
0.00%
发文量
29
审稿时长
1 months
期刊介绍: Medical Microbiology and Immunology (MMIM) publishes key findings on all aspects of the interrelationship between infectious agents and the immune system of their hosts. The journal´s main focus is original research work on intrinsic, innate or adaptive immune responses to viral, bacterial, fungal and parasitic (protozoan and helminthic) infections and on the virulence of the respective infectious pathogens. MMIM covers basic, translational as well as clinical research in infectious diseases and infectious disease immunology. Basic research using cell cultures, organoid, and animal models are welcome, provided that the models have a clinical correlate and address a relevant medical question. The journal also considers manuscripts on the epidemiology of infectious diseases, including the emergence and epidemic spreading of pathogens and the development of resistance to anti-infective therapies, and on novel vaccines and other innovative measurements of prevention. The following categories of manuscripts will not be considered for publication in MMIM: submissions of preliminary work, of merely descriptive data sets without investigation of mechanisms or of limited global interest, manuscripts on existing or novel anti-infective compounds, which focus on pharmaceutical or pharmacological aspects of the drugs, manuscripts on existing or modified vaccines, unless they report on experimental or clinical efficacy studies or provide new immunological information on their mode of action, manuscripts on the diagnostics of infectious diseases, unless they offer a novel concept to solve a pending diagnostic problem, case reports or case series, unless they are embedded in a study that focuses on the anti-infectious immune response and/or on the virulence of a pathogen.
×
引用
GB/T 7714-2015
复制
MLA
复制
APA
复制
导出至
BibTeX EndNote RefMan NoteFirst NoteExpress
×
提示
您的信息不完整,为了账户安全,请先补充。
现在去补充
×
提示
您因"违规操作"
具体请查看互助需知
我知道了
×
提示
确定
请完成安全验证×
copy
已复制链接
快去分享给好友吧!
我知道了
右上角分享
点击右上角分享
0
联系我们:info@booksci.cn Book学术提供免费学术资源搜索服务,方便国内外学者检索中英文文献。致力于提供最便捷和优质的服务体验。 Copyright © 2023 布克学术 All rights reserved.
京ICP备2023020795号-1
ghs 京公网安备 11010802042870号
Book学术文献互助
Book学术文献互助群
群 号:604180095
Book学术官方微信